TOP
|
特許
|
意匠
|
商標
特許ウォッチ
Twitter
他の特許を見る
10個以上の画像は省略されています。
公開番号
2025160443
公報種別
公開特許公報(A)
公開日
2025-10-22
出願番号
2025129405,2022092926
出願日
2025-08-01,2019-08-16
発明の名称
ハット形鋼矢板および鋼矢板壁の製造方法
出願人
日本製鉄株式会社
代理人
弁理士法人樹之下知的財産事務所
主分類
E02D
5/04 20060101AFI20251015BHJP(水工;基礎;土砂の移送)
要約
【課題】打設中のハット形鋼矢板に発生する傾斜変形を低減することが可能な、ハット形鋼矢板および鋼矢板壁の製造方法を提供する。
【解決手段】ハット形鋼矢は、幅方向に沿って延びるウェブと、ウェブの幅方向の両端部から延びる1対のフランジと、1対のフランジの幅方向の両側に向かって延びる1対のアームと、1対のアームの端部に形成される1対の嵌合継手とを備え、有効幅Wが105cm以上であり、かつ断面高さ方向に延びる強軸回りの断面二次モーメントIyが191,000cm
4
以上であり、断面高さH(cm)と強軸回りの断面二次モーメントIy(cm
4
)との比Iy/Hが5,210cm
3
以上である。
【選択図】図1
特許請求の範囲
【請求項1】
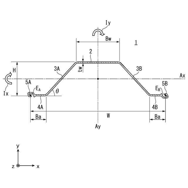
ハット形鋼矢板であって、
長手方向に直交する断面において、断面高さ方向の第1の側で幅方向に沿って延びるウェブと、前記ウェブの前記幅方向の両端部から前記幅方向の両側、かつ前記断面高さ方向の第2の側に向かって延びる1対のフランジと、前記断面高さ方向の第2の側で前記1対のフランジのそれぞれの端部から前記幅方向に沿って、かつ前記幅方向の両側に向かって延びる1対のアームと、前記1対のアームのそれぞれの前記1対のフランジとは反対側の端部に形成される1対の嵌合継手とを備え、
前記幅方向に延びる弱軸回りの断面二次モーメントIxが、前記ハット形鋼矢板によって構成される鋼矢板壁の壁幅1mあたりで9,899cm
4
/m以上11,157cm
4
/m以下であり、
有効幅Wが105cm以上であり、かつ前記断面高さ方向に延びる強軸回りの断面二次モーメントIyが191,000cm
4
以
上で
あり、
断面高さH(cm)と前記強軸回りの断面二次モーメントIy(cm
4
)との比Iy/Hが5,210cm
3
以上であ
り、
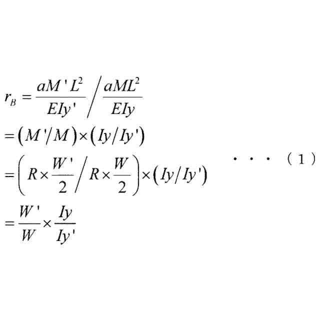
長さLが25m以下であり、式(i)によって算出される曲がり比r
B
が0.7以下であ
るハット形鋼矢板。
TIFF
2025160443000006.tif
28
170
続きを表示(約 1,500 文字)
【請求項2】
ハット形鋼矢板であって、
長手方向に直交する断面において、断面高さ方向の第1の側で幅方向に沿って延びるウェブと、前記ウェブの前記幅方向の両端部から前記幅方向の両側、かつ前記断面高さ方向の第2の側に向かって延びる1対のフランジと、前記断面高さ方向の第2の側で前記1対のフランジのそれぞれの端部から前記幅方向に沿って、かつ前記幅方向の両側に向かって延びる1対のアームと、前記1対のアームのそれぞれの前記1対のフランジとは反対側の端部に形成される1対の嵌合継手とを備え、
前記幅方向に延びる弱軸回りの断面二次モーメントIxが、前記ハット形鋼矢板によって構成される鋼矢板壁の壁幅1mあたりで24,035cm
4
/m以上26,504cm
4
/m以下であり、
有効幅Wが105cm以上であり、かつ前記断面高さ方向に延びる強軸回りの断面二次モーメントIyが191,000cm
4
以上であり、
断面高さH(cm)と前記強軸回りの断面二次モーメントIy(cm
4
)との比Iy/Hが5,210cm
3
以上であり、
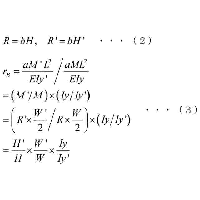
長さLが25m以下であり、式(ii)によって算出される曲がり比r
B
が0.7以下であるハット形鋼矢板。
TIFF
2025160443000007.tif
28
170
【請求項3】
ハット形鋼矢板であって、
長手方向に直交する断面において、断面高さ方向の第1の側で幅方向に沿って延びるウェブと、前記ウェブの前記幅方向の両端部から前記幅方向の両側、かつ前記断面高さ方向の第2の側に向かって延びる1対のフランジと、前記断面高さ方向の第2の側で前記1対のフランジのそれぞれの端部から前記幅方向に沿って、かつ前記幅方向の両側に向かって延びる1対のアームと、前記1対のアームのそれぞれの前記1対のフランジとは反対側の端部に形成される1対の嵌合継手とを備え、
前記幅方向に延びる弱軸回りの断面二次モーメントIxが、前記ハット形鋼矢板によって構成される鋼矢板壁の壁幅1mあたりで45,481cm
4
/m以上48,313cm
4
/m以下であり、
有効幅Wが105cm以上であり、かつ前記断面高さ方向に延びる強軸回りの断面二次モーメントIyが191,000cm
4
以上であり、
断面高さH(cm)と前記強軸回りの断面二次モーメントIy(cm
4
)との比Iy/Hが5,210cm
3
以上であり、
長さLが25m以下であり、式(iii)によって算出される曲がり比r
B
が0.7以下であるハット形鋼矢板。
TIFF
2025160443000008.tif
27
170
【請求項4】
前記ハット形鋼矢板の有効幅Wが120cm以上である、請求項1
から請求項3のいずれか1項
に記載のハット形鋼矢板。
【請求項5】
請求項1
から
請求項
3のいずれか1項
に記載のハット形鋼矢板を用いた鋼矢板壁の製造方法であって、
前記ハット形鋼矢板の前記嵌合継手のうちの一方のみを先行して打設された鋼矢板の嵌合継手に嵌合させながら前記ハット形鋼矢板を地中に打設する工程を含む鋼矢板壁の製造方法。
発明の詳細な説明
【技術分野】
【0001】
本発明は、ハット形鋼矢板および鋼矢板壁の製造方法に関する。
続きを表示(約 1,800 文字)
【背景技術】
【0002】
ハット形鋼矢板は、土木建築工事において、土留めや止水のための壁体を構築するために広く利用されている。ハット形鋼矢板の施工性や断面性能を向上させるための技術は、これまでにも種々提案されている。例えば、特許文献1には、打設時の貫入抵抗が最小限に抑えられるように、ハット形鋼矢板の断面におけるフランジ角度、すなわちフランジがウェブおよびアームとの間になす角度を設定する技術が記載されている。特許文献2にも、貫入抵抗に着目して、ハット形鋼矢板の経済性、施工性および健全性をともに最適化する断面形状を決定するための技術が記載されている。特許文献3には、断面性能のうち断面二次モーメントに優れたハット形鋼矢板の形状設定方法が記載されている。
【先行技術文献】
【特許文献】
【0003】
特許第3488233号公報
特開2012-158910号公報
特開2008-69631号公報
【発明の概要】
【発明が解決しようとする課題】
【0004】
ここで、上記の特許文献1から特許文献3で言及されているハット形鋼矢板の断面二次モーメントは、いずれも弱軸回りの断面二次モーメントである。この弱軸回りの断面二次モーメントは、打設後のハット形鋼矢板によって形成される鋼矢板壁が地中で土圧や水圧に対抗するときの剛性を表すため、ハット形鋼矢板の性能の指標として重要である。
【0005】
しかしながら、後述するように、本発明者らが得た知見によれば、打設中のハット形鋼矢板に発生する傾斜変形を低減するための設計指標としては、弱軸回りの断面二次モーメントは必ずしも適切ではない。打設中のハット形鋼矢板では、先行して打設された鋼矢板と継手が嵌合することによって生じる継手摩擦が抵抗として作用する。継手摩擦による抵抗は、貫入抵抗とは異なりハット形鋼矢板の断面に対して不均等に作用するため、ハット形鋼矢板が深度方向に均等に打設されずに傾斜することがある。
【0006】
このような傾斜はハット形鋼矢板を壁幅方向に順次打設するにつれて累積するため、傾斜が大きくなったことによって鋼矢板が途中までしか打設されない高止まりや、鋼矢板壁の形状における設計からのずれが大きくなる事態の原因になりうる。本発明者らが得た知見によれば、傾斜変形を低減するための設計指標としては、一般的な弱軸回りの断面二次モーメントではなく、強軸回りの断面二次モーメントが適切である。
【0007】
そこで、本発明は、強軸回りの断面二次モーメントを適切に設定することによって打設中のハット形鋼矢板に発生する傾斜変形を低減することが可能な、新規かつ改良されたハット形鋼矢板および鋼矢板壁の製造方法を提供することを目的とする。
【課題を解決するための手段】
【0008】
本発明のある観点によれば、ハット形鋼矢板は、長手方向に直交する断面において、断面高さ方向の第1の側で幅方向に沿って延びるウェブと、ウェブの幅方向の両端部から幅方向の両側、かつ断面高さ方向の第2の側に向かって延びる1対のフランジと、断面高さ方向の第2の側で1対のフランジのそれぞれの端部から幅方向に沿って、かつ幅方向の両側に向かって延びる1対のアームと、1対のアームのそれぞれの1対のフランジとは反対側の端部に形成される1対の嵌合継手とを備え、有効幅Wが105cm以上であり、かつ断面高さ方向に延びる強軸回りの断面二次モーメントIyが191,000cm
4
以上であり、断面高さH(cm)と強軸回りの断面二次モーメントIy(cm
4
)との比Iy/Hが5,210cm
3
以上である。
【0009】
上記のハット形鋼矢板の有効幅Wは120cm以上であってもよい。
【0010】
本発明の別の観点によれば、上記のハット形鋼矢板を用いた鋼矢板壁の製造方法が提供される。鋼矢板壁の製造方法は、ハット形鋼矢板の嵌合継手のうちの一方のみを先行して打設された鋼矢板の嵌合継手に嵌合させながらハット形鋼矢板を地中に打設する工程を含んでもよい。
(【0011】以降は省略されています)
この特許をJ-PlatPat(特許庁公式サイト)で参照する
関連特許
日本製鉄株式会社
線材
10日前
日本製鉄株式会社
鋼部品
16日前
日本製鉄株式会社
鋼部品
16日前
日本製鉄株式会社
ボルト
25日前
日本製鉄株式会社
床構造
25日前
日本製鉄株式会社
床構造
25日前
日本製鉄株式会社
橋脚構造
14日前
日本製鉄株式会社
溶接継手
8日前
日本製鉄株式会社
鍛鋼ロール
15日前
日本製鉄株式会社
鍛鋼ロール
15日前
日本製鉄株式会社
腐食センサ
14日前
日本製鉄株式会社
管理システム
14日前
日本製鉄株式会社
学習システム
17日前
日本製鉄株式会社
高Ni合金鋼
14日前
日本製鉄株式会社
高Ni合金鋼
14日前
日本製鉄株式会社
溶鉄の製造方法
16日前
日本製鉄株式会社
原油油槽用鋼材
10日前
日本製鉄株式会社
高炉の操業方法
16日前
日本製鉄株式会社
鋼矢板の製造方法
15日前
日本製鉄株式会社
金属材の製造方法
21日前
日本製鉄株式会社
鉄道車両用の台車
17日前
日本製鉄株式会社
スラグの処理方法
15日前
日本製鉄株式会社
鉄鉱石の選別方法
14日前
日本製鉄株式会社
鋼の連続鋳造方法
15日前
日本製鉄株式会社
焼結鉱の製造方法
15日前
日本製鉄株式会社
モールドパウダー
15日前
日本製鉄株式会社
金属材の製造方法
16日前
日本製鉄株式会社
鋼の連続鋳造方法
21日前
日本製鉄株式会社
鉄道車両用の車軸
8日前
日本製鉄株式会社
鉄鉱石の選別方法
7日前
日本製鉄株式会社
鉄道車両用の台車枠
9日前
日本製鉄株式会社
微細藻類の培養装置
25日前
日本製鉄株式会社
金属部品の製造方法
14日前
日本製鉄株式会社
溶鋼の脱窒処理方法
14日前
日本製鉄株式会社
計測装置及び計測方法
22日前
日本製鉄株式会社
腐食モニタリング装置
今日
続きを見る
他の特許を見る