TOP
|
特許
|
意匠
|
商標
特許ウォッチ
Twitter
他の特許を見る
10個以上の画像は省略されています。
公開番号
2025136135
公報種別
公開特許公報(A)
公開日
2025-09-19
出願番号
2024034354
出願日
2024-03-06
発明の名称
重合性不飽和基を有する樹脂の製造方法、重合性不飽和基を有する樹脂、硬化性樹脂組成物、硬化物
出願人
DIC株式会社
代理人
個人
,
個人
,
個人
主分類
C08L
101/02 20060101AFI20250911BHJP(有機高分子化合物;その製造または化学的加工;それに基づく組成物)
要約
【課題】最終的に得られる重合性不飽和基を有する樹脂の硬化物の耐熱性及び密着性をより優れたものとすることができる重合性不飽和基を有する樹脂の製造方法、前記樹脂及び硬化性樹脂組成物を提供する。
【解決手段】バイオマス炭素含有率(%)(pMC%)が50%以上であり、かつアミド結合を有する式(1)で表される溶剤を含み、重合性不飽和基を有する樹脂の製造方法であって、前記溶剤の存在下で、エポキシ樹脂(A)と、不飽和一塩基酸(B)とを混合する、前記重合性不飽和基を有する、樹脂の製造方法。
<com:Image com:imageContentCategory="Drawing"> <com:ImageFormatCategory>JPEG</com:ImageFormatCategory> <com:FileName>2025136135000020.jpg</com:FileName> <com:HeightMeasure com:measureUnitCode="Mm">30</com:HeightMeasure> <com:WidthMeasure com:measureUnitCode="Mm">170</com:WidthMeasure> </com:Image>
(上記一般式(1)中、R
1
及びR
2
はそれぞれ独立して、水素原子又は炭素原子数1~5のアルキル基を表し、R
3
は、炭素原子数4~10の一価の有機基を表す。)
【選択図】なし
特許請求の範囲
【請求項1】
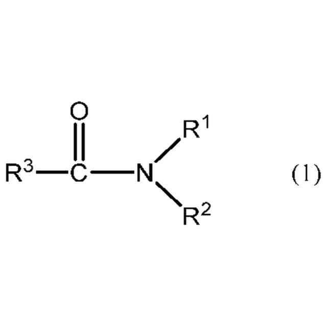
バイオマス炭素含有率(%)(pMC%)が50%以上であり、かつアミド結合を有する下記一般式(1)で表される溶剤を含み、重合性不飽和基を有する樹脂の製造方法。
JPEG
2025136135000018.jpg
33
170
(上記一般式(1)中、R
1
及びR
2
はそれぞれ独立して、水素原子又は炭素原子数1~5のアルキル基を表し、R
3
は、炭素原子数4~10の一価の有機基を表す。)
続きを表示(約 1,100 文字)
【請求項2】
前記溶剤の存在下で、エポキシ樹脂(A)と、不飽和一塩基酸(B)とを混合する、請求項1に記載の重合性不飽和基を有する樹脂の製造方法。
【請求項3】
前記エポキシ樹脂(A)と前記不飽和一塩基酸(B)との混合割合が、前記エポキシ樹脂(A)のエポキシ基1モルに対して、前記不飽和一塩基酸(B)の量が0.20~1.05モルとなる範囲内である、請求項2に記載の重合性不飽和基を有する樹脂の製造方法。
【請求項4】
前記溶剤の存在下で、酸基及び/又は酸無水物基を有するアミドイミド樹脂(C)とヒドロキシ(メタ)アクリレート化合物(D)とを混合する、請求項1に記載の重合性不飽和基を有する樹脂の製造方法。
【請求項5】
前記溶剤の存在下で、エポキシ基を有する(メタ)アクリレート化合物(E)をさらに混合する、請求項4に記載の重合性不飽和基を有する樹脂の製造方法。
【請求項6】
前記酸基及び/又は酸無水物基を有するアミドイミド樹脂(C)が、ポリイソシアネート化合物(c1)と、ポリカルボン酸(c2)又はポリカルボン酸無水物(c3)とを反応原料とする、請求項4又は5に記載の重合性不飽和基を有する樹脂の製造方法。
【請求項7】
前記ポリイソシアネート化合物(c1)が、脂肪族ジイソシアネート化合物、脂環式ジイソシアネート化合物又はこれらの変性体を含む、請求項6に記載の重合性不飽和基を有する樹脂の製造方法。
【請求項8】
前記ポリカルボン酸(c2)又はポリカルボン酸無水物(c3)が、トリカルボン酸又はトリカルボン酸無水物を含む、請求項6に記載の重合性不飽和基を有する樹脂の製造方法。
【請求項9】
アミド結合を有する下記一般式(1)で表される溶剤を必須の合成原料とし、重合性不飽和基を有する樹脂全体におけるバイオマス炭素含有率(%)(pMC%)が15%以上である、重合性不飽和基を有する樹脂。
JPEG
2025136135000019.jpg
32
170
(上記一般式(1)中、R
1
及びR
2
はそれぞれ独立して、水素原子又は炭素原子数1~5のアルキル基を表し、R
3
は、炭素原子数4~10の一価の有機基を表す。)
【請求項10】
前記溶剤と、エポキシ樹脂(A)、不飽和一塩基酸(B)を含む、請求項9に記載の重合性不飽和基を有する樹脂。
(【請求項11】以降は省略されています)
発明の詳細な説明
【技術分野】
【0001】
本発明は、重合性不飽和基を有する樹脂の製造方法、重合性不飽和基を有する樹脂、硬化性樹脂組成物、硬化物に関する。
続きを表示(約 1,600 文字)
【背景技術】
【0002】
プリント配線板上に電子部品を実装してはんだ付けする際に、実装部以外の部分にはんだが付着するのを防止したり、配線の酸化又は腐食を半永久的に防止する被膜を形成したりするための絶縁材料として、ソルダーレジストが広く用いられている。このようなソルダーレジストのパターンを形成する技術としては、微細なパターンを正確に形成することができるフォトレジスト法が挙げられ、その中でも特に、環境面の配慮等から、アルカリ現像型の液状フォトレジスト法が主流となっている。
【0003】
例えば、特許文献1は、アルカリ現像型のフォトレジスト法に用いられる材料として、活性エステル系硬化剤及びカルボキシル基含有ラジカル重合性化合物を含有する感光性樹脂組成物を開示している。
【先行技術文献】
【特許文献】
【0004】
特開2013-214057号公報
【発明の概要】
【発明が解決しようとする課題】
【0005】
ところで、近年、ソルダーレジストについて、インクジェット方式により形成する手法が新たに提案されている。かかる手法は、上記アルカリ現像型で行われるような現像が不要であるため、工程数、時間、消耗品を削減することが可能である。しかしながら、インクジェット方式で用いるインクは、粘度が低下した場合に、ソルダーレジスト膜として要求される耐熱性や耐薬品性などの物性を大きく悪化させる傾向にある。また、クラックや剥離等の不具合を防止するなどの観点から、配線又は基板に対する優れた密着性の観点で改善の余地があった。
【0006】
そこで、本発明は、高い耐熱性及び密着性を示す樹脂及び硬化性樹脂組成物を提供することを課題とする。
また、本発明は、耐熱性及び密着性に優れた、硬化物を提供することを更なる課題とする。
【課題を解決するための手段】
【0007】
本発明者らは、上記課題を解決すべく鋭意検討を重ねた結果、樹脂及びその硬化物の製造段階における溶剤に着目した。そして、所定の構造を有する溶剤を使用する場合、得られる樹脂の硬化物の耐熱性及び密着性を改善できることを知見した。さらに、この所定の構造の溶剤は天然由来であるため、樹脂製造の際の環境負荷を低減できることを知見した。かかる知見の下、所定構造の溶剤を利用することにより、上記課題を解決できることを見出し、本発明を完成させるに至った。すなわち、上記課題を解決する本発明の要旨構成は、以下の通りである。
【0008】
[1] バイオマス炭素含有率(%)(pMC%)が50%以上であり、かつアミド結合を有する下記一般式(1)で表される溶剤を含み、重合性不飽和基を有する樹脂の製造方法。
JPEG
2025136135000001.jpg
33
170
(上記一般式(1)中、R
1
及びR
2
はそれぞれ独立して、水素原子又は炭素原子数1~5のアルキル基を表し、R
3
は、炭素原子数4~10の一価の有機基を表す。)
【0009】
[2] 前記溶剤の存在下で、エポキシ樹脂(A)と、不飽和一塩基酸(B)とを混合する、[1]に記載の重合性不飽和基を有する樹脂の製造方法。
【0010】
[3] 前記エポキシ樹脂(A)と前記不飽和一塩基酸(B)との混合割合が、前記エポキシ樹脂(A)のエポキシ基1モルに対して、前記不飽和一塩基酸(B)の量が0.20~1.05モルとなる範囲内である、[2]に記載の重合性不飽和基を有する樹脂の製造方法。
(【0011】以降は省略されています)
この特許をJ-PlatPat(特許庁公式サイト)で参照する
関連特許
DIC株式会社
アンカー剤、印刷物、包材
4日前
DIC株式会社
負極活物質及びその製造方法、並びに二次電池
今日
DIC株式会社
樹脂物性値を予測する方法、情報処理装置、及びプログラム
6日前
DIC株式会社
キナクリドン化合物
今日
DIC株式会社
フェニルホスホン酸亜鉛錯体、樹脂組成物、及び湿気硬化性ホットメルトウレタン樹脂接着剤
5日前
株式会社カネカ
硬化性組成物
2か月前
ユニチカ株式会社
透明シート
1か月前
ユニチカ株式会社
透明シート
8日前
株式会社コバヤシ
成形体
5日前
東レ株式会社
熱硬化性樹脂組成物
1か月前
住友精化株式会社
吸水剤の製造方法
18日前
東レ株式会社
引抜成形品の製造方法
1か月前
東レ株式会社
ポリエステルフィルム
12日前
丸住製紙株式会社
変性パルプ
8日前
東ソー株式会社
樹脂組成物および蓋材
26日前
東レ株式会社
ポリオレフィン微多孔膜
2か月前
東ソー株式会社
樹脂組成物および蓋材
26日前
東レ株式会社
ポリプロピレンフィルム
4日前
花王株式会社
樹脂組成物
2か月前
横浜ゴム株式会社
重荷重タイヤ
4日前
株式会社スリーボンド
硬化性樹脂組成物
4日前
日本特殊陶業株式会社
樹脂成形体
18日前
株式会社コバヤシ
光硬化性組成物
2か月前
アイカ工業株式会社
光硬化性樹脂組成物
4日前
UBE株式会社
衝撃吸収材
8日前
住友化学株式会社
樹脂組成物
4日前
株式会社カネカ
硬化性組成物
1か月前
株式会社カネカ
硬化性組成物
18日前
株式会社大阪ソーダ
熱可塑性材料用組成物
2か月前
三洋化成工業株式会社
熱成形用樹脂組成物
今日
東レ株式会社
ポリエステル組成物の製造方法
11日前
ハイモ株式会社
油中水型エマルジョン重合体
4日前
株式会社村田製作所
樹脂組成物
2か月前
東ソー株式会社
温度応答性ビーズの製造方法
20日前
伯東株式会社
ビニル化合物中の重合防止方法
1か月前
ユニチカ株式会社
ポリアミド系樹脂フィルム
4日前
続きを見る
他の特許を見る