TOP
|
特許
|
意匠
|
商標
特許ウォッチ
Twitter
他の特許を見る
10個以上の画像は省略されています。
公開番号
2025130085
公報種別
公開特許公報(A)
公開日
2025-09-05
出願番号
2025113044,2024021841
出願日
2025-07-03,2024-02-16
発明の名称
遮音構造の施工方法
出願人
東急建設株式会社
代理人
弁護士法人クレオ国際法律特許事務所
主分類
E04B
9/00 20060101AFI20250829BHJP(建築物)
要約
【課題】吊り天井の防振性を損なうことなく遮音性能を高めることができる遮音構造の施工方法を提供する。
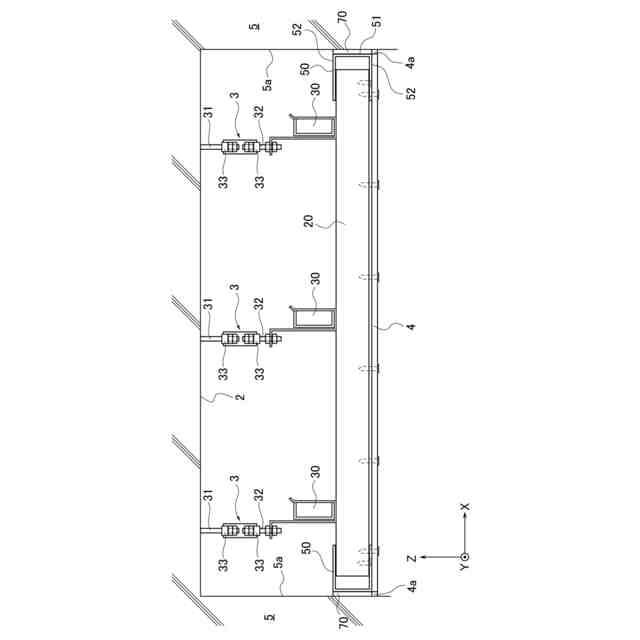
【解決手段】遮音構造の施工方法は、野縁部20の延出方向と交差する交差方向に沿って弾性変形可能な緩衝材70を第1壁面5aに対し取り付ける取付工程と、交差方向に延出する長尺状に形成され、緩衝材70に接するとともに上下方向に延出する第1側板部と、第1側板部から第1壁面5aと反対側に突出する第1延出部とを有するとともに複数の野縁部20の端部を収容する第1収容凹部50を、第1固定部材72により緩衝材70を所定の厚みまで圧縮させて緩衝材70を介して第1壁面5aに仮固定する仮固定工程と、複数の野縁部20の少なくとも1つの端部を第1側板部と間隔をおいて第1延出部に固定した上でスペーサー71及び第1固定部材72を除去する本固定工程とを備える。
【選択図】図6
特許請求の範囲
【請求項1】
建物の構造体から吊り下げられた水平方向に延出する複数の第1水平部材を有する吊り天井構造において、前記複数の第1水平部材のそれぞれの端部と対向する前記構造体の壁面と前記複数の第1水平部材との間に設けられる遮音構造の施工方法であって、
前記第1水平部材の延出方向と交差する交差方向に沿って弾性変形可能な緩衝材を前記壁面に対し取り付ける取付工程と、
前記交差方向に延出する長尺状に形成され、前記緩衝材に接するとともに上下方向に延出する第1側板部と、前記第1側板部から前記壁面と反対側に突出する第1延出部とを有するとともに前記複数の第1水平部材の端部を収容する第1収容凹部を、前記緩衝材を所定の厚みまで圧縮させた状態で第1固定部材により前記壁面に仮固定する仮固定工程と、
前記複数の第1水平部材の少なくとも1つの端部を前記第1側板部と間隔をおいて前記第1延出部に固定した上で前記第1固定部材を除去する本固定工程とを備えることを特徴とする遮音構造の施工方法。
続きを表示(約 270 文字)
【請求項2】
前記仮固定工程では、前記壁面と前記第1収容凹部との間に前記延出方向に厚みを有するスペーサーを配置し、
前記延出方向において前記緩衝材の厚みが前記スペーサーの厚みと一致するまで前記第1収容凹部を押し付けることで前記緩衝材を圧縮させることを特徴とする請求項1に記載の遮音構造の施工方法。
【請求項3】
前記本固定工程では、前記交差方向に沿って配置する前記第1固定部材の位置は、前記第1水平部材を収容させる位置と重ならない位置にすることを特徴とする請求項1又は2に記載の遮音構造の施工方法。
発明の詳細な説明
【技術分野】
【0001】
本発明は、遮音構造の施工方法に関するものである。
続きを表示(約 2,200 文字)
【背景技術】
【0002】
従来、野縁と、野縁を支持する野縁受け材とを有する吊り天井が下階に設けられる一般住宅等の二重天井構造において、上階の床に発生する振動や衝撃音が下階に伝搬されるのを防止するために、防振材を介在して吊る方法や、野縁と野縁に対向する壁面との間に防振材を介在させて遮音構造とすることが行われている。ここで、一般的には、防振吊り天井の野縁と壁面との間には、野縁の水平方向への移動を許容するクリアランス(隙間)が意図的に設けられる。
【0003】
一方、特許文献1に開示された野縁材を有する吊り天井を下階に備えた二重天井構造では、野縁材の壁面側端部と壁面との間に防振ゴム等の防振材を介在させるとともに、野縁の端部を受ける野縁保持材は、釘、ビス等の止具にて壁部の表面に固着されている。
【0004】
また、特許文献2には、上階の床から吊り下げられる防振材により振動伝達を抑制することができる天井(防振吊り天井)が開示されている。防振吊り天井は、床梁を介して上階の床材に支持される吊り機構と、吊り機構に支持される天井下地とを有して構成されている。また、天井下地は、吊り機構とは別に設けられる連結機構により床材と連結されている。吊り機構によって天井下地が上階の床材から吊下げられた状態で天井下地が上階の床材に対して上下方向に相対変位が生じると、連結機構は、床構成部材と天井下地との上下方向の相対変位に応じてその変形を妨げる方向の反力を生じさせる。連結機構で生じた反力によって、天井下地の振動を減衰させ、遮音性を高めることができる。
【先行技術文献】
【特許文献】
【0005】
特開2003-336345号公報
特開2014-237972号公報
【発明の概要】
【発明が解決しようとする課題】
【0006】
ところで、防振吊り天井であれば、野縁及び野縁受けを有する天井下地が上階の床材に対して任意の周期で上下方向に相対変位が生じることにより、上階の床から下階の天井への振動伝達が対象とする周波数域において抑制される。また、同時に、上階の床から天井への振動伝達の過程には、床から壁面を介するものも含まれ、これに対しては天井下地を床構造に対して水平方向に相対変位を生じさせる等により振動伝達を抑制する必要がある。しかしながら、天井下地が端部において周囲の壁面や床構造の一部等に固定(固着)することなどによって天井下地の上下方向及び水平方向への移動ができなくなると、十分な防振効果が得られず遮音性能が低下してしまうという不都合が生じていた。
【0007】
そこで、本発明は、吊り天井の防振性を損なうことなく遮音性能を高めることができる遮音構造の施工方法を提供することを目的としている。
【課題を解決するための手段】
【0008】
上記課題に対して、本発明の遮音構造の施工方法は、建物の構造体から吊り下げられた水平方向に延出する複数の第1水平部材を有する吊り天井構造において、前記複数の第1水平部材のそれぞれの端部と対向する前記構造体の壁面と前記複数の第1水平部材との間に設けられる遮音構造の施工方法であって、前記第1水平部材の延出方向と交差する交差方向に沿って弾性変形可能な緩衝材を前記壁面に対し取り付ける取付工程と、前記交差方向に延出する長尺状に形成され、前記緩衝材に接するとともに上下方向に延出する第1側板部と、前記第1側板部から前記壁面と反対側に突出する第1延出部とを有するとともに前記複数の第1水平部材の端部を収容する第1収容凹部を、前記緩衝材を所定の厚みまで圧縮させた状態で第1固定部材により前記壁面に仮固定する仮固定工程と、前記複数の第1水平部材の少なくとも1つの端部を前記第1側板部と間隔をおいて前記第1延出部に固定した上で前記第1固定部材を除去する本固定工程とを備えることを特徴とする。
【0009】
ここで、前記仮固定工程では、前記壁面と前記第1収容凹部との間に前記延出方向に厚みを有するスペーサーを配置し、前記延出方向において前記緩衝材の厚みが前記スペーサーの厚みと一致するまで前記第1収容凹部を押し付けることで前記緩衝材を圧縮させることが望ましい。また、前記本固定工程では、前記交差方向に沿って配置する前記第1固定部材の位置は、前記第1水平部材を収容させる位置と重ならない位置にすることが望ましい。
【発明の効果】
【0010】
このように、本発明の遮音構造の施工方法は、第1水平部材の延出方向と交差する交差方向に沿って弾性変形可能な緩衝材を壁面に対し取り付ける取付工程と、交差方向に延出する長尺状に形成され、緩衝材に接するとともに上下方向に延出する第1側板部と、第1側板部から壁面と反対側に突出する第1延出部とを有するとともに複数の第1水平部材の端部を収容する第1収容凹部を、緩衝材を所定の厚みまで圧縮させた状態で第1固定部材により壁面に仮固定する仮固定工程と、複数の第1水平部材の少なくとも1つの端部を第1側板部と間隔をおいて第1延出部に固定した上で第1固定部材を除去する本固定工程とを備える。
(【0011】以降は省略されています)
この特許をJ-PlatPat(特許庁公式サイト)で参照する
関連特許
他の特許を見る