TOP
|
特許
|
意匠
|
商標
特許ウォッチ
Twitter
他の特許を見る
公開番号
2025127366
公報種別
公開特許公報(A)
公開日
2025-09-01
出願番号
2024024069
出願日
2024-02-20
発明の名称
飛行体探知方法、飛行体探知装置及び飛行体探知プログラム
出願人
学校法人 中央大学
代理人
個人
,
個人
,
個人
,
個人
主分類
G01S
3/803 20060101AFI20250825BHJP(測定;試験)
要約
【課題】小型・軽量であり、かつ、視野状況に左右されずに飛行体を探知する。
【解決手段】飛行中の飛行体の周囲の音を集音し、音データを作成するステップと、作成した前記音データの変調周波数を解析するステップと、前記変調周波数ごとの振幅変調の大きさから、振幅変調の大きさが所定の閾値以上、かつ、次数成分を有する変調周波数のみを他の飛行体の動作音のピークとして抽出するステップとを含む。
【選択図】図1
特許請求の範囲
【請求項1】
飛行中の飛行体が他の飛行体を探知する飛行体探知方法であって、
前記飛行中の飛行体の周囲の音を集音し、音データを作成する第1ステップと、
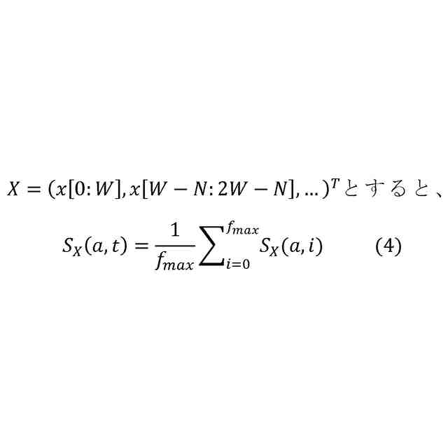
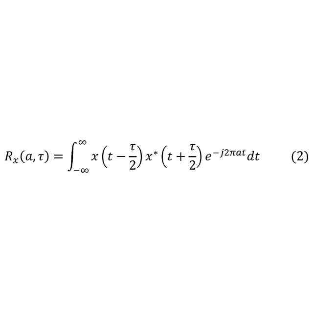
作成した前記音データの変調周波数を解析し、変調周波数ごとの振幅変調の大きさを算出する第2ステップと、
前記変調周波数ごとの振幅変調の大きさから、振幅変調の大きさが所定の閾値以上、かつ、次数成分を有する変調周波数のみを前記他の飛行体の動作音のピークとして抽出する第3ステップとを含む、飛行体探知方法。
続きを表示(約 1,400 文字)
【請求項2】
前記第3ステップは、
前記変調周波数ごとの振幅変調の大きさから、振幅変調の大きさが所定の閾値以上である変調周波数を抽出する第1の探知フィルタ適用ステップと、
抽出した前記変調周波数のうち、振幅変調の大きさが最大である最大変調周波数を特定し、前記最大変調周波数から所定の周波数範囲の設定をする範囲設定処理を行い、前記所定の周波数範囲内に存在する前記変調周波数を、前記最大変調周波数を除き削除する削除処理を行い、その後それまでに範囲設定処理が完了した周波数範囲を除外した上で前記範囲設定処理及び前記削除処理を行い、前記音データの全範囲で前記範囲設定処理及び前記削除処理が完了するまで繰り返す第2の探知フィルタ適用ステップと、
前記第2の探知フィルタ適用ステップで抽出した変調周波数のうち、次数成分を有する変調周波数のみを前記他の飛行体の動作音のピークとして抽出する第3の探知フィルタ適用ステップとを含む、請求項1に記載の飛行体探知方法。
【請求項3】
前記第1ステップは、
前記飛行中の飛行体の周囲の音を複数のマイクで取得し、
前記複数のマイクがそれぞれ取得した前記音データの位相が重なるよう補正する処理を含む、
請求項1に記載の飛行体探知方法。
【請求項4】
前記第1ステップは、
前記音データの振幅変調の大きさを強調する処理を更に含む、
請求項3に記載の飛行体探知方法。
【請求項5】
前記第3ステップにおいて、前記他の飛行体の動作音のピークを所定の期間連続して検出すると、当該他の飛行体の動作音を探知したと判定する、
請求項1に記載の飛行体探知方法。
【請求項6】
前記第1ステップは、
前記飛行中の飛行体の周囲の音を複数のマイクロホンアレイで取得し、
前記複数のマイクロホンアレイがそれぞれ取得した前記音データのうち前記他の飛行体の振幅変調の大きさが最も大きい前記音データを特定することにより、前記他の飛行体の存在する方向を推定する処理を更に含む、
請求項3に記載の飛行体探知方法。
【請求項7】
飛行体探知装置であって、
飛行中の飛行体の周囲の音を取得する入力部と、
前記入力部が取得した音を基に他の飛行体を探知する制御部と、を備え、
前記制御部は、
前記飛行中の飛行体の周囲の音を集音し、音データを作成する第1ステップと、
作成した前記音データの変調周波数を解析し、変調周波数ごとの振幅変調の大きさを算出する第2ステップと、
前記変調周波数ごとの振幅変調の大きさから、振幅変調の大きさが所定の閾値以上、かつ、次数成分を有する変調周波数のみを前記他の飛行体の動作音のピークとして抽出する第3ステップとを含む処理を行う、飛行体探知装置。
【請求項8】
コンピュータに、
飛行中の飛行体の周囲の音を集音し、音データを作成する第1ステップと、
作成した前記音データの変調周波数を解析し、変調周波数ごとの振幅変調の大きさを算出する第2ステップと、
前記変調周波数ごとの振幅変調の大きさから、振幅変調の大きさが所定の閾値以上、かつ、次数成分を有する変調周波数のみを他の飛行体の動作音のピークとして抽出する第3ステップとを含む処理を行わせる、飛行体探知プログラム。
発明の詳細な説明
【技術分野】
【0001】
本開示は、飛行体探知方法、飛行体探知装置及び飛行体探知プログラムに関する。
続きを表示(約 1,700 文字)
【背景技術】
【0002】
近年、労働人口の減少などを背景にドローンをはじめとした無人航空機の活用に注目が集まっている。ドローンは、旅客機等と衝突しないよう、一般に低空域を飛行するが、ドクターヘリを含む事業用ヘリコプターも、総飛行時間の約半分程度は低空域を飛行する。すなわち、ドローンと事業用ヘリコプターは同じ空域を飛行する場合があるため、衝突する危険性を孕んでいる。ドローンはヘリコプターの操縦者による視認が難しく、また、ドローンの方が小回りが利くことから、ドローン側が、ヘリコプターのような飛行体を探知して衝突を回避することが求められる。
【0003】
例えば特許文献1では、飛行体の位置情報を利用して、飛行体が他の飛行体と接近した場合に警報を発するシステムが開示されている。
【先行技術文献】
【特許文献】
【0004】
特開2022-147583号公報
【発明の概要】
【発明が解決しようとする課題】
【0005】
特許文献1のような方法では、取得した位置情報に何らかの理由で誤差がある場合に、正常に動作しないおそれがある。また、カメラのみによる飛行体探知方法では、夜間及び荒天時など視野状況が悪いときの飛行において、カメラが周囲の状況を正確に把握することが困難である。レーダを使用する飛行体探知方法では、視野状況が悪いときでも飛行体の位置を検出できるが、センサが大型化し、重量が増加するほか、これに伴いバッテリーも大型化・重量増加することにより、小型ドローンへの搭載が困難になったり、ドローンの連続飛行時間に悪影響を与えたりする。
【0006】
本開示の目的は、小型・軽量であり、かつ、視野状況に左右されずに正確に飛行体を探知することができる飛行体探知方法、飛行体探知装置及び飛行体探知プログラムを提供する。
【課題を解決するための手段】
【0007】
本発明の一実施形態に係る飛行体探知方法は、
飛行中の飛行体の周囲の音を集音し、音データを作成する第1ステップと、
作成した前記音データの変調周波数を解析し、変調周波数ごとの振幅変調の大きさを算出する第2ステップと、
前記変調周波数ごとの振幅変調の大きさから、振幅変調の大きさが所定の閾値以上、かつ、次数成分を有する変調周波数のみを前記他の飛行体の動作音のピークとして抽出する第3ステップとを含む。
【0008】
また、本発明の一実施形態に係る飛行体探知方法において、
前記第3ステップは、
前記変調周波数ごとの振幅変調の大きさから、振幅変調の大きさが所定の閾値以上である変調周波数を抽出する第1の探知フィルタ適用ステップと、
抽出した前記変調周波数のうち、振幅変調の大きさが最大である最大変調周波数を特定し、前記最大変調周波数から所定の周波数範囲の設定をする範囲設定処理を行い、前記所定の周波数範囲内に存在する前記変調周波数を、前記最大変調周波数を除き削除する削除処理を行い、その後それまでに範囲設定処理が完了した周波数範囲を除外した上で前記範囲設定処理及び前記削除処理を行い、前記音データの全範囲で前記範囲設定処理及び前記削除処理が完了するまで繰り返す第2の探知フィルタ適用ステップと、
前記第2の探知フィルタ適用ステップで抽出した変調周波数のうち、次数成分を有する変調周波数のみを前記他の飛行体の動作音のピークとして抽出する第3の探知フィルタ適用ステップとを含む。
【0009】
また、本発明の一実施形態に係る飛行体探知方法において、
前記第1ステップは、
前記飛行中の飛行体の周囲の音を複数のマイクで取得し、
前記複数のマイクがそれぞれ取得した前記音データの位相が重なるよう補正する処理を含む。
【0010】
また、本発明の一実施形態に係る飛行体探知方法において、
前記第1ステップは、
前記音データの振幅変調の大きさを強調する処理を更に含む。
(【0011】以降は省略されています)
この特許をJ-PlatPat(特許庁公式サイト)で参照する
関連特許
学校法人 中央大学
管内径推定装置
4か月前
学校法人 中央大学
浸水検知システム
3か月前
学校法人 中央大学
視認性評価システム
2か月前
学校法人 中央大学
人工筋アクチュエータ装置
2か月前
学校法人 中央大学
ポンプユニット及びポンプ
4か月前
学校法人 中央大学
異方変形弾性体及びこれを利用した推進機構
3か月前
学校法人 中央大学
油脂生産性が増加した緑藻変異体及びその利用
6か月前
学校法人 中央大学
磁性流体用粒子、磁性流体及び磁性流体用粒子の製造方法
26日前
学校法人 中央大学
飛行体探知方法、飛行体探知装置及び飛行体探知プログラム
1か月前
学校法人 中央大学
緑藻コッコミクサ属の湿潤細胞から親油性有用物質を抽出する方法
2日前
三菱ケミカル株式会社
液晶組成物及びこれを用いた液晶調光素子
17日前
三菱ケミカル株式会社
微細藻類の製造方法、微細藻類の製造装置
1か月前
三菱ケミカル株式会社
微細藻類の製造方法、微細藻類の製造装置
1か月前
株式会社荏原製作所
ワークピースの化学機械研磨システムおよび化学機械研磨方法
2か月前
地方独立行政法人神奈川県立産業技術総合研究所
測定装置、測定方法及びプログラム
24日前
公立大学法人大阪
消化管又は皮膚移植片対宿主病の診断用キット、診断用デバイス、及び罹患の可能性を判断する方法
1か月前
個人
計量スプーン
26日前
日本精機株式会社
位置検出装置
4日前
日本精機株式会社
位置検出装置
4日前
日本精機株式会社
位置検出装置
4日前
大和製衡株式会社
組合せ秤
9日前
大和製衡株式会社
組合せ秤
9日前
アズビル株式会社
圧力センサ
3日前
株式会社東芝
センサ
9日前
トヨタ自動車株式会社
検査装置
6日前
トヨタ自動車株式会社
表示装置
18日前
株式会社東芝
センサ
9日前
株式会社ユーシン
操作検出装置
6日前
エイブリック株式会社
磁気センサ回路
3日前
株式会社ナリス化粧品
角層細胞採取用具
16日前
個人
粘塑性を用いた有限要素法の定式化
18日前
TDK株式会社
磁気センサ
26日前
株式会社東芝
重量測定装置
2日前
TDK株式会社
ガスセンサ
3日前
TDK株式会社
ガスセンサ
2日前
東レエンジニアリング株式会社
計量装置
6日前
続きを見る
他の特許を見る