TOP
|
特許
|
意匠
|
商標
特許ウォッチ
Twitter
他の特許を見る
公開番号
2025156094
公報種別
公開特許公報(A)
公開日
2025-10-14
出願番号
2025049385
出願日
2025-03-25
発明の名称
インクジェット捺染用白色顔料インク組成物、及びインクセット
出願人
日本化薬株式会社
代理人
主分類
C09D
11/326 20140101AFI20251002BHJP(染料;ペイント;つや出し剤;天然樹脂;接着剤;他に分類されない組成物;他に分類されない材料の応用)
要約
【課題】
白色度が高く、且つ沈降しにくく、分散安定性に優れる白色顔料インク、及び白色顔料インクで形成した下地上にカラーインクを付着させた場合に、摩擦堅牢性及びべたつきの少ない風合いが優れるカラー画像を形成することが可能なインクセットの提供。
【解決手段】
白色顔料、高分子分散剤、ウレタン樹脂、水溶性有機溶剤、水、を含み、前記白色顔料の体積平均粒子径(D50)が200~270nmであり、前記水溶性有機溶剤が、グリセリンと、沸点215℃以下の多価アルコールを含む、インクジェット捺染用白色顔料インク組成物。
【選択図】なし
特許請求の範囲
【請求項1】
白色顔料、高分子分散剤、ウレタン樹脂、水溶性有機溶剤、水、を含み、前記白色顔料の体積平均粒子径(D50)が200~270nmであり、前記水溶性有機溶剤が、グリセリンと、沸点215℃以下の多価アルコールを含む、インクジェット捺染用白色顔料インク組成物。
続きを表示(約 910 文字)
【請求項2】
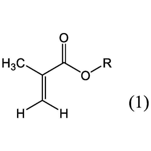
前記高分子分散剤が、下記式(1)で表されるモノマーA、モノマーB、及びモノマーCよりなる群から選択される少なくとも2種類のモノマーから構成されるポリマーである、請求項1に記載のインクジェット捺染用白色顔料インク組成物。
モノマーA:下記式(1)中、Rが水素原子であるモノマー。
モノマーB:下記式(1)中、RがC1-C6アルキル基であるモノマー。
モノマーC:下記式(1)中、Rがアリール基又はアリールC1-C4アルキル基であるモノマー。
TIFF
2025156094000009.tif
30
170
【請求項3】
前記高分子分散剤の重量平均分子量が10000~40000である、請求項1又は2に記載のインクジェット捺染用白色顔料インク組成物。
【請求項4】
前記ウレタン樹脂として、ポリエステル型ウレタン樹脂とポリカーボネート型ウレタン樹脂の2種を含む、請求項1又は2に記載のインクジェット捺染用白色顔料インク組成物。
【請求項5】
25℃において、静的表面張力が30~40mN/m、粘度が3~20mPa・sである、請求項1又は2に記載のインクジェット捺染用白色顔料インク組成物。
【請求項6】
請求項1又は2に記載のインクジェット捺染用白色顔料インク組成物と、顔料、ブロックポリマー型樹脂分散剤、ウレタン樹脂、架橋剤、水溶性有機溶剤、界面活性剤、水を含有する、1種類以上のインクジェット捺染用カラーインク組成物と、を含む、インクセット。
【請求項7】
前記ブロックポリマー型樹脂分散剤の重量平均分子量が10000~30000である、請求項6に記載のインクセット。
【請求項8】
前記架橋剤が、ブロック型イソシアネート基含有化合物である、請求項6に記載のインクセット。
【請求項9】
請求項6に記載のウレタン樹脂が、ポリエステル型ウレタン樹脂とポリカーボネート型ウレタン樹脂の2種を含む、請求項6に記載のインクセット。
発明の詳細な説明
【技術分野】
【0001】
本発明は、インクジェット捺染用白色顔料インク組成物、及びカラーインクを含むインクセットに関する。
続きを表示(約 2,200 文字)
【背景技術】
【0002】
従来、繊維の捺染方法においては、手描きやスクリーン印刷が主流であった。しかし、最近ではインクジェットプリンタを用いる繊維の捺染(インクジェット捺染)方法が増加している。
インクジェット捺染方法は、スクリーン印刷やグラビア印刷等のアナログ印刷方法よりも、少量多品種の印刷物に適しており、インクジェット捺染方法による布帛の適用範囲の拡大が望まれている。このような適用範囲の拡大に伴い、ガーメント印刷やホームテキスタイル印刷において、様々な布帛(例えば、綿、ポリエステル、ナイロン、又は2種以上の繊維を含む混紡等)や様々な生地の種類(例えば、ニット、シーチング、ブロード、オックスフォード、シャンブレー、メッシュなど)に対して、濃度、堅牢性(例えば、摩擦堅牢度、洗濯堅牢度、耐光性等)の更なる向上が求められている。
【0003】
インクジェット捺染に用いる着色剤として、水溶性の染料が挙げられる。そのような染料は、色相が鮮明で、再現できる色域も広い。その反面、水溶性の染料は耐光性が低く、繊維に染料を付着させた後の定着、及び水洗等の工程、さらには水洗等により生じる染料廃液の処理等が煩雑という欠点を有する。このため、水溶性の染料の代わりに、水不溶性の着色剤の使用が注目されている。
【0004】
水不溶性の着色剤として白顔料を用いるインクジェット捺染方法においては、白色顔料を含有する白色顔料インクを布帛に付着させて白色の下地を形成した後に、カラーインクをさらに付着させてカラー画像を形成する方法が一般的に知られている。特に、黒色を含む濃色の布帛に対して白色以外のカラーインクを直接捺染すると、目視ではカラーインクの色を認識できないことがある。このため、白色以外の色の布帛にカラーインクで捺染をする場合には、通常、白色の下地を形成する。
【0005】
白色の下地上にカラーインクを付着させてカラー画像を形成する場合、下地の白色度が低いとカラー画像の発色が低下してしまう。この理由から、下地の白色度は高い方が望ましい。発色をよくするために、白色度及び隠蔽性の高い白色顔料インクを用いることが一般的であり、その顔料としては無機顔料、とくに二酸化チタンを用いることが多い。
しかしながら、二酸化チタンを始めとする無機顔料は比重が高いため、顔料沈降の抑制が課題となる。顔料が沈降すると、インクジェットノズルからの吐出時に目詰まりを起こしたり、インクの貯蔵安定性が悪くなったりするなどの問題がある。
顔料の沈降を抑制するために、二酸化チタンの粒子径を小さくすると、沈降は軽減することができるが、白色度及び隠蔽性が著しく低下してしまうという問題がある。このため、これらの問題を解決できる白色顔料インクが強く望まれている。
【0006】
また、白色の下地上にカラーインクを付着させてベタ部分を有するカラー画像を形成する場合、白インクとカラーインクとの組み合わせによっては、カラー画像の摩擦堅牢性、洗濯堅牢性が悪く、品質が劣る捺染物が得られることがある。このため、この問題を解決できるインクセットが強く望まれている。
【0007】
特許文献1及び2には、白顔料を含有するインクが開示されている。
【先行技術文献】
【特許文献】
【0008】
特表2018-505244号公報
特開2017-31354号公報
【発明の概要】
【発明が解決しようとする課題】
【0009】
本発明は、白色度が高く、且つ沈降しにくく、分散安定性に優れる白色顔料インク、及び白色顔料インクで形成した下地上にカラーインクを付着させた場合に、摩擦堅牢性及び風合いが優れるカラー画像を形成することが可能なインクセットの提供である。
【課題を解決するための手段】
【0010】
本発明者等は鋭意検討の結果、白色顔料、高分子分散剤、ウレタン樹脂、水溶性有機溶剤、水、を含み、前記白色顔料の体積平均粒子径(D50)が200~270nmであり、前記水溶性有機溶剤が、グリセリンと、沸点215℃以下の多価アルコールを含む、インクジェット捺染用白色顔料インク組成物により、上記の課題を解決できることを見出し、本発明を完成させた。
即ち、本発明は以下の1)~9)に関する。
1)
白色顔料、高分子分散剤、ウレタン樹脂、水溶性有機溶剤、水、を含み、前記白色顔料の体積平均粒子径(D50)が200~270nmであり、前記水溶性有機溶剤が、グリセリンと、沸点215℃以下の多価アルコールを含む、インクジェット捺染用白色顔料インク組成物。
2)
前記高分子分散剤が、下記式(1)で表されるモノマーA、モノマーB、及びモノマーCよりなる群から選択される少なくとも2種類のモノマーから構成されるポリマーである、1)に記載のインクジェット捺染用白色顔料インク組成物。
モノマーA:下記式(1)中、Rが水素原子であるモノマー。
モノマーB:下記式(1)中、RがC1-C6アルキル基であるモノマー。
モノマーC:下記式(1)中、Rがアリール基又はアリールC1-C4アルキル基であるモノマー。
(【0011】以降は省略されています)
この特許をJ-PlatPat(特許庁公式サイト)で参照する
関連特許
日本化薬株式会社
インク
23日前
ベック株式会社
水性被覆材
11日前
ベック株式会社
被膜形成方法
12日前
日本化薬株式会社
インク組成物
23日前
日本製紙株式会社
圧着紙
9日前
株式会社日本触媒
インクセット
1か月前
日本化薬株式会社
前処理組成物
9日前
株式会社KRI
潜熱蓄熱材組成物
9日前
東ソー株式会社
印刷インキ組成物
2日前
メック株式会社
表面処理剤
4日前
日澱化學株式会社
ホットメルト接着剤
11日前
東ソー株式会社
土木用注入薬液組成物
24日前
アイカ工業株式会社
ホットメルト組成物
12日前
デンカ株式会社
蛍光体
11日前
日本化薬株式会社
インク組成物及び捺染方法
9日前
大日本印刷株式会社
積層シート
9日前
リンテック株式会社
粘着シート
10日前
artience株式会社
水性フレキソインキ
10日前
ダイキン工業株式会社
撥剤
9日前
東洋アルミニウム株式会社
複合顔料
23日前
三菱ケミカル株式会社
粘着剤組成物
12日前
住友理工株式会社
シール部材
10日前
東洋アルミニウム株式会社
複合顔料
2日前
日東電工株式会社
粘着シート
9日前
日東電工株式会社
粘着シート
9日前
三菱ケミカル株式会社
液晶組成物及び液晶調光素子
12日前
リンテック株式会社
化粧シート
9日前
日東電工株式会社
表面保護シート
5日前
積水化学工業株式会社
仮固定粘着テープ
1か月前
積水化学工業株式会社
防食用粘着テープ
5日前
サカタインクス株式会社
金属印刷用インキ組成物
17日前
藤倉化成株式会社
導電性塗料
24日前
株式会社荒井製作所
正・逆両回転用オイルシール
2日前
artience株式会社
グラビア又はフレキソインキ
1か月前
高圧ガス工業株式会社
接着剤組成物
18日前
曙ブレーキ工業株式会社
摩擦材
20日前
続きを見る
他の特許を見る