TOP
|
特許
|
意匠
|
商標
特許ウォッチ
Twitter
他の特許を見る
公開番号
2025123183
公報種別
公開特許公報(A)
公開日
2025-08-22
出願番号
2025010771
出願日
2025-01-24
発明の名称
積層体の製造方法及び積層体
出願人
住友化学株式会社
代理人
弁理士法人浅村特許事務所
主分類
B05D
3/02 20060101AFI20250815BHJP(霧化または噴霧一般;液体または他の流動性材料の表面への適用一般)
要約
【課題】本発明は、耐湿性に優れたシリカなどの無機微粒子を用い、あるいは、当該無機微粒子を用いず、簡便に大面積の塗工が可能なウェットコーティングにより高い耐摩耗性・耐アルカリ性と高い紫外透過率を両立する積層体の製造方法、積層体、及び積層体の製造に使用するコート液を提供する。
【解決手段】無機微粒子と、沸点が121℃を超え190℃未満である液体分散媒Aを含む無機微粒子分散液であって、無機微粒子分散液の全量を100質量%として、液体分散媒Aの重量比率が0.5質量%以上15質量%未満である無機微粒子分散液を基材に塗布する工程;及び、200℃以上1000℃以下の温度で10分より長い熱処理工程を含む、基材とその主表面の少なくとも片方に施された塗膜を有する積層体の製造方法。
【選択図】なし
特許請求の範囲
【請求項1】
無機微粒子と、沸点が121℃を超え190℃未満である液体分散媒Aを含む無機微粒子分散液であって、無機微粒子分散液の全量を100質量%として、液体分散媒Aの重量比率が0.5質量%以上15質量%未満である無機微粒子分散液を基材に塗布する工程;及び、200℃以上1000℃以下の温度で10分より長い熱処理工程を含む、基材とその主表面の少なくとも片方に施された塗膜を有する積層体の製造方法。
続きを表示(約 780 文字)
【請求項2】
基材が石英ガラスである、請求項1に記載の積層体の製造方法。
【請求項3】
塗膜の厚みが20nm以上200nm以下である請求項1又は2に記載の積層体の製造方法。
【請求項4】
無機微粒子が、シリカ粒子を含む無機微粒子である、請求項1又は2に記載の積層体の製造方法。
【請求項5】
無機微粒子分散液が、沸点が100℃未満である液体分散媒Bを含むことを特徴とする、請求項1又は2に記載の積層体の製造方法。
【請求項6】
無機微粒子分散液が水を含むことを特徴とする、請求項1又は2に記載の積層体の製造方法。
【請求項7】
無機微粒子分散液がアルコキシシランを含むことを特徴とする、請求項6に記載の積層体の製造方法。
【請求項8】
アルコキシシランが、下記一般式(1)で表されるアルコキシシランの縮合物を含んでいる、請求項7に記載の積層体の製造方法。
一般式(1)
JPEG
2025123183000015.jpg
33
38
(式中、各Rはそれぞれ独立に、炭素数1~6のアルキル基を表す。nは2~1000の整数である。)
【請求項9】
無機微粒子分散液において、無機微粒子の重量に対するアルコキシシラン中に含まれるSiO
2
の重量の比([アルコキシシラン中に含まれるSiO
2
の重量]/[無機微粒子の重量])が0.005を超える、請求項7に記載の積層体の製造方法。
【請求項10】
無機微粒子の一次粒子径が1nm以上50nm未満であることを特徴とする請求項1又は2に記載の積層体の製造方法。
(【請求項11】以降は省略されています)
発明の詳細な説明
【技術分野】
【0001】
本発明は、積層体の製造方法、積層体、及びコート液に関する。
続きを表示(約 4,600 文字)
【背景技術】
【0002】
従来から、フッ化物を含む反射防止層をスパッタ法あるいは蒸着法によって基板上に形成することで作製されるUVデバイス用積層体は検討されてきた。例えば特許文献1には、反射防止層として、フッ化物がドープされた酸化物又は窒化物から成る第1の薄膜と、前記第1の薄膜上に形成され、フッ化物材料から成る第2の薄膜とを有することを特徴とする光学素子が記載されている。
【先行技術文献】
【特許文献】
【0003】
特開2005-345826号公報
【発明の概要】
【発明が解決しようとする課題】
【0004】
無機フッ化物を含む反射防止層は耐湿性に優れない。また、スパッタ法及び蒸着法は、ウェットコーティング等の塗膜の形成方法と比較して、簡便に大面積の塗工を行うことが難しい。
【0005】
本発明は、耐湿性に優れたシリカなどの無機微粒子を用い、あるいは、当該無機微粒子を用いず、簡便に大面積の塗工が可能なウェットコーティングにより高い耐摩耗性・耐アルカリ性と高い紫外透過率を両立する積層体の製造方法、積層体、及び積層体の製造に使用するコート液を提供することを目的とする。
【課題を解決するための手段】
【0006】
本発明者は、このような背景に鑑みて鋭意検討をしたところ、本発明を完成するに至った。
すなわち本発明(積層体の製造方法)とその好ましい態様又は実施形態は、以下に関するが、それに限定されない。
[1]
無機微粒子と、沸点が121℃を超え190℃未満である液体分散媒Aを含む無機微粒子分散液であって、無機微粒子分散液の全量を100質量%として、液体分散媒Aの重量比率が0.5質量%以上15質量%未満である無機微粒子分散液を基材に塗布する工程;及び、200℃以上1000℃以下の温度で10分より長い熱処理工程を含む、基材とその主表面の少なくとも片方に施された塗膜を有する積層体の製造方法。
[2]
基材が石英ガラスである、[1]に記載の積層体の製造方法。
[3]
塗膜の厚みが20nm以上200nm以下である[1]又は[2]に記載の積層体の製造方法。
[4]
無機微粒子が、シリカ粒子を含む無機微粒子である、[1]~[3]のいずれかに記載の積層体の製造方法。
[5]
無機微粒子分散液が、沸点が100℃未満である液体分散媒Bを含むことを特徴とする、[1]~[4]のいずれかに記載の積層体の製造方法。
[6]
無機微粒子分散液が水を含むことを特徴とする、[1]~[5]のいずれかに記載の積層体の製造方法。
[7]
無機微粒子分散液がアルコキシシランを含むことを特徴とする、[1]~[6]のいずれかに記載の積層体の製造方法。
[8]
アルコキシシランが、下記一般式(1)で表されるアルコキシシランの縮合物を含んでいる、[7]に記載の積層体の製造方法。
一般式(1)
JPEG
2025123183000001.jpg
33
38
(式中、各Rはそれぞれ独立に、炭素数1~6のアルキル基を表す。nは2~1000の整数である。)
[9]
無機微粒子分散液において、無機微粒子の重量に対するアルコキシシラン中に含まれるSiO
2
の重量の比([アルコキシシラン中に含まれるSiO
2
の重量]/[無機微粒子の重量])が0.005を超える、[7]又は[8]に記載の積層体の製造方法。
[10]
無機微粒子の一次粒子径が1nm以上50nm未満であることを特徴とする[1]~[9]のいずれかに記載の積層体の製造方法。
【0007】
また、本発明(積層体)とその好ましい態様又は実施形態は、以下[11]~[12]に関するが、それに限定されない。
[11]
無機微粒子と、沸点が121℃を超え190℃未満である液体分散媒Aを含む無機微粒子分散液であって、無機微粒子分散液の全量を100質量%として、液体分散媒Aの重量比率が0.5質量%以上15質量%未満である無機微粒子分散液を基材に塗布する工程;及び、200℃以上1000℃以下の温度で10分より長い熱処理工程を含む、基材とその主表面の少なくとも片方に施された塗膜を有する積層体の製造方法により得られうる、積層体。
[12]
基材とその主表面の少なくとも片方に施された塗膜を有する積層体において、該塗膜は20nm以上75nm未満の厚さを有し、
185nm以上300nm以下の波長領域における平均透過率が、
該塗膜を有しない基材の平均透過率に対して0.5ポイント以上高いことを特徴とする積層体。
【0008】
本発明者は、更に、下記の本発明を完成するに至った。
すなわち本発明(積層体)とその好ましい態様又は実施形態は、以下[13]~[25]に関するが、それに限定されない。
[13]
基材とその主表面の少なくとも片方に施された塗膜を有する積層体であって、
該塗膜は、多孔質構造を有し、厚さ20nm以上100nm未満の塗膜であり、
該積層体は、波長150nm以上300nm未満のいずれかの波長における透過率が80.0%以上であることを特徴とする積層体。
[14]
該積層体の波長185nmにおける透過率が91.0%以上であることを特徴とする[13]に記載の積層体。
[15]
塗膜は、その表面におけるナトリウム、カリウム、マグネシウム、カルシウム、アルミニウム及びケイ素の原子数の総和に対する炭素の原子数の比が1.00以下である、[13]~[14]のいずれかに記載の積層体。
[16]
塗膜は、無機微粒子を含む[13]~[15]のいずれかに記載の積層体。
[17]
無機微粒子は、シリカを含む無機微粒子である、[16]に記載の積層体。
[18]
無機微粒子は、その一次粒子径が1nm以上50nm未満である、[16]又は[17]に記載の積層体。
[19]
アルコキシシラン、水、酸触媒、及び造孔剤を含むコート液を基材に塗布する工程;及び、200℃以上1000℃以下の温度で10分より長い熱処理工程を含む、製造方法により得られうる、[13]~[18]のいずれかに記載の積層体。
[20]
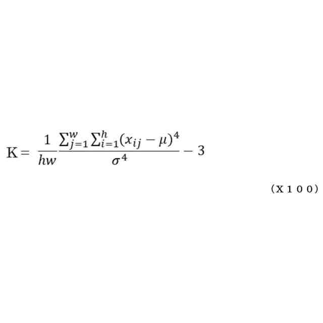
塗膜は、その走査型電子顕微鏡の断面画像での、輝度の分布における尖度が0.320以下である、[11]~[19]のいずれかに記載の積層体。
[21]
塗膜の算術平均粗さが0.1nm以上10.0nm以下である[11]~[20]のいずれかに記載の積層体。
[22]
基材が、石英ガラスあるいはサファイアガラスである[11]~[21]のいずれかに記載の積層体。
[23]
基材の厚みが、0.1mm以上100mm以下である[11]~[22]のいずれかに記載の積層体。
[24]
コート剤を基材に塗布する工程;及び、200℃以上1000℃以下の温度で10分より長い熱処理工程を含む、製造方法により得られうる、[12]~[23]のいずれかに記載の積層体。
[25]
コート剤を基材に塗布する工程;及び、200℃以上1000℃以下の温度で10分より長い熱処理工程を含む、基材とその主表面の少なくとも片方に施された塗膜を有する積層体の製造方法により得られうる、積層体。
【0009】
また、本発明(コート液)とその好ましい態様又は実施形態は、以下[26]~[31]に関するが、それに限定されない。
[26]
アルコキシシラン、水、酸触媒及び造孔剤と、沸点が121℃を超え190℃未満である液体分散媒Aとを含むコート液であって、該コート液の全量を100質量%として、液体分散媒Aの重量比率が0.5質量%以上15質量%未満であるコート液。
[27]
アルコキシシランとして、下記のアルコキシシランC01及びアルコキシシランC02を含有し、アルコキシシラン中に含まれるSiO
2
の重量の合計に対するアルコキシシランC02中に含まれるSiO
2
の重量の比([アルコキシシランC02中に含まれるSiO
2
の重量]/[アルコキシシラン中に含まれるSiO
2
の重量の合計])が0.00以上0.50以下である、[26]に記載のコート液。
アルコキシシランC01:
テトラアルコキシシラン及び下記一般式(01)で表されるアルコキシシランの縮合物から選択される少なくとも1種のアルコキシシラン。
一般式(01)
TIFF
2025123183000002.tif
25
29
(式中、各Rはそれぞれ独立に、炭素数1~6のアルキル基を表す。nは2~1000の整数である。)
アルコキシシランC02:
下記一般式(02)で表されるアルコキシシラン及びその縮合物から選択される少なくとも1種のアルコキシシラン。
Si(R
a
)
q
(R
b
)
4-q
(02)
式(02)中、R
a
は、水素原子又は非加水分解性の有機基を表し、R
b
は、加水分解性基を表す。qは1~2の整数を表す。
[28]
コート液が、沸点が100℃未満である液体分散媒Bを含むことを特徴とする、[26]又は[27]に記載のコート液。
[29]
造孔剤が有機アンモニウム塩である[26]~[28]のいずれかに記載のコート液。
[30]
酸触媒が、ギ酸、酢酸、プロピオン酸、ブタン酸、シュウ酸、マレイン酸、フタル酸、フマル酸、塩酸、硝酸、硫酸、及びリン酸からなる群から選択される少なくとも1種を含む[26]~[29]のいずれかに記載のコート液。
[31]
アルコキシシラン中に含まれるSiO
2
の重量の合計に対する造孔剤の重量の比([造孔剤の重量]/[アルコキシシラン中に含まれるSiO
2
の重量の合計])が0.10以上である、[26]~[30]のいずれかに記載のコート液。
【発明の効果】
【0010】
本発明によれば、高い耐摩耗性・耐アルカリ性と高い紫外透過率を両立する積層体の製造方法、積層体、及び積層体の製造に使用するコート液を提供できる。
【発明を実施するための形態】
(【0011】以降は省略されています)
この特許をJ-PlatPat(特許庁公式サイト)で参照する
関連特許
住友化学株式会社
偏光板
今日
住友化学株式会社
着色剤
25日前
住友化学株式会社
偏光板
今日
住友化学株式会社
積層体
4日前
住友化学株式会社
化合物
25日前
住友化学株式会社
発光素子
今日
住友化学株式会社
発光素子
今日
住友化学株式会社
発光素子
今日
住友化学株式会社
光学積層体
今日
住友化学株式会社
フィルター
今日
住友化学株式会社
フィルター
今日
住友化学株式会社
フィルター
今日
住友化学株式会社
偏光積層体
今日
住友化学株式会社
樹脂組成物
11日前
住友化学株式会社
金属有機構造体
今日
住友化学株式会社
体液に由来する試料
15日前
住友化学株式会社
芳香族ポリスルホン
25日前
住友化学株式会社
積層体および表示装置
4日前
住友化学株式会社
成形原料及びフィルム
1か月前
住友化学株式会社
偏光板及び画像表示装置
6日前
住友化学株式会社
膜エレメントの製造方法
5日前
住友化学株式会社
装置、方法及びプログラム
5日前
住友化学株式会社
光学積層体及び偏光積層体
今日
住友化学株式会社
複合偏光板及び画像表示装置
13日前
住友化学株式会社
粘着剤組成物および粘着剤層
5日前
住友化学株式会社
光学積層体及びその製造方法
27日前
住友化学株式会社
粘着剤付き偏光板及び表示装置
1か月前
住友化学株式会社
着色剤及び着色硬化性樹脂組成物
12日前
住友化学株式会社
リサイクル正極活物質の製造方法
5日前
住友化学株式会社
リサイクル正極活物質の製造方法
5日前
住友化学株式会社
リサイクル正極活物質の製造方法
5日前
住友化学株式会社
リサイクル正極活物質の製造方法
5日前
住友化学株式会社
リサイクル正極活物質の製造方法
5日前
住友化学株式会社
リサイクル正極活物質の製造方法
5日前
住友化学株式会社
リサイクル正極活物質の製造方法
5日前
住友化学株式会社
リサイクル正極活物質の製造方法
5日前
続きを見る
他の特許を見る