TOP
|
特許
|
意匠
|
商標
特許ウォッチ
Twitter
他の特許を見る
10個以上の画像は省略されています。
公開番号
2025146128
公報種別
公開特許公報(A)
公開日
2025-10-03
出願番号
2024046749
出願日
2024-03-22
発明の名称
触媒、触媒の製造方法、芳香族化合物及びアミン化合物の製造方法
出願人
三菱ケミカル株式会社
代理人
主分類
B01J
31/24 20060101AFI20250926BHJP(物理的または化学的方法または装置一般)
要約
【課題】 無機担持体と均一系パラジウム錯体を溶媒中で混合、乾燥するという容易な方
法で準備が可能であり、無機担持体にパラジウム錯体が高い担持率で担持された触媒であ
り、かつ触媒を調製後に溶媒で洗浄しても錯体の担持率が低下せず、溶媒洗浄によって未
担持の錯体を除去して生成物への残留パラジウム量を小さくすることが可能で、反応後に
も担持されたパラジウムの流出が小さく、カップリング反応や還元反応を高効率で進行さ
せるとともに、繰り返しの使用が可能となる触媒を提供する。
【解決手段】 パラジウム錯体を吸着した無機担持体から構成される触媒であって、該パ
ラジウム錯体がフェロセン骨格をもつ配位子を有する、触媒。
【選択図】 なし
特許請求の範囲
【請求項1】
パラジウム錯体を吸着した無機担持体から構成される触媒であって、該パラジウム錯体
がフェロセン骨格をもつ配位子を有する、触媒。
続きを表示(約 1,400 文字)
【請求項2】
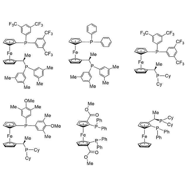
前記フェロセン骨格をもつ配位子が下記式(1-1)又は式(1-2)で表される構造
を含む、請求項1に記載の触媒。
TIFF
2025146128000012.tif
101
104
(式(1-1)及び式(1-2)中、
A
1
及びA
2
は、各々独立に、直接結合、置換基を有していてもよい炭素数1~12の
アルキレン基、又は置換基を有していてもよい炭素数6~12のフェニレン基を表し、
Lは、下記式(2-1)又は下記式(2-2)で表され、
R
1
~R
8
は、各々独立に、水素原子、置換基を有していてもよい炭素数1~6のアル
キル基、置換基を有していてもよい炭素数6~10のフェニル基、置換基を有していても
よい炭素数2~6のアルコキシカルボニル基、カルボキシ基、又は置換基を有していても
よい炭素数2~18のホスフィニル基を表し、
R
11
~R
12
は、各々独立に、水素原子、置換基を有していてもよい炭素数1~12
の脂肪族炭化水素基、置換基を有していてもよい炭素数6~12の芳香族炭化水素基、又
は置換基を有していてもよい炭素数3~12の芳香族複素環基を表す。)
TIFF
2025146128000013.tif
43
67
(式(2-1)及び式(2-2)中、
R
13
~R
16
は、各々独立に、水素原子、置換基を有していてもよい炭素数1~12
の脂肪族炭化水素基、置換基を有していてもよい炭素数6~12の芳香族炭化水素基、又
は置換基を有していてもよい炭素数3~12の芳香族複素環基を表し、
*は式(1-1)又は式(1-2)中のA
2
との結合位置を表す。)
【請求項3】
前記触媒の総質量に対して、パラジウム原子の総質量が0.001質量%以上25質量
%以下である、請求項1に記載の触媒。
【請求項4】
前記無機担持体が活性炭である、請求項1に記載の触媒。
【請求項5】
前記活性炭の比表面積が800m
2
/g以上2000m
2
/g以下である、請求項4に
記載の触媒。
【請求項6】
請求項1~5のいずれか1項に記載の触媒を用いて、鈴木-宮浦カップリング反応によ
り芳香族化合物を合成する工程を含む、芳香族化合物の製造方法。
【請求項7】
請求項1~5のいずれか1項に記載の触媒を用いて、ニトロ基を有する化合物からアミ
ン化合物を合成する工程を含む、アミン化合物の製造方法。
【請求項8】
パラジウム錯体の含有液と無機担持体を混合する工程を含む、触媒の製造方法であって
、
該パラジウム錯体がフェロセン骨格をもつ配位子を有する、触媒の製造方法。
【請求項9】
前記工程の後に、溶媒を除去する工程を含む、請求項8に記載の触媒の製造方法。
発明の詳細な説明
【技術分野】
【0001】
本発明は、パラジウム錯体を吸着した無機担持体を含む触媒に関する。
続きを表示(約 2,700 文字)
【背景技術】
【0002】
金属錯体を触媒とする有機合成反応は古くから知られており、鈴木-宮浦カップリング
に代表される炭素-炭素結合(C-C結合)を形成する反応は、有機化合物骨格合成の必
須反応といえる。
鈴木-宮浦カップリング反応に必要な有機ホウ素化合物は比較的無毒であり、他の有機
金属化合物とは異なり、水に対しても安定に存在する。また、鈴木-宮浦カップリング反
応は温和な条件で進むため、非常に工業的な価値が高い。
【0003】
鈴木-宮浦カップリング反応には、非特許文献1に示されているように主に均一系のパ
ラジウム触媒が広く用いられているが、均一系触媒は原則再利用が不可能で、反応終了後
には生成物から触媒を取り除く操作が必要であり、またその触媒の除去が不十分であれば
、生成物に触媒由来の残留金属が混入して生成物の特性に影響を及ぼすなど、様々な課題
を抱えていることが知られている。
これらの課題を解決すべく、パラジウム錯体を固体担体に担持させて、不均一媒として
機能させる試みがなされている(非特許文献2参照)。
パラジウム錯体の固定化方法としては、配位子の官能基と担体表面の官能基を共有結合
で結合する方法、配位子の官能基と担体表面の官能基をイオン結合や水素結合などの分子
間相互作用で近接させる方法などがある。これらの方法は、触媒を担体表面に担持させる
ために担体及び触媒となる錯体を予め化学的に修飾しておく必要があり、触媒生産におい
てのコストアップに繋がるため産業上の利用が制限される。また、均一系パラジウム錯体
における効率のよい錯体を模倣して、担持用の錯体を考案しても、錯体に担体との結合の
ための官能基を導入する必要があり、結果として錯体の電子状態を反応に最適な状態にす
ることが制限される。
パラジウム触媒反応において、こうした担体や錯体の化学的な修飾を必要としない担持
例としては活性炭を担体に用いている例が知られており、[Pd(acac)
2
]錯体を
用いた鈴木-宮浦カップリング反応や[Pd(xantphos)Cl
2
]錯体を用いた
カルボニル化反応に有用であることが報告されている(非特許文献3、4参照)。
【先行技術文献】
【非特許文献】
【0004】
Chem.Rev.95(1995)p.2457-2483
Chem.Asian J.16(2021)p.3851-3853
Bull.Chem.Soc.J pn.84(2011)p.1136-1143
Ind.Eng.Chem.Res.58(2019)p.22951-22957
【発明の概要】
【発明が解決しようとする課題】
【0005】
先行例において、錯体溶液と活性炭を混合して溶媒を乾燥させ、得られたものをそのま
ま触媒として用いる試みがなされているが、本発明者等は、非特許文献3、4に記載の均
一系パラジウム錯体を活性炭に担持して触媒を調製したところ、用いた均一系触媒の約半
分が活性炭に担持されない状態で存在することを見いだした。そのまま触媒として用いれ
ば、生成物への錯体由来の成分の混入が避けられず、また、均一系触媒の活性炭への担持
量が低く、カップリング反応等を行う場合に、大量の活性炭を用いる必要がある。
【0006】
そこで、本発明者等は無機担持体と均一系パラジウム錯体を溶媒中で混合、乾燥すると
いう容易な方法で準備が可能であり、無機担持体にパラジウム錯体が高い担持率で担持さ
れた触媒であり、かつ触媒を調製後に溶媒で洗浄しても錯体の担持率が低下せず、溶媒洗
浄によって未担持の錯体を除去して生成物への残留パラジウム量を小さくすることが可能
で、反応後にも担持されたパラジウムの流出が小さく、カップリング反応や還元反応を高
効率で進行させるとともに、繰り返しの使用が可能となる触媒を提供することを課題とす
る。
【課題を解決するための手段】
【0007】
本発明者等は鋭意検討したところ、特定の配位子を有するパラジウム錯体を吸着した無
機担持体を含む触媒が上記課題を解決し得ることを見出し、本発明を完成するに至った。
すなわち、本発明は以下を提供する。
【0008】
[1] パラジウム錯体を吸着した無機担持体から構成される触媒であって、該パラジウ
ム錯体がフェロセン骨格をもつ配位子を有する、触媒。
[2] 前記フェロセン骨格をもつ配位子が下記式(1-1)又は式(1-2)で表され
る構造を含む、[1]に記載の触媒。
【0009】
TIFF
2025146128000001.tif
103
105
【0010】
(式(1-1)及び式(1-2)中、
A
1
及びA
2
は、各々独立に、直接結合、置換基を有していてもよい炭素数1~12の
アルキレン基、又は置換基を有していてもよい炭素数6~12のフェニレン基を表し、
Lは、下記式(2-1)又は下記式(2-2)で表され、
R
1
~R
8
は、各々独立に、水素原子、置換基を有していてもよい炭素数1~6のアル
キル基、置換基を有していてもよい炭素数6~10のフェニル基、置換基を有していても
よい炭素数2~6のアルコキシカルボニル基、カルボキシ基、又は置換基を有していても
よい炭素数2~18のホスフィニル基を表し、
R
11
~R
12
は、各々独立に、水素原子、置換基を有していてもよい炭素数1~12
の脂肪族炭化水素基、置換基を有していてもよい炭素数6~12の芳香族炭化水素基、又
は置換基を有していてもよい炭素数3~12の芳香族複素環基を表す。)
(【0011】以降は省略されています)
この特許をJ-PlatPat(特許庁公式サイト)で参照する
関連特許
ユニチカ株式会社
複合中空糸膜
8日前
東レ株式会社
中空糸膜モジュール
7日前
株式会社ニクニ
液体処理装置
21日前
日本化薬株式会社
メタノール改質触媒
22日前
株式会社MRT
微細バブル発生装置
11日前
個人
攪拌装置
11日前
株式会社笹山工業所
濁水処理システム
11日前
東京理化器械株式会社
クリップ
15日前
大和ハウス工業株式会社
反応装置
1日前
ヤマシンフィルタ株式会社
フィルタ装置
9日前
ヤマシンフィルタ株式会社
フィルタ装置
29日前
ノリタケ株式会社
ガス吸収シート
22日前
大陽日酸株式会社
CO2の回収方法
3日前
本田技研工業株式会社
ガス回収装置
3日前
杉山重工株式会社
回転円筒型反応装置
11日前
株式会社インパクト
消臭剤又は消臭紙の製造方法
14日前
本田技研工業株式会社
二酸化炭素回収装置
3日前
本田技研工業株式会社
分離システム
11日前
本田技研工業株式会社
二酸化炭素回収装置
7日前
本田技研工業株式会社
二酸化炭素回収装置
9日前
本田技研工業株式会社
二酸化炭素回収装置
1日前
靜甲株式会社
高圧損発生ユニット並びに充填装置
29日前
本田技研工業株式会社
二酸化炭素回収装置
9日前
ノリタケ株式会社
触媒材料およびその利用
1日前
ノリタケ株式会社
触媒材料およびその利用
1日前
ノリタケ株式会社
触媒材料およびその利用
1日前
本田技研工業株式会社
二酸化炭素回収装置
9日前
本田技研工業株式会社
二酸化炭素回収装置
1日前
本田技研工業株式会社
二酸化炭素回収装置
1日前
本田技研工業株式会社
二酸化炭素回収装置
1日前
Planet Savers株式会社
気体濃縮装置
3日前
株式会社プロテリアル
触媒複合物および触媒前駆体複合物
2日前
日東電工株式会社
吸着材
7日前
セイコーエプソン株式会社
気体分離膜
11日前
東京応化工業株式会社
ろ過処理方法、及び多孔質膜
1日前
JFEエンジニアリング株式会社
二酸化炭素回収方法
3日前
続きを見る
他の特許を見る