TOP
|
特許
|
意匠
|
商標
特許ウォッチ
Twitter
他の特許を見る
公開番号
2025141465
公報種別
公開特許公報(A)
公開日
2025-09-29
出願番号
2024041409
出願日
2024-03-15
発明の名称
ゼオライトの加熱方法、反応方法、反応生成物の製造方法、および触媒
出願人
国立大学法人 東京大学
代理人
個人
,
個人
,
個人
,
個人
,
個人
主分類
C01B
39/36 20060101AFI20250919BHJP(無機化学)
要約
【課題】金属カチオンを担持するゼオライトのマイクロ波加熱の効率を向上させる。
【解決手段】実施形態に係るゼオライトの加熱方法は、結晶構造の細孔中に金属カチオンを担持するゼオライトに対してマイクロ波を照射することにより、ゼオライトを加熱するステップを含み、金属カチオンを担持するゼオライトの誘電損失係数が0.05以上である。
【選択図】なし
特許請求の範囲
【請求項1】
ゼオライトの加熱方法であって、
結晶構造の細孔中に金属カチオンを担持するゼオライトに対してマイクロ波を照射することにより、前記ゼオライトを加熱するステップを含み、
前記金属カチオンを担持するゼオライトの誘電損失係数が0.05以上である、方法。
続きを表示(約 720 文字)
【請求項2】
前記金属カチオンのイオン半径(6配位)は、0.6Å以上2Å以下である、請求項1に記載の方法。
【請求項3】
前記ゼオライトの細孔径は、1Å以上20Å以下である、請求項1または2に記載の方法。
【請求項4】
前記ゼオライトの細孔径Rzと、前記金属カチオンのイオン半径(6配位)Rmとが、以下の関係式1を満たす、請求項1または2に記載の方法。
[関係式1]
1≦Rz/Rm≦8.5
【請求項5】
前記金属カチオンを担持するゼオライトの誘電損失係数が0.1以上1以下である、請求項1または2に記載の方法。
【請求項6】
前記金属カチオンは、1価のカチオンである、請求項1または2に記載の方法。
【請求項7】
前記金属カチオンは、第4周期以降の金属元素のカチオンである、請求項1または2に記載の方法。
【請求項8】
前記金属カチオンは、インジウム(I)イオン、ナトリウム(I)イオン、カリウム(I)イオン、ルビジウム(I)イオン、およびセシウム(I)イオンからなる群より選択される1以上を含む、請求項1または2に記載の方法。
【請求項9】
前記金属カチオンは、インジウム(I)イオンおよびセシウム(I)イオンからなる群より選択される1以上を含む、請求項8に記載の方法。
【請求項10】
前記ゼオライトは、FAU型、FER型、CHA型、BEA型、およびMFI型からなる群より選択される1以上のゼオライトである、請求項1または2に記載の方法。
(【請求項11】以降は省略されています)
発明の詳細な説明
【技術分野】
【0001】
本発明の実施形態は、ゼオライトの加熱方法、反応方法、反応生成物の製造方法、および触媒に関する。
続きを表示(約 2,200 文字)
【背景技術】
【0002】
金属カチオンを含有するゼオライトは、様々な化学反応の触媒活性を有する物質として知られている。触媒反応を活性化するために、ゼオライト触媒をマイクロ波で加熱することも行われている(特許文献1参照)。
【先行技術文献】
【特許文献】
【0003】
特開2018-023938号公報
【発明の概要】
【発明が解決しようとする課題】
【0004】
しかしながら、このようなマイクロ波加熱の効率性には未だ改善の余地がある。たとえば、ゼオライトは様々な結晶構造を取り得るとともに、様々な金属カチオンを担持することができるところ、マイクロ波による加熱効率を向上させるために金属カチオンとゼオライトの構造とをどのように組み合わせるのが良いかは知られていない。
【0005】
本発明が解決しようとする課題は、金属カチオンを担持するゼオライトのマイクロ波加熱の効率を向上させることができるゼオライトの加熱方法、反応方法、反応生成物の製造方法、および触媒を提供することである。
【課題を解決するための手段】
【0006】
本発明者らは、金属カチオンとゼオライトの構造との組合せに着目し、加熱特性に優れた組合せを探索した。その結果、優れた加熱特性の指標として使用できる誘電損失係数tanδに着目し、tanδの値が大きくなるように金属カチオンとゼオライトの構造との組合せを選択することによってマイクロ波加熱の効率を向上させることができることを見出した。
【0007】
本発明は、以下の態様を含み得る。
[1]ゼオライトの加熱方法であって、
結晶構造の細孔中に金属カチオンを担持するゼオライトに対してマイクロ波を照射することにより、前記ゼオライトを加熱するステップを含み、
前記金属カチオンを担持するゼオライトの誘電損失係数が0.05以上である、方法。
[2]前記金属カチオンのイオン半径(6配位)は、0.6Å以上2Å以下である、[1]に記載の方法。
[3]前記ゼオライトの細孔径は、1Å以上20Å以下である、[1]または[2]に記載の方法。
[4]前記ゼオライトの細孔径Rzと、前記金属カチオンのイオン半径(6配位)Rmとが、以下の関係式1を満たす、[1]~[3]のいずれか一つに記載の方法。
[関係式1]
1≦Rz/Rm≦8.5
[5]前記金属カチオンを担持するゼオライトの誘電損失係数が0.1以上1以下である、[1]~[4]のいずれか一つに記載の方法。
[6]前記金属カチオンは、1価のカチオンである、[1]~[5]のいずれか一つに記載の方法。
[7]前記金属カチオンは、第4周期以降の金属元素のカチオンである、[1]~[6]のいずれか一つに記載の方法。
[8]前記金属カチオンは、インジウム(I)イオン、カリウム(I)イオン、ルビジウム(I)イオン、およびセシウム(I)イオンからなる群より選択される1以上を含む、[1]~[7]のいずれか一つに記載の方法。
[9]前記金属カチオンは、インジウム(I)イオンおよびセシウム(I)イオンからなる群より選択される1以上を含む、[8]に記載の方法。
[10]前記ゼオライトは、FAU型、FER型、CHA型、BEA型、およびMFI型からなる群より選択される1以上のゼオライトである、[1]~[9]のいずれか一つに記載の方法。
[11]反応物と接触しているゼオライトを、[1]~[10]のいずれか一つに記載の方法で加熱することにより、前記ゼオライトを触媒とする化学反応を進行させるステップを含む、反応方法。
[12][11]に記載の方法によって進行させた化学反応の生成物を得るステップを含む、反応生成物の製造方法。
[13]結晶構造の細孔中に金属カチオンを担持するゼオライトを含み、前記金属カチオンを担持するゼオライトの誘電損失係数が0.05以上である、触媒。
[14]マイクロ波で加熱するための、[13]に記載の触媒。
【発明の効果】
【0008】
本発明によれば、金属カチオンを担持するゼオライトのマイクロ波加熱の効率を向上させることができるゼオライトの加熱方法、反応方法、反応生成物の製造方法、および触媒を提供することができる。
【発明を実施するための形態】
【0009】
以下、実施形態のゼオライトの加熱方法、反応方法、反応生成物の製造方法、および触媒について説明する。なお、以下の実施形態は、本発明の一態様を示すものであり、本発明を限定するものではなく、本発明の技術的思想の範囲内で任意に変更可能である。また、実施形態の各構成および各特徴は、任意に組み合わせることが可能である。
【0010】
<1.ゼオライトの加熱方法>
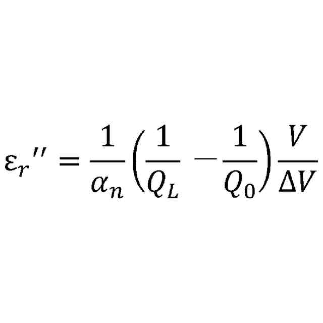
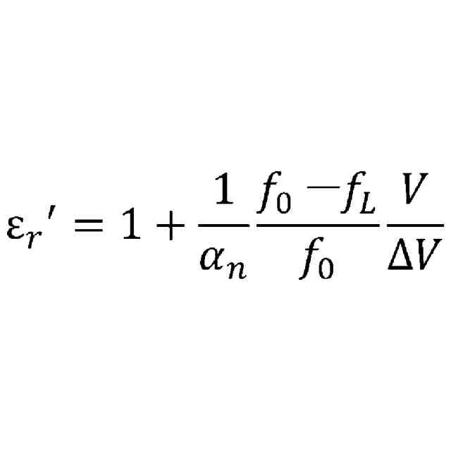
本実施形態に係るゼオライトの加熱方法は、結晶構造の細孔中に金属カチオンを担持するゼオライトに対してマイクロ波を照射することにより、ゼオライトを加熱するステップを含む。金属カチオンを担持するゼオライトの誘電損失係数(30℃で測定)は、0.05以上である。
(【0011】以降は省略されています)
この特許をJ-PlatPat(特許庁公式サイト)で参照する
関連特許
セトラスホールディングス株式会社
水酸化マグネシウムの製造方法
1日前
三菱ケミカル株式会社
窒化ホウ素凝集粉末、複合材組成物、放熱部材、半導体デバイス
1日前
三菱ケミカル株式会社
窒化ホウ素凝集粉末、複合材組成物、放熱部材、半導体デバイス
1日前
三菱ケミカル株式会社
窒化ホウ素凝集粒子、窒化ホウ素凝集粉末、複合材組成物、放熱部材、半導体デバイス
1日前
三菱ケミカル株式会社
窒化ホウ素凝集粒子、窒化ホウ素凝集粉末、複合材組成物、放熱部材、半導体デバイス
1日前
国立大学法人 東京大学
ゼオライトの加熱方法、反応方法、反応生成物の製造方法、および触媒
3日前
デンカ株式会社
窒化ケイ素粉末、及び窒化ケイ素焼結体の製造方法
1日前
日本製鉄株式会社
アンモニアからの水素の製造方法及び鉄鋼製造方法
3日前
他の特許を見る