TOP
|
特許
|
意匠
|
商標
特許ウォッチ
Twitter
他の特許を見る
10個以上の画像は省略されています。
公開番号
2025158956
公報種別
公開特許公報(A)
公開日
2025-10-17
出願番号
2025061857
出願日
2025-04-03
発明の名称
ジヨードシランの製造方法
出願人
ディーエヌエフ シーオー., エルティーディー.
,
DNF CO., LTD.
代理人
個人
,
個人
,
個人
,
個人
,
個人
,
個人
,
個人
,
個人
主分類
C01B
33/107 20060101AFI20251009BHJP(無機化学)
要約
【課題】工程の安全性および生産性を確保するとともに、高純度のジヨードシランを得ることができる製造方法を提供する。
【解決手段】下記化学式1で表される化合物とヨウ素(I
2
)を反応させてジヨードシラン(SiH
2
I
2
)を製造するステップを含むジヨードシランの製造方法である。
<com:Image com:imageContentCategory="Drawing"> <com:ImageFormatCategory>JPEG</com:ImageFormatCategory> <com:FileName>2025158956000026.jpg</com:FileName> <com:HeightMeasure com:measureUnitCode="Mm">15</com:HeightMeasure> <com:WidthMeasure com:measureUnitCode="Mm">170</com:WidthMeasure> </com:Image>
(式中、Rは、水素または-NR
1
R
2
、R
1
およびR
2
は、独立して、水素またはC1-C10アルキル、Aは、-NR
3
R
4
または-OR
5
、R
3
~R
5
は、独立して、水素、C1-C10アルキル、C6-C12アリール、または-SiR
11
R
12
R
13
、R
3
およびR
4
は、C3-C7アルキレンまたはC2-C7ヘテロアルキレンにより連結されてヘテロ環を形成してよく、ヘテロ環およびR
3
~R
5
のアルキルは、-SiR
14
R
15
R
16
または-OSiR
17
R
18
R
19
で置換されてよく、R
11
~R
19
は、独立して、水素またはC1-C10アルキルである。)
【選択図】なし
特許請求の範囲
【請求項1】
下記化学式1で表される化合物とヨウ素(I
2
)を反応させ、ジヨードシラン(SiH
2
I
2
)を製造するステップを含む、ジヨードシランの製造方法。
JPEG
2025158956000020.jpg
15
170
(化学式1中、
Rは、水素または-NR
1
R
2
であり、
R
1
およびR
2
は、それぞれ独立して、水素またはC1-C10アルキルであり、
Aは、-NR
3
R
4
または-OR
5
であり、
R
3
~R
5
は、それぞれ独立して、水素、C1-C10アルキル、C6-C12アリール、または-SiR
11
R
12
R
13
であり、 前記R
3
およびR
4
は、C3-C7アルキレンまたはC2-C7ヘテロアルキレンにより連結されてヘテロ環を形成してよく、
前記ヘテロ環およびR
3
~R
5
のアルキルは、-SiR
14
R
15
R
16
または-OSiR
17
R
18
R
19
で置換されてよく、
R
11
~R
19
は、それぞれ独立して、水素またはC1-C10アルキルである。)
続きを表示(約 1,900 文字)
【請求項2】
化学式1で表される化合物が、下記化学式2または化学式3で表されるものである、請求項1に記載のジヨードシランの製造方法。
JPEG
2025158956000021.jpg
18
170
JPEG
2025158956000022.jpg
18
170
(化学式2および3中、
A、R
1
、およびR
2
は、請求項1における定義のとおりであり、
R
21
およびR
22
は、それぞれ独立して、水素、C1-C10アルキル、C6-C12アリール、または-SiR
11
R
12
R
13
であり、
R
11
~R
13
は、それぞれ独立して、水素またはC1-C10アルキルである。)
【請求項3】
R
1
、R
2
、R
21
、およびR
22
は、それぞれ独立して、水素またはC1-C4アルキルである、請求項2に記載のジヨードシランの製造方法。
【請求項4】
R
5
は、C1-C10アルキルまたは-L
1
-OSiR
17
R
18
R
19
であり、 L
1
は、C1-C10アルキレンであり、
R
17
~R
19
は、それぞれ独立して、水素またはC1-C10アルキルである、請求項1に記載のジヨードシランの製造方法。
【請求項5】
化学式2で表される化合物が、下記化学式4または化学式5で表されるものである、請求項2に記載のジヨードシランの製造方法。
JPEG
2025158956000023.jpg
19
170
JPEG
2025158956000024.jpg
18
170
(化学式4および5中、
R
31
およびR
32
は、それぞれ独立して、水素、C1-C7アルキル、C6-C12アリール、または-SiR
11
R
12
R
13
であるか、
前記R
31
およびR
32
は、C3-C7アルキレンまたは*-L
2
-X
1
-L
3
-*により連結されてヘテロ環を形成してよく、
L
2
およびL
3
は、それぞれ独立して、C1-C3アルキレンであり、
X
1
は、単結合、-O-、または-NR
35
であり、
R
35
は、水素または-SiR
14
R
15
R
16
であり、
R
33
は、C1-C4アルキルであり、
R
34
は、C1-C4アルキルまたは-OSiR
17
R
18
R
19
であり、
R
11
~R
19
は、それぞれ独立して、水素またはC1-C7アルキルである。)
【請求項6】
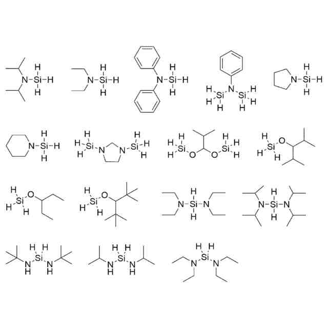
化学式1で表される化合物が、下記構造から選択されるものである、請求項1に記載のジヨードシランの製造方法。
JPEG
2025158956000025.jpg
99
170
【請求項7】
製造方法が、ヨウ化水素(HI)を反応させるステップをさらに含む、請求項1に記載のジヨードシランの製造方法。
【請求項8】
反応は、エステル系有機溶媒およびハロゲン化炭化水素系有機溶媒を含む混合溶媒下で行う、請求項1に記載のジヨードシランの製造方法。
【請求項9】
反応は、10~40℃の温度条件下で行う、請求項1に記載のジヨードシランの製造方法。
【請求項10】
反応後に、ヨウ素酸塩を濾過し、蒸留精製するステップをさらに含む、請求項1に記載のジヨードシランの製造方法。
発明の詳細な説明
【技術分野】
【0001】
本発明は、ジヨードシランの製造方法に関する。
続きを表示(約 2,200 文字)
【背景技術】
【0002】
ジヨードシラン(diiodosilane、SiH
2
I
2
)は、半導体の製造および新素材の開発の分野において重要な役割をする化合物であって、半導体産業の持続的な発展に伴い、当該化合物の需要が増加している。
【0003】
従来技術では、ジヨードシランを合成するために、ジクロロシラン(SiH
2
Cl
2
)のSi-Cl結合を、高価のヨウ化リチウムなどを用いてSi-Iで置換する合成法が主に用いられてきた。しかしながら、原料であるジクロロシランは、常温で気体である発火性物質であって、水分と反応して毒性物質である塩化水素ガスを生成するため、保管時に格別の注意が求められる。
【0004】
一方、フェニルシランをヨウ素と反応させてジヨードシランを製造する合成法が提案されているが、原料となるフェニルシランは高価の材料であって生産性が低下し、水分と接触時に爆発が発生し、水分吸収が非常に容易であるため保管が困難であるという問題がある。また、反応過程中における発熱が激しく、爆発の可能性があるため、工程の危険性が高いだけでなく、収率の低下を引き起こし、反応副産物として発がん性物質であるベンゼンを生成するという限界がある。
【先行技術文献】
【特許文献】
【0005】
米国特許出願公開第2016/0264426号明細書
【発明の概要】
【発明が解決しようとする課題】
【0006】
本発明の具体化は、工程の安全性および生産性を確保するとともに、高純度のジヨードシランを得ることができる製造方法を提供することである。
【課題を解決するための手段】
【0007】
本発明の一態様に係るジヨードシランの製造方法は、下記化学式1で表される化合物とヨウ素(I
2
)を反応させ、ジヨードシラン(SiH
2
I
2
)を製造するステップを含んでよい。
JPEG
2025158956000001.jpg
15
170
(化学式1中、
Rは、水素または-NR
1
R
2
であり、
R
1
およびR
2
は、それぞれ独立して、水素またはC1-C10アルキルであり、
Aは、-NR
3
R
4
または-OR
5
であり、
R
3
~R
5
は、それぞれ独立して、水素、C1-C10アルキル、C6-C12アリール、または-SiR
11
R
12
R
13
であり、 前記R
3
およびR
4
は、C3-C7アルキレンまたはC2-C7ヘテロアルキレンにより連結されてヘテロ環を形成してよく、
前記ヘテロ環およびR
3
~R
5
のアルキルは、-SiR
14
R
15
R
16
または-OSiR
17
R
18
R
19
で置換されてよく、
R
11
~R
19
は、それぞれ独立して、水素またはC1-C10アルキルである。)
【0008】
化学式1で表される化合物は、下記化学式2または化学式3で表されるものであってよい。
JPEG
2025158956000002.jpg
18
170
JPEG
2025158956000003.jpg
18
170
(化学式2および3中、
A、R
1
、およびR
2
は、前記化学式1における定義のとおりであり、
R
21
およびR
22
は、それぞれ独立して、水素、C1-C10アルキル、C6-C12アリール、または-SiR
11
R
12
R
13
であり、
R
11
~R
13
は、それぞれ独立して、水素またはC1-C10アルキルである。)
【0009】
R
1
、R
2
、R
21
、およびR
22
は、それぞれ独立して、水素またはC1-C4アルキルであってよい。
【0010】
R
5
は、C1-C10アルキルまたは-L
1
-OSiR
17
R
18
R
19
であり、 L
1
は、C1-C10アルキレンであり、 R
17
~R
19
は、それぞれ独立して、水素またはC1-C10アルキルであってよい。
(【0011】以降は省略されています)
この特許をJ-PlatPat(特許庁公式サイト)で参照する
関連特許
個人
一酸化炭素の製造方法
2日前
株式会社タクマ
固体炭素化設備
22日前
三菱重工業株式会社
加熱装置
22日前
株式会社トクヤマ
酸性次亜塩素酸水の製造方法
10日前
日揮触媒化成株式会社
珪酸液およびその製造方法
25日前
デンカ株式会社
窒化ケイ素粉末
24日前
デンカ株式会社
窒化ケイ素粉末
24日前
住友化学株式会社
無機アルミニウム化合物粉末
9日前
デンカ株式会社
窒化ケイ素粉末の製造方法
29日前
浅田化学工業株式会社
アルミナ水分散液の製造方法
1日前
デンカ株式会社
セラミックス粉末の製造方法
29日前
JFEエンジニアリング株式会社
ドライアイス製造システム
10日前
トヨタ自動車株式会社
光触媒を用いた水素ガス製造装置
17日前
トヨタ自動車株式会社
光触媒を用いた水素ガス製造装置
22日前
株式会社レゾナック
球状アルミナ粉末
29日前
日揮触媒化成株式会社
粉体及びその製造方法、並びに樹脂組成物
29日前
日本電気株式会社
繊維状カーボンナノホーン集合体の接着分離方法
25日前
デンカ株式会社
窒化ホウ素粉末、及び樹脂成形体
25日前
デンカ株式会社
窒化ホウ素粉末、及び樹脂成形体
25日前
株式会社大阪チタニウムテクノロジーズ
四塩化チタン製造方法
29日前
エヌ・イーケムキャット株式会社
ゼオライトの製造方法
24日前
デンカ株式会社
窒化ケイ素粉末、及びその製造方法
29日前
日揮触媒化成株式会社
多孔質の三次粒子を含む粉体、及びその製造方法
25日前
デンカ株式会社
無機粉末及びそれを用いた樹脂組成物
1日前
デンカ株式会社
窒化ケイ素粉末、及びその製造方法
29日前
日本特殊陶業株式会社
アンモニアの合成システム
11日前
三菱ケミカル株式会社
建材用金属酸化物層被覆体、及びその製造方法
29日前
株式会社レゾナック
球状無機酸化物粉末の製造方法
1か月前
デンカ株式会社
窒化ケイ素粉末、及び窒化ケイ素焼結体の製造方法
29日前
デンカ株式会社
窒化ホウ素粉末、及び、窒化ホウ素粉末の製造方法
1か月前
パナソニックIPマネジメント株式会社
水素生成装置
4日前
日産化学株式会社
シリカ二次粒子と該シリカ二次粒子を含む膜形成用組成物
16日前
第一稀元素化学工業株式会社
ジルコニア系複合酸化物
29日前
デンカ株式会社
窒化ホウ素粉末、及び窒化ホウ素粉末の製造方法
29日前
日鉄ケミカル&マテリアル株式会社
スラリー組成物
29日前
株式会社SUN METALON
金属酸化物の還元体の製造方法
1日前
続きを見る
他の特許を見る