TOP
|
特許
|
意匠
|
商標
特許ウォッチ
Twitter
他の特許を見る
10個以上の画像は省略されています。
公開番号
2025153809
公報種別
公開特許公報(A)
公開日
2025-10-10
出願番号
2024056451
出願日
2024-03-29
発明の名称
レーザ描画用光硬化性樹脂組成物、立体造形物、および立体造形物の製造方法
出願人
三井化学株式会社
,
国立大学法人東京科学大学
代理人
弁理士法人鷲田国際特許事務所
主分類
C08F
20/10 20060101AFI20251002BHJP(有機高分子化合物;その製造または化学的加工;それに基づく組成物)
要約
【課題】内部でレーザを集光させて微細な立体造形物を精度よく製造することが可能なレーザ描画用光硬化性樹脂組成物を提供すること。
【解決手段】上記課題を解決するレーザ描画用光硬化性樹脂組成物は、(メタ)アクリロイル基を含む光硬化性化合物と、光重合開始剤と、を含み、前記光重合開始剤の量が、前記光硬化性化合物の総量に対して0.5質量%以下である。
【選択図】なし
特許請求の範囲
【請求項1】
(メタ)アクリロイル基を含む光硬化性化合物と、
光重合開始剤と、
を含み、
前記光重合開始剤の量が、前記光硬化性化合物の総量に対して0.5質量%以下である、
レーザ描画用光硬化性樹脂組成物。
続きを表示(約 1,100 文字)
【請求項2】
硬化物の25℃における波長589nmの光の屈折率が1.60以上であり、かつ25℃における波長589nmの光のアッベ数が25以上である、
請求項1に記載のレーザ描画用光硬化性樹脂組成物。
【請求項3】
前記光硬化性化合物が、分子内に2つ以上の(メタ)アクリロイル基、およびフルオレン構造を有する、フルオレン含有(メタ)アクリレートを含む、
請求項1に記載のレーザ描画用光硬化性樹脂組成物。
【請求項4】
前記フルオレン含有(メタ)アクリレートの量が、前記光硬化性化合物の総量に対して、30質量%以上70質量%以下である、
請求項3に記載のレーザ描画用光硬化性樹脂組成物。
【請求項5】
前記光硬化性化合物が、分子内に2つ以上の(メタ)アクリロイル基、および硫黄原子を含有する硫黄含有(メタ)アクリレートを含む、
請求項1にレーザ描画用光硬化性樹脂組成物。
【請求項6】
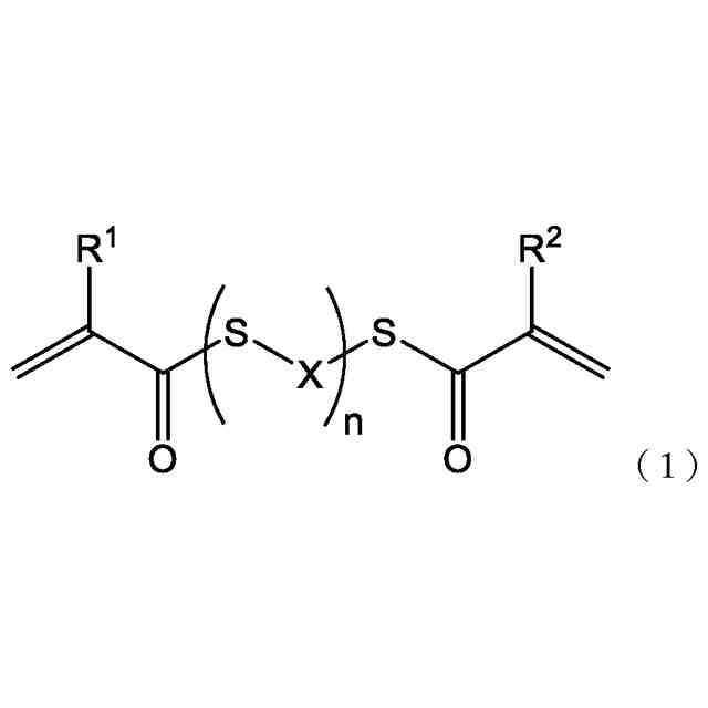
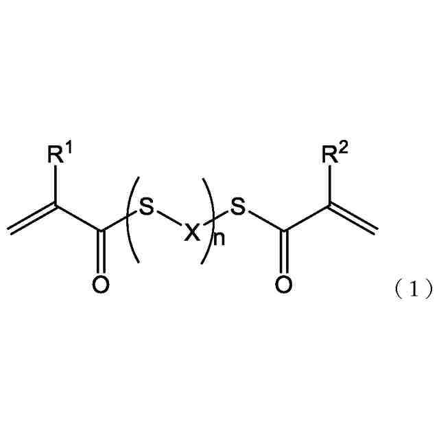
前記硫黄含有(メタ)アクリレートが、下記一般式(1)で表される(メタ)アクリル酸チオエステル化合物である、
請求項5に記載のレーザ描画用光硬化性樹脂組成物。
TIFF
2025153809000014.tif
35
161
(一般式(1)中、
Xは、下記一般式(2)で表される基が結合していてもよく、かついずれかのメチレン基がカルボニル基で置換されていてもよい、炭素数1以上4以下のアルキレン基を表し、
nは5以上の整数を表し、
R
1
およびR
2
はそれぞれ独立に、水素原子またはメチル基を表す
TIFF
2025153809000015.tif
31
162
(一般式(2)中、
R
3
は、水素原子またはメチル基を表し、
Zは炭素数1以上4以下のアルキレン基を表し、
pは1以上の整数を表す))
【請求項7】
請求項1~6のいずれか一項に記載のレーザ描画用光硬化性樹脂組成物の硬化物を含む、
立体造形物。
【請求項8】
請求項1~6のいずれか一項に記載のレーザ描画用光硬化性樹脂組成物内でレーザを集光させて、前記レーザ描画用光硬化性樹脂組成物を硬化させる工程を含む、
立体造形物の製造方法。
【請求項9】
前記レーザが、フェムト秒パルスレーザである、
請求項8に記載の立体造形物の製造方法。
発明の詳細な説明
【技術分野】
【0001】
本発明は、レーザ描画用光硬化性樹脂組成物、立体造形物、および立体造形物の製造方法に関する。
続きを表示(約 2,300 文字)
【背景技術】
【0002】
近年、各種電子機器の小型化が求められており、マイクロオーダーやナノオーダーの微細な立体造形物を得ることが求められている。このような微細な立体造形物を製造する方法として、光硬化性を有する樹脂組成物の内部でレーザを集光させ、レーザの焦点近傍の樹脂組成物のみを硬化させる方法が提案されている(例えば特許文献1)。特許文献1には、フェムト秒パルスレーザ等を用い、樹脂組成物の二光子吸収を利用することで、光の回折限界以下の微細加工を行うことが記載されている。
【先行技術文献】
【特許文献】
【0003】
特開2003-1599号公報
【発明の概要】
【発明が解決しようとする課題】
【0004】
ここで、光造形に使用する樹脂組成物は、(メタ)アクリレート等の光硬化性化合物と、光重合開始剤とを含むことが一般的である。例えば特許文献1においても、ウレタンアクリレート系の光硬化性樹脂と、光重合開始剤と、を含む樹脂組成物を使用することが記載されている。ここで、光造形に使用される樹脂組成物において、光重合開始剤の量は、光硬化性化合物の総量に対して、1質量%以上であることが一般的である。
【0005】
しかしながら、本発明者らの検討によれば、このような樹脂組成物を用いた立体造形では、所望の形状の立体造形物が得られ難かった。その理由としては、レーザ光の照射によって、光重合開始剤から多量の活性種が発生し、当該活性種が、所望の領域の光硬化性化合物だけでなく、所望の領域の外側にある光硬化性化合物まで重合させてしまうことが挙げられる。
【0006】
本発明は、上記課題を鑑みてなされたものである。内部でレーザを集光させて微細な立体造形物を精度よく製造することが可能なレーザ描画用光硬化性樹脂組成物の提供を目的とする。本発明はさらに、上記レーザ描画用光硬化性樹脂組成物から得られる立体造形物、さらにはこれを用いた立体造形物の製造方法の提供も目的とする。
【課題を解決するための手段】
【0007】
本発明は、以下のレーザ描画用光硬化性樹脂組成物を提供する。
[1](メタ)アクリロイル基を含む光硬化性化合物と、光重合開始剤と、を含み、前記光重合開始剤の量が、前記光硬化性化合物の総量に対して0.5質量%以下である、レーザ描画用光硬化性樹脂組成物。
[2]硬化物の25℃における波長589nmの光の屈折率が1.60以上であり、アッベ数が25以上である、[1]に記載のレーザ描画用光硬化性樹脂組成物。
[3]前記光硬化性化合物が、分子内に2つ以上の(メタ)アクリロイル基、およびフルオレン構造を有する、フルオレン含有(メタ)アクリレートを含む、[1]または[2]に記載のレーザ描画用光硬化性樹脂組成物。
[4]前記フルオレン含有(メタ)アクリレートの量が、前記光硬化性化合物の総量に対して、30質量%以上70質量%以下である、[3]に記載のレーザ描画用光硬化性樹脂組成物。
[5]前記光硬化性化合物が、分子内に2つ以上の(メタ)アクリロイル基、および硫黄原子を含有する硫黄含有(メタ)アクリレートを含む、[1]~[4]のいずれかに記載のレーザ描画用光硬化性樹脂組成物。
[6]前記硫黄含有(メタ)アクリレートが、下記一般式(1)で表される(メタ)アクリル酸チオエステル化合物である、[5]に記載のレーザ描画用光硬化性樹脂組成物。
TIFF
2025153809000001.tif
35
139
(一般式(1)中、Xは、下記一般式(2)で表される基が結合していてもよく、かついずれかのメチレン基がカルボニル基で置換されていてもよい、炭素数1以上4以下のアルキレン基を表し、nは5以上の整数を表し、R
1
およびR
2
はそれぞれ独立に、水素原子またはメチル基を表す
TIFF
2025153809000002.tif
31
139
(一般式(2)中、R
3
は、水素原子またはメチル基を表し、Zは炭素数1以上4以下のアルキレン基を表し、pは1以上の整数を表す))
【0008】
本発明は、以下の立体造形物および立体造形物の製造方法を提供する。
[7]上記[1]~[6]のいずれかに記載のレーザ描画用光硬化性樹脂組成物の硬化物を含む、立体造形物。
[8]上記[1]~[6]のいずれか一項に記載のレーザ描画用光硬化性樹脂組成物でレーザを集光させて、前記レーザ描画用光硬化性樹脂組成物を硬化させる工程を含む、立体造形物の製造方法。
[9]前記レーザが、フェムト秒パルスレーザである、[8]に記載の立体造形物の製造方法。
【発明の効果】
【0009】
本発明のレーザ描画用光硬化性樹脂組成物によれば、内部でレーザを集光させて微細な立体造形物を精度よく製造することが可能である。
【発明を実施するための形態】
【0010】
以下、本発明のレーザ描画用光硬化性樹脂組成物および立体造形物、ならびに立体造形物の製造方法について、具体的な実施形態を例に説明する。ただし、本発明のレーザ描画用光硬化性樹脂組成物および立体造形物、ならびに立体造形物の製造方法は、これらの実施形態に限定されない。
(【0011】以降は省略されています)
この特許をJ-PlatPat(特許庁公式サイト)で参照する
関連特許
三井化学株式会社
混練装置
17日前
三井化学株式会社
ペレット
29日前
三井化学株式会社
手術用器具
9日前
三井化学株式会社
充電コネクタ
8日前
三井化学株式会社
センサユニット
1か月前
三井化学株式会社
空中結像システム
10日前
三井化学株式会社
積層体および緩衝材
1か月前
三井化学株式会社
ドローン用ブレード
9日前
三井化学株式会社
サイドドア及び移動体
29日前
三井化学株式会社
樹脂組成物及び成形体
4日前
三井化学株式会社
樹脂組成物及び成形体
4日前
三井化学株式会社
自動車内装材用積層体
8日前
三井化学株式会社
バックドア及び移動体
8日前
三井化学株式会社
樹脂組成物および接着剤
8日前
三井化学株式会社
光学プレートの製造方法
1か月前
三井化学株式会社
サイドドアおよび移動体
9日前
三井化学株式会社
サイドドアおよび移動体
9日前
三井化学株式会社
光学材料及びその製造方法
19日前
三井化学株式会社
樹脂組成物およびその用途
29日前
三井化学株式会社
繊維および繊維の製造方法
10日前
三井化学株式会社
アンダーカバー及び移動体
16日前
三井化学株式会社
重合体組成物および成形体
9日前
三井化学株式会社
熱可塑性エラストマー組成物
9日前
三井化学株式会社
絶縁電線、コイル及びモータ
10日前
三井化学株式会社
エチレン共重合体の製造方法
4日前
三井化学株式会社
粘着付与剤および粘着性組成物
9日前
三井化学株式会社
極性重合体組成物および成形体
8日前
三井化学株式会社
多孔質膜及び多孔質膜の製造方法
15日前
三井化学株式会社
繊維強化樹脂組成物および成形体
8日前
三井化学株式会社
非水電解液及び非水電解液二次電池
8日前
三井化学株式会社
積層体、包装材、蓋材およびラベル
9日前
三井化学株式会社
ポリアミド樹脂組成物および成形体
29日前
三井化学株式会社
固体組成物及び固体組成物の製造方法
8日前
三井化学株式会社
シートフレーム、シート、及び移動体
15日前
三井化学株式会社
延伸成形体および延伸成形体の製造方法
10日前
三井化学株式会社
加飾された立体構造物及びその製造方法
1か月前
続きを見る
他の特許を見る