TOP
|
特許
|
意匠
|
商標
特許ウォッチ
Twitter
他の特許を見る
10個以上の画像は省略されています。
公開番号
2025064249
公報種別
公開特許公報(A)
公開日
2025-04-17
出願番号
2023173853
出願日
2023-10-05
発明の名称
グルコン酸誘導体の製造方法
出願人
株式会社トクヤマ
,
国立大学法人大阪大学
代理人
個人
,
個人
,
個人
,
個人
主分類
C07C
67/08 20060101AFI20250410BHJP(有機化学)
要約
【課題】本発明は、2,3,4,5,6-ペンタアセチルグルコン酸等のグルコン酸誘導体を短工程かつ高収率に製造することができる方法を提供することを課題とする。
【解決手段】本発明は、下記化合物2に代表される化合物を製造する方法であって、下記化合物1に代表される化合物、酸無水物、酸クロリド、及び、塩化亜鉛を反応容器に添加し、化合物1に代表される化合物、酸無水物、酸クロリド及び塩化亜鉛を混合する工程を含む、方法を提供する。
<com:Image com:imageContentCategory="Drawing"> <com:ImageFormatCategory>TIFF</com:ImageFormatCategory> <com:FileName>2025064249000021.tif</com:FileName> <com:HeightMeasure com:measureUnitCode="Mm">38</com:HeightMeasure> <com:WidthMeasure com:measureUnitCode="Mm">170</com:WidthMeasure> </com:Image>
【選択図】なし
特許請求の範囲
【請求項1】
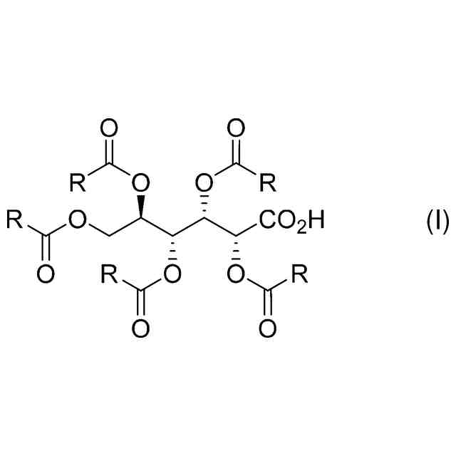
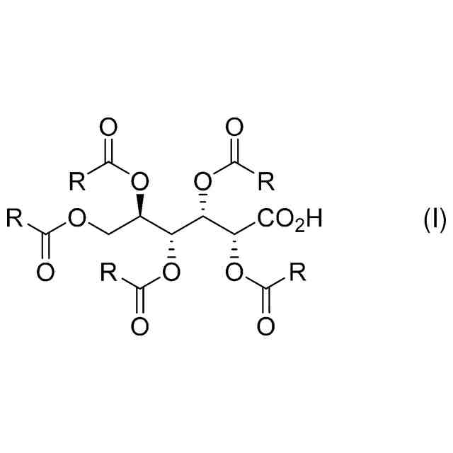
下記式(I):
TIFF
2025064249000016.tif
51
170
[式中、Rは、1以上の置換基を有していてもよいアルキル基、1以上の置換基を有していてもよいアリール基又は1以上の置換基を有していてもよいアリールアルキル基を表す。]
で表される化合物(I)を製造する方法であって、
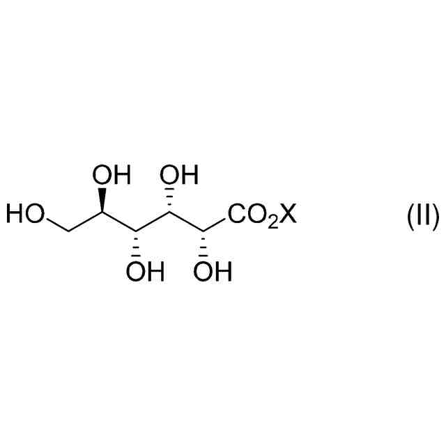
下記式(II):
TIFF
2025064249000017.tif
29
170
[式中、Xは、水素原子又はアルカリ金属原子を表す。]
で表される化合物(II)、
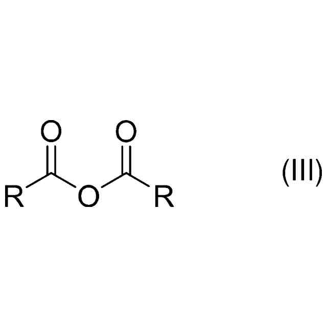
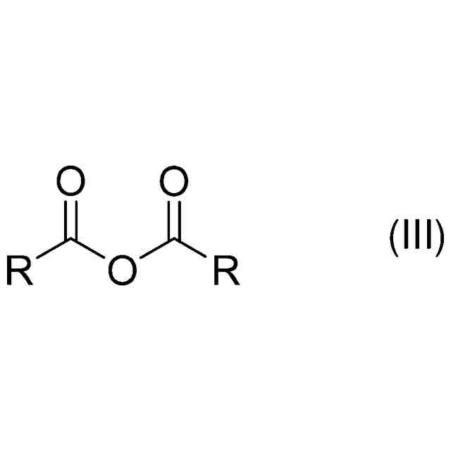
下記式(III):
TIFF
2025064249000018.tif
24
170
[式中、Rは、前記と同義である。]
で表される酸無水物(III)、
下記式(IV):
TIFF
2025064249000019.tif
26
170
[式中、Rは、前記と同義である。]
で表される酸クロリド(IV)、及び、
塩化亜鉛
を反応容器に添加し、前記化合物(II)、前記酸無水物(III)、前記酸クロリド(IV)及び前記塩化亜鉛を混合する工程を含む、前記方法。
続きを表示(約 190 文字)
【請求項2】
前記工程において、下記式(V):
TIFF
2025064249000020.tif
25
170
[式中、Rは、前記と同義である。]
で表される酸(V)を前記反応容器にさらに添加し、前記化合物(II)、前記酸無水物(III)、前記酸クロリド(IV)、前記塩化亜鉛及び前記酸(V)を混合する、請求項1に記載の方法。
発明の詳細な説明
【技術分野】
【0001】
本発明は、グルコン酸誘導体の製造方法に関する。
続きを表示(約 1,900 文字)
【背景技術】
【0002】
下記反応式に示すように、グルコノラクトン(3)に塩化亜鉛及び無水酢酸を接触させて(2R,3S,4R,5R)-2,3,4,6-テトラアセトキシ-5-ヒドロキシヘキサン酸(4)を得た後、(2R,3S,4R,5R)-2,3,4,6-テトラアセトキシ-5-ヒドロキシヘキサン酸(4)に塩化亜鉛及び無水酢酸を接触させて(2R,3S,4R,5R)-2,3,4,5,6-ペンタアセチルグルコン酸(2)を製造する方法が知られている(特許文献1)。なお、下記反応式中、「Ac」はアセチル基を表す。
【0003】
TIFF
2025064249000001.tif
38
170
【先行技術文献】
【特許文献】
【0004】
米国特許第4,567,285号公報
【発明の概要】
【発明が解決しようとする課題】
【0005】
本発明は、2,3,4,5,6-ペンタアセチルグルコン酸等のグルコン酸誘導体を短工程かつ高収率に製造することができる方法を提供することを課題とする。
【課題を解決するための手段】
【0006】
上記課題を解決するために、本発明は、以下の方法を提供する。
[1]下記式(I):
TIFF
2025064249000002.tif
50
170
[式中、Rは、1以上の置換基を有していてもよいアルキル基、1以上の置換基を有していてもよいアリール基又は1以上の置換基を有していてもよいアリールアルキル基を表す。]
で表される化合物(I)を製造する方法であって、
下記式(II):
TIFF
2025064249000003.tif
28
170
[式中、Xは、水素原子又はアルカリ金属原子を表す。]
で表される化合物(II)、
下記式(III):
TIFF
2025064249000004.tif
23
170
[式中、Rは、前記と同義である。]
で表される酸無水物(III)、
下記式(IV):
TIFF
2025064249000005.tif
22
170
[式中、Rは、前記と同義である。]
で表される酸クロリド(IV)、及び、
塩化亜鉛
を反応容器に添加し、前記化合物(II)、前記酸無水物(III)、前記酸クロリド(IV)及び前記塩化亜鉛を混合する工程を含む、前記方法。
[2]前記工程において、下記式(V):
TIFF
2025064249000006.tif
20
170
[式中、Rは、前記と同義である。]
で表される酸(V)を前記反応容器にさらに添加し、前記化合物(II)、前記酸無水物(III)、前記酸クロリド(IV)、前記塩化亜鉛及び前記酸(V)を混合する、[1]に記載の方法。
【発明の効果】
【0007】
本発明によれば、2,3,4,5,6-ペンタアセチルグルコン酸等のグルコン酸誘導体を短工程かつ高収率に製造することができる方法が提供される。
【図面の簡単な説明】
【0008】
図1は、実施例1で得られた(2R,3S,4R,5R)-2,3,4,5,6-ペンタアセチルグルコン酸の
1
H NMRスペクトルを示す図である。
図2は、実施例1で得られた(2R,3S,4R,5R)-2,3,4,5,6-ペンタアセチルグルコン酸の
13
C NMRスペクトルを示す図である。
図3は、実施例1で得られた(2R,3S,4R,5R)-2,3,4,5,6-ペンタアセチルグルコン酸のIRスペクトルを示す図である。
【発明を実施するための形態】
【0009】
以下、本発明について説明する。本明細書に記載の2以上の実施形態を組み合わせることができ、2以上の実施形態の組み合わせも本発明に包含される。
【0010】
≪用語の説明≫
以下、本明細書で使用される用語について説明する。以下の説明は、別段規定される場合を除き、本明細書を通じて適用される。なお、「値A~値B」という表現は、別段規定される場合を除き、値A以上値B以下を意味する。
(【0011】以降は省略されています)
特許ウォッチbot のツイートを見る
この特許をJ-PlatPat(特許庁公式サイト)で参照する
関連特許
株式会社トクヤマ
組成物
13日前
株式会社トクヤマ
水硬性組成物
27日前
株式会社トクヤマ
窒化ケイ素基板
20日前
株式会社トクヤマ
シリコンエッチング液
6日前
株式会社トクヤマ
シリコンエッチング液
6日前
株式会社トクヤマ
ケトン誘導体の製造方法
5日前
株式会社トクヤマ
有機ケイ素化合物の製造方法
5日前
株式会社トクヤマ
チオラクトン誘導体の製造方法
23日前
株式会社トクヤマ
改質フライアッシュの製造方法
13日前
株式会社トクヤマデンタル
歯科用硬化性組成物およびその製造方法
23日前
株式会社トクヤマ
有機ケイ素化合物の製造方法及び濾過装置
5日前
株式会社トクヤマ
ジオポリマー組成物及びジオポリマー組成物の製造方法
13日前
株式会社トクヤマデンタル
ポリウレタン系歯科切削加工用ミルブランクとその製造方法
8日前
株式会社トクヤマ
高純度水酸化テトラアルキルアンモニウム水溶液の製造方法
1か月前
株式会社トクヤマ
縞状流体の形成方法、化学物質の製造方法、及び縞状流体の形成装置
13日前
株式会社トクヤマ
縞状流体の形成方法、化学物質の製造方法、及び縞状流体の形成装置
13日前
株式会社トクヤマ
デリバリー用複合粒子、ならびにその製造方法およびその製造キット
19日前
株式会社トクヤマ
窒化アルミニウム焼結基板、その製造方法および電子回路用絶縁基板
19日前
株式会社トクヤマ
シリコンエッチング抑制剤、エッチング液、基板の処理方法及び半導体素子の製造方法
12日前
東ソー株式会社
タンパク質の発現方法
1か月前
東ソー株式会社
炭素-窒素結合形成方法
3か月前
株式会社トクヤマ
四塩化炭素の製造方法
3か月前
株式会社トクヤマ
シロキサン類の回収方法
3か月前
株式会社半導体エネルギー研究所
有機化合物
2か月前
株式会社トクヤマ
ビオチン誘導体の製造方法
3か月前
栗田工業株式会社
ギ酸の回収方法
15日前
株式会社トクヤマ
チオラクトン誘導体の製造方法
23日前
株式会社トクヤマ
ホルムアミド化合物の製造方法
2か月前
東ソー株式会社
イソシアネート化合物の製造方法
1か月前
株式会社コスモス
液状炭化水素の増産方法
2か月前
株式会社トクヤマ
ベンザゼピン化合物の製造方法
2か月前
株式会社コスモス
液状炭化水素の増産方法
2か月前
artience株式会社
四塩基酸無水物の製造方法
3か月前
信越化学工業株式会社
新規化合物
3か月前
日産化学株式会社
ピラゾール化合物及び有害生物防除剤
3か月前
日産化学株式会社
ピラゾール化合物及び有害生物防除剤
3か月前
続きを見る
他の特許を見る