TOP
|
特許
|
意匠
|
商標
特許ウォッチ
Twitter
他の特許を見る
公開番号
2025150015
公報種別
公開特許公報(A)
公開日
2025-10-09
出願番号
2024050654
出願日
2024-03-27
発明の名称
温度測定システム、規格化温度算出装置及び温度測定方法
出願人
日本製鉄株式会社
代理人
弁理士法人ブライタス
主分類
C10B
45/00 20060101AFI20251002BHJP(石油,ガスまたはコークス工業;一酸化炭素を含有する工業ガス;燃料;潤滑剤;でい炭)
要約
【課題】コークス炉の温度管理に用いる燃焼室の規格化温度を取得することが可能な、温度測定システムを提供する。
【解決手段】温度測定システムは、コークス炉の燃焼室の上方にある観察孔に設けられた光学窓を介して取得した異なる2つの波長の分光放射輝度の比に基づいて、燃焼室を構成するフリューの温度を測定する2色放射温度計と、燃焼室の規格化温度を算出する規格化温度算出装置と、を備え、規格化温度算出装置は、2色放射温度計による測温位置に基づいて、測温対象のフリューを備える燃焼室を特定する測温対象特定部と、予め取得された、燃焼室の燃焼側のフリューと排気側のフリューとを切り替える燃焼切り替えの間に時間変化するフリューの温度を表す温度変化式を用いて、測温対象のフリューの燃焼切替時刻、2色放射温度計により測定されたフリューの温度、及び、測温時刻から、規格化温度を算出する規格化温度算出部と、を有する。
【選択図】図3
特許請求の範囲
【請求項1】
コークス炉の燃焼室の上方にある観察孔に設けられた光学窓を介して取得した異なる2つの波長の分光放射輝度の比に基づいて、前記燃焼室を構成するフリューの温度を測定する2色放射温度計と、
前記燃焼室の規格化温度を算出する規格化温度算出装置と、
を備え、
前記規格化温度算出装置は、
前記2色放射温度計による測温位置に基づいて、測温対象のフリューを備える燃焼室を特定する測温対象特定部と、
予め取得された、燃焼室の燃焼側のフリューと排気側のフリューとを切り替える燃焼切り替えの間に時間変化する前記燃焼室のフリューの温度を表す温度変化式を用いて、前記測温対象のフリューの燃焼切替時刻、前記2色放射温度計により測定されたフリューの温度、及び、測温時刻から、前記規格化温度を算出する規格化温度算出部と、
を有する、温度測定システム。
続きを表示(約 1,200 文字)
【請求項2】
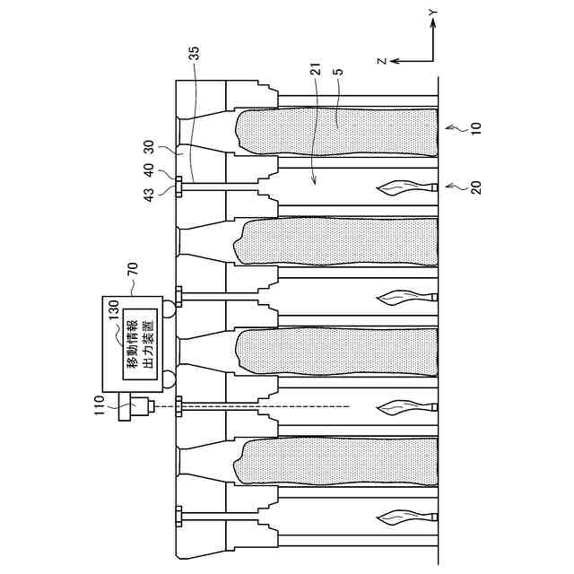
前記2色放射温度計は、前記コークス炉の炉上を移動する移動装置に設置されており、
前記移動装置は、前記移動装置の位置及び当該位置にいる時刻を移動情報として、前記規格化温度算出装置に出力する移動情報出力装置を備え、
前記規格化温度算出装置は、
前記2色放射温度計が測温したときの前記移動装置の位置及び時刻を、前記測温位置及び前記測温時刻として、
前記測温対象特定部により前記測温対象のフリューを備える燃焼室を特定し、
前記規格化温度算出部により前記規格化温度を算出する、請求項1に記載の温度測定システム。
【請求項3】
前記温度変化式は、時間が経過するにつれて前記フリューの温度が上昇する燃焼フェーズを表す式と、時間が経過するにつれて前記フリューの温度が下降する燃焼フェーズを表す式とからなり、
前記規格化温度算出部は、前記温度変化式のうち、前記測温対象のフリューの燃焼切替時刻と前記2色放射温度計による測温時刻とから特定される燃焼フェーズを表す式を用いて、前記規格化温度を算出する、請求項1または2に記載の温度測定システム。
【請求項4】
前記規格化温度は、前記温度変化式から特定される、前記燃焼切り替え開始から所定の標準時間経過後の温度である、請求項1または2に記載の温度測定システム。
【請求項5】
コークス炉の燃焼室を構成するフリューの温度を測定する2色放射温度計の測温位置に基づいて、測温対象のフリューを備える燃焼室を特定する測温対象特定部と、
予め取得された、燃焼室の燃焼側のフリューと排気側のフリューとを切り替える燃焼切り替えの間に時間変化する前記フリューの温度を表す温度変化式を用いて、前記測温対象のフリューの燃焼切替時刻、前記2色放射温度計により測定されたフリューの温度、及び、測温時刻から、前記燃焼室の規格化温度を算出する規格化温度算出部と、
を備える、規格化温度算出装置。
【請求項6】
コークス炉の任意の燃焼室について、予め測定された前記燃焼室を構成するフリューの温度の時系列データから、燃焼側のフリューと排気側のフリューとを切り替える燃焼切り替えの間に時間変化する前記フリューの温度を表す温度変化式を算出する温度変化式算出ステップと、
2色放射温度計を用いて、前記コークス炉の燃焼室の上方にある観察孔に設けられた光学窓を介して取得した異なる2つの波長の分光放射輝度の比に基づいて、測温対象のフリューの温度を測定する温度測定ステップと、
前記2色放射温度計の測温位置に基づいて、測温対象のフリューを備える燃焼室を特定する測温対象特定ステップと、
前記温度変化式を用いて、前記測温対象のフリューの燃焼切替時刻、前記2色放射温度計により測定されたフリューの温度、及び、測温時刻から、前記燃焼室の規格化温度を算出する規格化温度算出ステップと、
を含む、温度測定方法。
発明の詳細な説明
【技術分野】
【0001】
本発明は、コークス炉の燃焼室の温度を測定する温度測定システム、規格化温度算出装置及び温度測定方法に関する。
続きを表示(約 2,200 文字)
【背景技術】
【0002】
コークス炉では、燃焼室の温度に基づいて燃料ガスの供給量を調整しながら操業が行われている。燃焼室の温度は、一般に、コークス炉の燃焼室の上方に設けられたフリューポートと呼ばれる観察孔から放射温度計を用いて測定される。放射温度計を用いた燃焼室の温度の測定作業は、作業者が、観察孔を封鎖するフリューポートの蓋(以下、「フリュー蓋」とも称する。)を取り外し、ハンディタイプの放射温度計により燃焼室内部を覗いて測温し、測定値が得られるとフリュー蓋を元に戻す、という手順で実施される。かかる測定作業では、放射温度計で大気開放された燃焼室を直視することになるため、作業者が燃焼室からの炎や高温の熱風に晒される危険がある。また、1つのコークス炉には約100室の燃焼室があり、さらに各燃焼室には30程度のフリューポートがあるため、燃焼室ごとに特定された数か所のフリューポートにおいて測温するだけでも多大な作業量となる。
【0003】
燃焼室の温度を測定するための手法として、例えば特許文献1には、フリュー蓋に光学窓を設け、光学窓を介して2色放射温度計で燃焼室の温度を測定する方法が提案されている。特許文献1に記載の方法では、フリュー蓋を取り外すことなく測温ができる。また、2色放射温度計は、異なる2つの波長の分光放射輝度を検出し、それらの分光放射輝度の比(2色比)が温度に応じて変化することを測定原理とする。このため、光学窓に粉塵が付着して観測する放射輝度が低下した場合や、2色放射温度計の視野の一部が光学窓から外れる「視野欠け」が生じた場合の影響を受けにくく、正確に温度を測定することができる。
【先行技術文献】
【特許文献】
【0004】
特開2022-144765号公報
【発明の概要】
【発明が解決しようとする課題】
【0005】
コークス炉の1つの燃焼室は2つ以上のフリューで構成されており、燃焼ガスが供給されるフリュー(以下、「燃焼側のフリュー」ともいう。)と排気ガスを排出するフリュー(以下、「排気側のフリュー」ともいう。)とを所定の時間毎に切り替える加熱方式を採用している。このような燃焼切り替えによって燃焼側となったフリューの温度は時間の経過とともに上昇し、排気側となったフリューの温度は時間の経過とともに下降する。このため、燃焼室の時間的な平均温度が一定に保たれていたとしても、燃焼室の測温タイミングによって測定される温度が異なる。
【0006】
コークス炉の操業においては炉全体として維持する温度(操業設計温度)が定められており、燃焼室の温度が操業設計温度となるように燃焼ガスの供給量を調整してコークス炉の温度を管理している。しかし、上述のように、燃焼切り替えにより、測定される燃焼室の温度は測定タイミングよって異なるため、測定した燃焼室の温度をコークス炉の温度管理にそのまま用いるのは適切ではない。コークス炉の温度を適切に管理するためには、操業設計温度と対比し得る燃焼室の温度を取得することが望ましい。
【0007】
そこで、本発明は、上記問題に鑑みてなされたものであり、本発明の目的とするところは、コークス炉の温度管理に用いる燃焼室の規格化温度を取得することが可能な、温度測定システム、規格化温度算出装置及び温度測定方法を提供することにある。
【課題を解決するための手段】
【0008】
上記課題を解決するために、本発明のある観点によれば、コークス炉の燃焼室の上方にある観察孔に設けられた光学窓を介して取得した異なる2つの波長の分光放射輝度の比に基づいて、燃焼室を構成するフリューの温度を測定する2色放射温度計と、燃焼室の規格化温度を算出する規格化温度算出装置と、を備え、規格化温度算出装置は、2色放射温度計による測温位置に基づいて、測温対象のフリューを備える燃焼室を特定する測温対象特定部と、予め取得された、燃焼室の燃焼側のフリューと排気側のフリューとを切り替える燃焼切り替えの間に時間変化するフリューの温度を表す温度変化式を用いて、測温対象のフリューの燃焼切替時刻、2色放射温度計により測定されたフリューの温度、及び、測温時刻から、規格化温度を算出する規格化温度算出部と、を有する、温度測定システムが提供される。
【0009】
2色放射温度計は、コークス炉の炉上を移動する移動装置に設置されており、移動装置は、移動装置の位置及び当該位置にいる時刻を移動情報として、規格化温度算出装置に出力する移動情報出力装置を備え、規格化温度算出装置は、2色放射温度計が測温したときの移動装置の位置及び時刻を、測温位置及び測温時刻として、測温対象特定部により測温対象のフリューを備える燃焼室を特定し、規格化温度算出部により規格化温度を算出してもよい。
【0010】
温度変化式は、時間が経過するにつれてフリューの温度が上昇する燃焼フェーズを表す式と、時間が経過するにつれてフリューの温度が下降する燃焼フェーズを表す式とからなり、規格化温度算出部は、温度変化式のうち、測温対象のフリューの燃焼切替時刻と2色放射温度計による測温時刻とから特定される燃焼フェーズを表す式を用いて、規格化温度を算出してもよい。
(【0011】以降は省略されています)
この特許をJ-PlatPat(特許庁公式サイト)で参照する
関連特許
日本製鉄株式会社
床構造
13日前
日本製鉄株式会社
ボルト
13日前
日本製鉄株式会社
剪断機
13日前
日本製鉄株式会社
鋼部品
4日前
日本製鉄株式会社
鋼部品
4日前
日本製鉄株式会社
床構造
13日前
日本製鉄株式会社
ボルト
1か月前
日本製鉄株式会社
橋脚構造
2日前
日本製鉄株式会社
構造部材
23日前
日本製鉄株式会社
管理装置
1か月前
日本製鉄株式会社
耐火構造物
25日前
日本製鉄株式会社
リクレーマ
1か月前
日本製鉄株式会社
耐火構造物
25日前
日本製鉄株式会社
鍛鋼ロール
3日前
日本製鉄株式会社
鍛鋼ロール
3日前
日本製鉄株式会社
腐食センサ
2日前
日本製鉄株式会社
耐火構造物
25日前
日本製鉄株式会社
管理システム
2日前
日本製鉄株式会社
学習システム
5日前
日本製鉄株式会社
高Ni合金鋼
2日前
日本製鉄株式会社
高Ni合金板
1か月前
日本製鉄株式会社
転炉精錬方法
23日前
日本製鉄株式会社
高Ni合金鋼
2日前
日本製鉄株式会社
溶鉄の製造方法
4日前
日本製鉄株式会社
高炉の操業方法
1か月前
日本製鉄株式会社
溶鉄の製造方法
1か月前
日本製鉄株式会社
ステンレス鋼板
1か月前
日本製鉄株式会社
高炉の操業方法
1か月前
日本製鉄株式会社
高炉の冷却構造
1か月前
日本製鉄株式会社
高炉の操業方法
4日前
日本製鉄株式会社
焼結鉱の製造方法
1か月前
日本製鉄株式会社
金属材の製造方法
4日前
日本製鉄株式会社
焼結鉱の製造方法
23日前
日本製鉄株式会社
金属材の製造方法
9日前
日本製鉄株式会社
鉄道車両用の台車
5日前
日本製鉄株式会社
合成梁及び床構造
23日前
続きを見る
他の特許を見る