TOP
|
特許
|
意匠
|
商標
特許ウォッチ
Twitter
他の特許を見る
10個以上の画像は省略されています。
公開番号
2025150696
公報種別
公開特許公報(A)
公開日
2025-10-09
出願番号
2024051721
出願日
2024-03-27
発明の名称
樹脂組成物、硬化物、積層体、硬化物の製造方法、積層体の製造方法、半導体デバイスの製造方法、及び、半導体デバイス
出願人
富士フイルム株式会社
代理人
弁理士法人特許事務所サイクス
主分類
C08L
79/08 20060101AFI20251002BHJP(有機高分子化合物;その製造または化学的加工;それに基づく組成物)
要約
【課題】2μm微細銅配線上でのbHAST試験後の酸化銅被膜形成を抑制できる硬化物が得られる樹脂組成物等を提供する。
【解決手段】樹脂Aと重合開始剤Bと8-アザアデニンとを含む樹脂組成物であって、樹脂Aがアミック酸エステル構造及びアミック酸構造を含み、上記アミック酸構造及び上記アミック酸エステル構造の合計モル量に対するアミック酸エステル構造のモル量の割合が90.00~99.90%である、樹脂組成物、上記樹脂組成物を硬化してなる硬化物、上記硬化物を含む積層体、上記硬化物の製造方法、上記積層体の製造方法、上記硬化物の製造方法を含む半導体デバイスの製造方法、及び、上記硬化物を含む半導体デバイス。
【選択図】なし
特許請求の範囲
【請求項1】
樹脂Aと、重合開始剤Bと、8-アザアデニンとを含む樹脂組成物であって、
樹脂Aがアミック酸エステル構造及びアミック酸構造を含み、前記アミック酸構造及び前記アミック酸エステル構造の合計モル量に対するアミック酸エステル構造のモル量の割合が90.00~99.90%である、樹脂組成物。
続きを表示(約 1,400 文字)
【請求項2】
樹脂Aが式(1-dp-2d1)で表される構造を含む、請求項1に記載の樹脂組成物;
JPEG
2025150696000092.jpg
26
121
式中、*は他の構造との結合部位を示す
【請求項3】
樹脂Aが式(1-dp-V1-1)で表される構造及び式(Y-V1-1)で表される構造から選択される少なくとも1つを含む、請求項2に記載の樹脂組成物;
JPEG
2025150696000093.jpg
44
126
式中、*は他の構造との結合部位を示す
【請求項4】
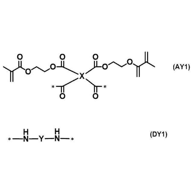
樹脂Aが式(AY1)で表される構造および式(DY1))で表される構造からなる群より選択される少なくとも1つの構造を含む、請求項1~3のいずれか1項に記載の樹脂組成物;
JPEG
2025150696000094.jpg
51
104
式中、
*は他の構造との結合部位を示し、
Xは式(2a)で表される基であり、式(2a)中、*1~*4はそれぞれカルボニル基との結合部位を表し、
JPEG
2025150696000095.jpg
18
26
Yは以下から選択されるいずれかの基である。
JPEG
2025150696000096.jpg
26
128
【請求項5】
前記樹脂組成物が下記式(1)の構造を含み、
JPEG
2025150696000097.jpg
30
44
式(1)中、R
1
及びR
2
はそれぞれ独立に、炭素数3~6の飽和脂肪族炭化水素基、または、炭素数1~10のアルキル基で置換されてもよいフェニル基を表し、X
1
は酸素原子または硫黄原子を表し、L
1
は-C(=O)-、または、-S(=O)
2
-を表し、*1及び*2は、それぞれ独立に、他の構造との結合部位を表し、R
1
、R
2
、*1に結合する構造、及び、*2に結合する構造のうち少なくとも2つが結合して環構造を形成してもよく、前記8-アザアデニンの含有モル量に対する式(1)で表される構造の含有モル量の割合が20~4000%である、
請求項1~3のいずれか1項に記載の樹脂組成物。
【請求項6】
樹脂Aの重量平均分子量が15,000~40,000である、請求項1~3のいずれか1項に記載の樹脂組成物。
【請求項7】
前記樹脂Aに含まれる、中和点のpHが7.0~12.0の範囲にある酸基の酸価が0.0010~0.3000mmol/gの範囲である、請求項1~3のいずれか1項に記載の樹脂組成物。
【請求項8】
前記樹脂Aのアミン価が0.0010~0.3000mmol/gである、請求項1~3のいずれか1項に記載の樹脂組成物。
【請求項9】
前記樹脂Aがイミド環構造を含み、樹脂Aのイミド化率が3~40%である、請求項1~3のいずれか1項に記載の樹脂組成物。
【請求項10】
更に、チタン錯体化合物を含む、請求項1~3のいずれか1項に記載の樹脂組成物。
(【請求項11】以降は省略されています)
発明の詳細な説明
【技術分野】
【0001】
本発明は、樹脂組成物、硬化物、積層体、硬化物の製造方法、積層体の製造方法、半導体デバイスの製造方法、及び、半導体デバイスに関する。
続きを表示(約 5,500 文字)
【背景技術】
【0002】
現代では様々な分野において、樹脂を含む樹脂組成物から製造された樹脂材料を活用することが行われている。
例えば、ポリイミド等の環化樹脂は、耐熱性及び絶縁性等に優れるため、様々な用途に適用されている。上記用途としては、特に限定されないが、実装用の半導体デバイスを例に挙げると、絶縁膜や封止材の材料、又は、保護膜としての利用が挙げられる。また、フレキシブル基板のベースフィルムやカバーレイなどとしても用いられている。
【0003】
例えば上述した用途において、ポリイミド等の環化樹脂は、環化樹脂又はその前駆体を含む樹脂組成物の形態で用いられる。
このような樹脂組成物を、例えば塗布等により基材に適用して感光膜を形成し、その後、必要に応じて露光、現像、加熱等を行うことにより、硬化物を基材上に形成することができる。
樹脂組成物は、公知の塗布方法等により適用可能であるため、例えば、適用される樹脂組成物の適用時の形状、大きさ、適用位置等の設計の自由度が高いなど、製造上の適応性に優れるといえる。ポリイミド等の環化樹脂が有する高い性能に加え、このような製造上の適応性に優れる観点から、上述の樹脂組成物の産業上の応用展開がますます期待されている。
【0004】
例えば、特許文献1には、重量平均分子量が4万以上で重合性の不飽和結合を有するポリイミド前駆体と、重合性モノマーと、光重合開始剤と、溶剤と、を含有する感光性樹脂組成物が記載されている。
【先行技術文献】
【特許文献】
【0005】
特開2022-21936号公報
【発明の概要】
【発明が解決しようとする課題】
【0006】
近年、半導体パッケージに使用されている再配線層(RDL)絶縁膜において、配線微細化時の信頼性向上が求められている。銅配線間の距離が近くなることに比例して銅が腐食しやすくなるからである。特に2μm微細銅配線上でのバイアス印加高加速ストレス試験(bHAST試験)は、RDL工程の微細化に伴って近年新たに求められるようになった性能課題である。
【0007】
本発明は、2μm微細銅配線上でのbHAST試験後の酸化銅被膜形成を抑制できる硬化物が得られる樹脂組成物、上記樹脂組成物を硬化してなる硬化物、上記硬化物を含む積層体、上記硬化物の製造方法、上記積層体の製造方法、上記硬化物の製造方法を含む半導体デバイスの製造方法、並びに、上記硬化物を含む半導体デバイスを提供することを目的とする。
【課題を解決するための手段】
【0008】
本発明の代表的な実施態様の例を以下に示す。
<1> 樹脂Aと、重合開始剤Bと、8-アザアデニンとを含む樹脂組成物であって、
樹脂Aがアミック酸エステル構造及びアミック酸構造を含み、上記アミック酸構造及び上記アミック酸エステル構造の合計モル量に対するアミック酸エステル構造のモル量の割合が、90.00~99.90%である、樹脂組成物。
<2> 樹脂Aが式(1-dp-2d1)で表される構造を含む、<1>に記載の樹脂組成物;
JPEG
2025150696000001.jpg
26
121
式中、*は他の構造との結合部位を示す
<3> 樹脂Aが式(1-dp-V1-1)で表される構造及び式(Y-V1-1)で表される構造から選択される少なくとも1つを含む、<2>に記載の樹脂組成物;
JPEG
2025150696000002.jpg
44
126
式中、*は他の構造との結合部位を示す
<4> 樹脂Aが式(AY1)で表される構造および式(DY1))で表される構造からなる群より選択される少なくとも1つの構造を含む、<1>~<3>のいずれか1つに記載の樹脂組成物;
JPEG
2025150696000003.jpg
50
104
式中、
*は他の構造との結合部位を示し、
Xは式(2a)で表される基であり、式(2a)中、*1~*4はそれぞれカルボニル基との結合部位を表し、
JPEG
2025150696000004.jpg
18
26
Yは以下から選択されるいずれかの基である。
JPEG
2025150696000005.jpg
26
128
<5> 上記樹脂組成物が下記式(1)の構造を含み、
JPEG
2025150696000006.jpg
30
43
式(1)中、R
1
及びR
2
はそれぞれ独立に、炭素数3~6の飽和脂肪族炭化水素基、または、炭素数1~10のアルキル基で置換されてもよいフェニル基を表し、X
1
は酸素原子または硫黄原子を表し、L
1
は-C(=O)-、または、-S(=O)
2
-を表し、*1及び*2は、それぞれ独立に、他の構造との結合部位を表し、R
1
、R
2
、*1に結合する構造、及び、*2に結合する構造のうち少なくとも2つが結合して環構造を形成してもよく、
上記8-アザアデニンの含有モル量に対する式(1)で表される構造の含有モル量の割合が20~4000%である、<1>~<4>のいずれか1つに記載の樹脂組成物。
<6> 樹脂Aの重量平均分子量が15,000~40,000である、<1>~<5>のいずれか1つに記載の樹脂組成物。
<7> 上記樹脂Aに含まれる、中和点のpHが7.0~12.0の範囲にある酸基の酸価が0.0010~0.3000mmol/gの範囲である、<1>~<6>のいずれか1つに記載の樹脂組成物。
<8> 上記樹脂Aのアミン価が0.0010~0.3000mmol/gである、<1>~<7>のいずれか1つに記載の樹脂組成物。
<9> 上記樹脂Aがイミド環構造を含み、樹脂Aのイミド化率が3~40%である、<1>~<8>のいずれか1つに記載の樹脂組成物。
<10> 更に、チタン錯体化合物を含む、<1>~<9>のいずれか1つに記載の樹脂組成物。
<11> 重合開始剤Bがオキシム化合物を含む、<1>~<10>のいずれか1つに記載の樹脂組成物。
<12> 更に、酸化防止剤を含む、<1>~<11>のいずれか1つに記載の樹脂組成物。
<13> 更に、アニリン化合物を含む、<1>~<12>のいずれか1つに記載の樹脂組成物。
<14> 更に、ウレア化合物を含む、<1>~<13>のいずれか1つ項に記載の樹脂組成物。
<15> 再配線層用層間絶縁膜の形成に用いられる、<1>~<14>のいずれか1つに記載の樹脂組成物。
<16> <1>~<15>のいずれか1つに記載の樹脂組成物を硬化してなる硬化物。
<17> <16>に記載の硬化物からなる層を2層以上含み、上記硬化物からなる層同士のいずれかの間に金属層を含む積層体。
<18> <1>~<15>のいずれか1つに記載の樹脂組成物を基材上に適用して膜を形成する膜形成工程を含む、硬化物の製造方法。
<19> 上記膜を選択的に露光する露光工程及び上記膜を現像液を用いて現像してパターンを形成する現像工程を含む、<18>に記載の硬化物の製造方法。
<20> 上記膜を50~450℃で加熱する加熱工程を含む、<18>又は<19>に記載の硬化物の製造方法。
<21> <18>~<20>のいずれか1つに記載の硬化物の製造方法を含む、積層体の製造方法。
<22> <18>~<20>のいずれか1つに記載の硬化物の製造方法を含む、半導体デバイスの製造方法。
<23> <16>に記載の硬化物を含む、半導体デバイス。
【発明の効果】
【0009】
本発明によれば、2μm微細銅配線上でのbHAST試験において酸化銅被膜形成を抑制できる硬化物が得られる樹脂組成物、上記樹脂組成物を硬化してなる硬化物、上記硬化物を含む積層体、上記硬化物の製造方法、上記積層体の製造方法、上記硬化物の製造方法を含む半導体デバイスの製造方法、並びに、上記硬化物を含む半導体デバイスが提供される。
【発明を実施するための形態】
【0010】
以下、本発明の主要な実施形態について説明する。しかしながら、本発明は、明示した実施形態に限られるものではない。
本明細書において「~」という記号を用いて表される数値範囲は、「~」の前後に記載される数値をそれぞれ下限値及び上限値として含む範囲を意味する。
本明細書において「工程」との語は、独立した工程だけではなく、その工程の所期の作用が達成できる限りにおいて、他の工程と明確に区別できない工程も含む意味である。
本明細書における基(原子団)の表記において、置換及び無置換を記していない表記は、置換基を有しない基(原子団)と共に置換基を有する基(原子団)をも包含する。例えば、「アルキル基」とは、置換基を有しないアルキル基(無置換アルキル基)のみならず、置換基を有するアルキル基(置換アルキル基)をも包含する。
本明細書において「露光」とは、特に断らない限り、光を用いた露光のみならず、電子線、イオンビーム等の粒子線を用いた露光も含む。また、露光に用いられる光としては、水銀灯の輝線スペクトル、エキシマレーザーに代表される遠紫外線、極紫外線(EUV光)、X線、電子線等の活性光線又は放射線が挙げられる。
本明細書において、「(メタ)アクリレート」は、「アクリレート」及び「メタクリレート」の両方、又は、いずれかを意味し、「(メタ)アクリル」は、「アクリル」及び「メタクリル」の両方、又は、いずれかを意味し、「(メタ)アクリロイル」は、「アクリロイル」及び「メタクリロイル」の両方、又は、いずれかを意味する。
本明細書において、構造式中のMeはメチル基を表し、Etはエチル基を表し、Buはブチル基を表し、Phはフェニル基を表す。
本明細書において、全固形分とは、組成物の全成分から溶剤を除いた成分の総質量をいう。また本明細書において、固形分濃度とは、組成物の総質量に対する、溶剤を除く他の成分の質量百分率である。
本明細書において、重量平均分子量(Mw)及び数平均分子量(Mn)は、特に述べない限り、ゲル浸透クロマトグラフィ(GPC)法を用いて測定した値であり、ポリスチレン換算値として定義される。本明細書において、重量平均分子量(Mw)及び数平均分子量(Mn)は、例えば、HLC-8220GPC(東ソー(株)製)を用い、カラムとしてガードカラムHZ-L、TSKgel Super HZM-M、TSKgel Super HZ4000、TSKgel Super HZ3000、及び、TSKgel Super HZ2000(以上、東ソー(株)製)を直列に連結して用いることによって求めることができる。それらの分子量は特に述べない限り、溶離液としてNMP(N-メチル-2-ピロリドン)を用いて測定したものとする。ただし、溶解性が低い場合など、溶離液としてNMPが適していない場合にはTHF(テトラヒドロフラン)を用いることもできる。また、GPC測定における検出は特に述べない限り、UV線(紫外線)の波長254nm検出器を使用したものとする。
本明細書において、積層体を構成する各層の位置関係について、「上」又は「下」と記載したときには、注目している複数の層のうち基準となる層の上側又は下側に他の層があればよい。すなわち、基準となる層と上記他の層の間に、更に第3の層や要素が介在していてもよく、基準となる層と上記他の層は接している必要はない。特に断らない限り、基材に対し層が積み重なっていく方向を「上」と称し、又は、樹脂組成物層がある場合には、基材から樹脂組成物層へ向かう方向を「上」と称し、その反対方向を「下」と称する。なお、このような上下方向の設定は、本明細書中における便宜のためであり、実際の態様においては、本明細書における「上」方向は、鉛直上向きと異なることもありうる。
本明細書において、特段の記載がない限り、組成物は、組成物に含まれる各成分として、その成分に該当する2種以上の化合物を含んでもよい。特段の記載がない限り、組成物における各成分の含有量とは、その成分に該当する全ての化合物の合計含有量を意味する。
本明細書において、特に述べない限り、温度は23℃、気圧は101,325Pa(1気圧)、相対湿度は50%RHである。
本明細書において、好ましい態様の組み合わせは、より好ましい態様である。
(【0011】以降は省略されています)
この特許をJ-PlatPat(特許庁公式サイト)で参照する
関連特許
東ソー株式会社
ペレット
今日
ユニチカ株式会社
透明シート
1か月前
ユニチカ株式会社
透明シート
16日前
株式会社カネカ
硬化性組成物
3か月前
株式会社コバヤシ
成形体
13日前
東レ株式会社
熱硬化性樹脂組成物
1か月前
東レ株式会社
引抜成形品の製造方法
1か月前
丸住製紙株式会社
変性パルプ
16日前
東ソー株式会社
ゴム用接着性改質剤
1日前
住友精化株式会社
吸水剤の製造方法
26日前
東レ株式会社
ポリエステルフィルム
20日前
東ソー株式会社
樹脂組成物および蓋材
1か月前
東レ株式会社
ポリプロピレンフィルム
12日前
花王株式会社
樹脂組成物
3か月前
横浜ゴム株式会社
重荷重タイヤ
12日前
東ソー株式会社
樹脂組成物および蓋材
1か月前
東レ株式会社
ポリオレフィン微多孔膜
2か月前
株式会社スリーボンド
硬化性樹脂組成物
12日前
アイカ工業株式会社
光硬化性樹脂組成物
12日前
UBE株式会社
衝撃吸収材
16日前
日本特殊陶業株式会社
樹脂成形体
26日前
株式会社コバヤシ
光硬化性組成物
2か月前
株式会社カネカ
硬化性組成物
1か月前
株式会社カネカ
シーリング材
5日前
ノリタケ株式会社
担体構造体
6日前
株式会社大阪ソーダ
熱可塑性材料用組成物
3か月前
住友化学株式会社
樹脂組成物
12日前
三洋化成工業株式会社
熱成形用樹脂組成物
8日前
住友ベークライト株式会社
ポリマー
1日前
株式会社カネカ
硬化性組成物
26日前
住友ベークライト株式会社
ポリマー
1日前
伯東株式会社
ビニル化合物中の重合防止方法
2か月前
東ソー株式会社
温度応答性ビーズの製造方法
28日前
デンカ株式会社
磁性ビーズの製造方法
12日前
ハイモ株式会社
油中水型エマルジョン重合体
12日前
東レ株式会社
ポリエステル組成物の製造方法
19日前
続きを見る
他の特許を見る