TOP
|
特許
|
意匠
|
商標
特許ウォッチ
Twitter
他の特許を見る
10個以上の画像は省略されています。
公開番号
2025134252
公報種別
公開特許公報(A)
公開日
2025-09-17
出願番号
2024032035
出願日
2024-03-04
発明の名称
光学積層体及びその製造方法
出願人
住友化学株式会社
代理人
弁理士法人深見特許事務所
主分類
G02B
5/30 20060101AFI20250909BHJP(光学)
要約
【課題】光学特性に優れ、かつ、製造工程を簡素化でき、薄型化を実現できる光学積層体を提供する。
【解決手段】光学積層体は、液晶偏光子、第1保護層、及び光吸収異方性層がこの順に積層されている。液晶偏光子は、重合性液晶化合物の重合体及び二色性色素を含み、かつ、液晶偏光子の平面に対して水平方向に吸収軸を有する。光吸収異方性層は、重合性液晶化合物の重合体及び二色性色素を含み、式(1)~(3)の関係を満たす。水平配向層と液晶偏光子とは直接接している。液晶偏光子と第1保護層とは直接接している。第1保護層と光吸収異方性層とは直接接している、又は、第1保護層と光吸収異方性層との間に垂直配向層のみを有している。
Az>(Ax+Ay)/2 (1)
0.001≦Ax≦0.1 (2)
Ax(z=60°)/Ax≧5 (3)
【選択図】図1
特許請求の範囲
【請求項1】
水平配向層、液晶偏光子、第1保護層、及び光吸収異方性層がこの順に積層された光学積層体であって、
前記液晶偏光子は、重合性液晶化合物の重合体及び二色性色素を含み、かつ、前記液晶偏光子の平面に対して水平方向に吸収軸を有し、
前記光吸収異方性層は、重合性液晶化合物の重合体及び二色性色素を含み、かつ、下記式(1)~(3)の関係を満たし、
前記水平配向層と前記液晶偏光子とは直接接しており、
前記液晶偏光子と前記第1保護層とは直接接しており、
前記第1保護層と前記光吸収異方性層とは直接接している、又は、前記第1保護層と前記光吸収異方性層との間に垂直配向層のみを有している、光学積層体。
Az>(Ax+Ay)/2 (1)
0.001≦Ax≦0.1 (2)
Ax(z=60°)/Ax≧5 (3)
[式(1)~(3)中、
Ax、Ay、及びAzは、前記光吸収異方性層の波長380nm以上780nm以下の範囲における吸収極大波長の吸光度であって、それぞれx軸方向、y軸方向、及びz軸方向に振動する直線偏光の吸光度を表す。
Ax(z=60°)は、前記y軸を回転軸として前記光吸収異方性層を60°回転させたときの波長380nm以上780nm以下の範囲における吸収極大波長の吸光度であって、前記x軸方向に振動する直線偏光の吸光度を表す。
ここで、前記x軸は、前記光吸収異方性層の面内の任意の一方向であり、
前記y軸は、前記光吸収異方性層の面内において前記x軸に直交する方向であり、
前記z軸は、前記x軸及び前記y軸に直交する方向である。]
続きを表示(約 1,200 文字)
【請求項2】
さらに、前記水平配向層の前記液晶偏光子側とは反対側に基材層を有し、
前記基材層と前記水平配向層とは直接接している、又は、前記基材層と前記水平配向層との間に第2保護層のみを有している、請求項1に記載の光学積層体。
【請求項3】
前記基材層と前記水平配向層とが直接接している場合の、前記基材層と前記水平配向層との間の剥離力、又は、前記第2保護層のみを有する場合の、前記基材層と前記第2保護層との間の剥離力を、F0とするとき、
剥離力F0は、0.20N/25mm以下である、請求項2に記載の光学積層体。
【請求項4】
前記水平配向層と前記液晶偏光子との間の剥離力をF1とし、
前記液晶偏光子と前記第1保護層との間の剥離力をF2とし、
前記第1保護層と前記光吸収異方性層との間の剥離力をF3とするとき、
剥離力F1~F3は、いずれも剥離力F0よりも大きく、かつ、それぞれ独立に0.3N/25mm超である、請求項3に記載の光学積層体。
【請求項5】
さらに、前記光吸収異方性層の前記第1保護層側とは反対側に、第3保護層を有し、
前記光吸収異方性層と前記第3保護層とは直接接している、請求項4に記載の光学積層体。
【請求項6】
前記光吸収異方性層と前記第3保護層との間の剥離力をF4とするとき、剥離力F4は、剥離力F0よりも大きく、かつ、0.3N/25mm超である、請求項5に記載の光学積層体。
【請求項7】
前記基材層と前記水平配向層との間に前記第2保護層のみを有し、
前記第2保護層と前記水平配向層との間の剥離力をF5とするとき、剥離力F5は、剥離力F0よりも大きく、かつ、0.3N/25mm超である、請求項3に記載の光学積層体。
【請求項8】
さらに、前記水平配向層の前記液晶偏光子側とは反対側に、第1粘接着剤層を介して積層された第1液晶位相差層を有し、
前記第1液晶位相差層は、前記第1液晶位相差層の平面に対して水平方向に配向した重合性液晶化合物の重合体を含む、請求項1~7のいずれか1項に記載の光学積層体。
【請求項9】
さらに、前記水平配向層の前記液晶偏光子側とは反対側に、第2粘接着剤層を介して積層された第2液晶位相差層を有し、
前記第2液晶位相差層は、第2液晶位相差層の平面に対して垂直方向に配向した重合性液晶化合物の重合体を含む、請求項8に記載の光学積層体。
【請求項10】
前記液晶偏光子に含まれる二色性色素は、アゾ色素であり、
前記光吸収異方性層に含まれる二色性色素は、アゾ色素である、請求項1~7のいずれか1項に記載の光学積層体。
(【請求項11】以降は省略されています)
発明の詳細な説明
【技術分野】
【0001】
本発明は、光学積層体及びその製造方法に関する。
続きを表示(約 3,900 文字)
【背景技術】
【0002】
二色性色素及び重合性液晶化合物が垂直方向に配向した光吸収異方性膜の両面に拡散防止層を積層した光吸収異方性板が知られている(例えば、特許文献1)。二色性色素及び重合性液晶化合物が水平配向した偏光膜を有する偏光板と、位相差層とを積層した円偏光板も知られている(例えば、特許文献2)。
【先行技術文献】
【特許文献】
【0003】
特許第7059409号公報
特開2020-134934号公報
【発明の概要】
【発明が解決しようとする課題】
【0004】
光吸収異方性膜、偏光膜、及び、これらの膜に貼合される他の層を薄型化すると、これらの膜又は層の取扱い性が低下するが、円偏光板のさらなる薄型化も求められている。
【0005】
本発明は、光学特性に優れ、かつ、製造工程を簡素化でき、薄型化を実現できる光学積層体及びその製造方法の提供を目的とする。
【課題を解決するための手段】
【0006】
本発明は、以下の光学積層体、及び、光学積層体の製造方法を提供する。
〔1〕 水平配向層、液晶偏光子、第1保護層、及び光吸収異方性層がこの順に積層された光学積層体であって、
前記液晶偏光子は、重合性液晶化合物の重合体及び二色性色素を含み、かつ、前記液晶偏光子の平面に対して水平方向に吸収軸を有し、
前記光吸収異方性層は、重合性液晶化合物の重合体及び二色性色素を含み、かつ、下記式(1)~(3)の関係を満たし、
前記水平配向層と前記液晶偏光子とは直接接しており、
前記液晶偏光子と前記第1保護層とは直接接しており、
前記第1保護層と前記光吸収異方性層とは直接接している、又は、前記第1保護層と前記光吸収異方性層との間に垂直配向層のみを有している、光学積層体。
Az>(Ax+Ay)/2 (1)
0.001≦Ax≦0.1 (2)
Ax(z=60°)/Ax≧5 (3)
[式(1)~(3)中、
Ax、Ay、及びAzは、前記光吸収異方性層の波長380nm以上780nm以下の範囲における吸収極大波長の吸光度であって、それぞれx軸方向、y軸方向、及びz軸方向に振動する直線偏光の吸光度を表す。
Ax(z=60°)は、前記y軸を回転軸として前記光吸収異方性層を60°回転させたときの波長380nm以上780nm以下の範囲における吸収極大波長の吸光度であって、前記x軸方向に振動する直線偏光の吸光度を表す。
ここで、前記x軸は、前記光吸収異方性層の面内の任意の一方向であり、
前記y軸は、前記光吸収異方性層の面内において前記x軸に直交する方向であり、
前記z軸は、前記x軸及び前記y軸に直交する方向である。]
〔2〕 さらに、前記水平配向層の前記液晶偏光子側とは反対側に基材層を有し、
前記基材層と前記水平配向層とは直接接している、又は、前記基材層と前記水平配向層との間に第2保護層のみを有している、〔1〕に記載の光学積層体。
〔3〕 前記基材層と前記水平配向層とが直接接している場合の、前記基材層と前記水平配向層との間の剥離力、又は、前記第2保護層のみを有する場合の、前記基材層と前記第2保護層との間の剥離力を、F0とするとき、
剥離力F0は、0.20N/25mm以下である、〔2〕に記載の光学積層体。
〔4〕 前記水平配向層と前記液晶偏光子との間の剥離力をF1とし、
前記液晶偏光子と前記第1保護層との間の剥離力をF2とし、
前記第1保護層と前記光吸収異方性層との間の剥離力をF3とするとき、
剥離力F1~F3は、いずれも剥離力F0よりも大きく、かつ、それぞれ独立に0.3N/25mm超である、〔3〕に記載の光学積層体。
〔5〕 さらに、前記光吸収異方性層の前記第1保護層側とは反対側に、第3保護層を有し、
前記光吸収異方性層と前記第3保護層とは直接接している、〔3〕又は〔4〕に記載の光学積層体。
〔6〕 前記光吸収異方性層と前記第3保護層との間の剥離力をF4とするとき、剥離力F4は、剥離力F0よりも大きく、かつ、0.3N/25mm超である、〔5〕に記載の光学積層体。
〔7〕 さらに、前記水平配向層の前記液晶偏光子側とは反対側に基材層を有し、
前記基材層と前記水平配向層との間に前記第2保護層のみを有し、
前記第2保護層と前記水平配向層との間の剥離力をF5とするとき、剥離力F5は、剥離力F0よりも大きく、かつ、0.3N/25mm超である、〔3〕~〔6〕のいずれかに記載の光学積層体。
〔8〕 さらに、前記水平配向層の前記液晶偏光子側とは反対側に、第1粘接着剤層を介して積層された第1液晶位相差層を有し、
前記第1液晶位相差層は、前記第1液晶位相差層の平面に対して水平方向に配向した重合性液晶化合物の重合体を含む、〔1〕~〔7〕のいずれか1項に記載の光学積層体。
〔9〕 さらに、前記水平配向層の前記液晶偏光子側とは反対側に、第2粘接着剤層を介して積層された第2液晶位相差層を有し、
前記第2液晶位相差層は、第2液晶位相差層の平面に対して垂直方向に配向した重合性液晶化合物の重合体を含む、〔8〕に記載の光学積層体。
〔10〕 前記液晶偏光子に含まれる二色性色素は、アゾ色素であり、
前記光吸収異方性層に含まれる二色性色素は、アゾ色素である、〔1〕~〔9〕のいずれかに記載の光学積層体。
〔11〕 水平配向層、液晶偏光子、第1保護層、及び光吸収異方性層がこの順に積層された光学積層体の製造方法であって、
前記液晶偏光子は、重合性液晶化合物の重合体及び二色性色素を含み、かつ、前記液晶偏光子の平面に対して水平方向に吸収軸を有し、
前記光吸収異方性層は、重合性液晶化合物の重合体及び二色性色素を含み、かつ、下記式(1)~(3)の関係を満たし、
基材層、前記水平配向層、及び前記液晶偏光子がこの順に積層され、かつ、前記水平配向層と前記液晶偏光子とが直接接している基材層付き液晶偏光子を準備する工程と、
前記基材層付き液晶偏光子の前記液晶偏光子上に、前記第1保護層を形成するための第1保護層形成用組成物を直接塗布し、前記第1保護層を形成する工程と、
前記第1保護層を形成する工程で形成した前記第1保護層上に、直接又は垂直配向層を介して、前記光吸収異方性層を形成する工程と、を含み、
前記光吸収異方性層を形成する工程は、下記[a1]又は[a2]:
[a1]前記第1保護層上に、前記光吸収異方性層を形成するための組成物であって重合性液晶化合物及び二色性色素を含む光吸収異方性層形成用組成物を直接塗布する工程、
[a2]前記第1保護層上に、前記垂直配向層を形成するための垂直配向層形成用組成物を直接塗布する工程、及び、前記垂直配向層上に、前記光吸収異方性層形成用組成物を直接塗布する工程、
を含む、光学積層体の製造方法。
Az>(Ax+Ay)/2 (1)
0.001≦Ax≦0.1 (2)
Ax(z=60°)/Ax≧5 (3)
[式(1)~(3)中、
【発明の効果】
【0007】
本発明によれば、光学特性に優れる光学積層体を得ることができるとともに、光学積層体の製造工程を簡素化でき、光学積層体を薄型化することができる。
【図面の簡単な説明】
【0008】
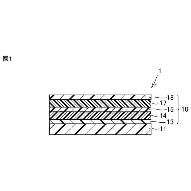
本発明の一実施形態に係る光学積層体を模式的に示す断面図である。
本発明の他の一実施形態に係る光学積層体を模式的に示す断面図である。
本発明のさらに他の一実施形態に係る光学積層体を模式的に示す断面図である。
本発明のさらに他の一実施形態に係る光学積層体を模式的に示す断面図である。
本発明の一実施形態に係る光学積層体の製造工程を模式的に示す断面図である。
本発明の他の一実施形態に係る光学積層体の製造工程を模式的に示す断面図である。
【発明を実施するための形態】
【0009】
以下、図面を参照して、光学積層体及びその製造方法の好ましい実施形態について説明する。本明細書において、「x~y」等の数値範囲は、特に断りのない限り上限値及び下限値をみ、「x以上y以下」の数値範囲を表す。
【0010】
(光学積層体)
図1~図4は、本発明の一実施形態に係る光学積層体を模式的に示す断面図である。光学積層体1~4は、水平配向層13、液晶偏光子14、第1保護層15、及び光吸収異方性層17がこの順に積層されている。液晶偏光子14は、重合性液晶化合物の重合体及び二色性色素を含み、かつ、液晶偏光子14の平面に対して水平方向に吸収軸を有する。光吸収異方性層17は、重合性液晶化合物の重合体及び二色性色素を含み、かつ、後述する式(1)~(3)の関係を満たす。
(【0011】以降は省略されています)
この特許をJ-PlatPat(特許庁公式サイト)で参照する
関連特許
住友化学株式会社
着色剤
21日前
住友化学株式会社
偏光板
1か月前
住友化学株式会社
偏光板
1か月前
住友化学株式会社
化合物
21日前
住友化学株式会社
樹脂組成物
7日前
住友化学株式会社
芳香族ポリスルホン
21日前
住友化学株式会社
体液に由来する試料
11日前
住友化学株式会社
成形原料及びフィルム
1か月前
住友化学株式会社
膜エレメントの製造方法
1日前
住友化学株式会社
偏光板及び画像表示装置
2日前
住友化学株式会社
装置、方法及びプログラム
1日前
住友化学株式会社
粘着剤組成物および粘着剤層
1日前
住友化学株式会社
複合偏光板及び画像表示装置
9日前
住友化学株式会社
積層体の製造方法及び積層体
1か月前
住友化学株式会社
光学積層体及びその製造方法
23日前
住友化学株式会社
粘着剤付き偏光板及び表示装置
1か月前
住友化学株式会社
リサイクル正極活物質の製造方法
1日前
住友化学株式会社
着色剤及び着色硬化性樹脂組成物
8日前
住友化学株式会社
リサイクル正極活物質の製造方法
1日前
住友化学株式会社
偏光板およびこれを含む円偏光板
2日前
住友化学株式会社
リサイクル正極活物質の製造方法
1日前
住友化学株式会社
リサイクル正極活物質の製造方法
1日前
住友化学株式会社
リサイクル正極活物質の製造方法
1日前
住友化学株式会社
リサイクル正極活物質の製造方法
1日前
住友化学株式会社
リサイクル正極活物質の製造方法
1日前
住友化学株式会社
リサイクル正極活物質の製造方法
1日前
住友化学株式会社
リサイクル正極活物質の製造方法
1日前
住友化学株式会社
リサイクル正極活物質の製造方法
1日前
住友化学株式会社
リサイクル正極活物質の製造方法
1日前
住友化学株式会社
リサイクル正極活物質の製造方法
1日前
住友化学株式会社
リサイクル正極活物質の製造方法
1日前
住友化学株式会社
接着剤組成物及び偏光板の製造方法
1か月前
住友化学株式会社
非水電解液二次電池用積層セパレータ
11日前
住友化学株式会社
芳香族ポリスルホン及び耐熱フィルム
21日前
住友化学株式会社
液晶ポリエステル組成物及びフィルム
3日前
住友化学株式会社
高分子化合物、組成物、及び発光素子
1か月前
続きを見る
他の特許を見る