TOP
|
特許
|
意匠
|
商標
特許ウォッチ
Twitter
他の特許を見る
10個以上の画像は省略されています。
公開番号
2025131516
公報種別
公開特許公報(A)
公開日
2025-09-09
出願番号
2025009721
出願日
2025-01-23
発明の名称
エポキシ樹脂、硬化性樹脂組成物、およびこれらの硬化物、ならびにフェノール樹脂
出願人
日本化薬株式会社
代理人
主分類
C08G
59/26 20060101AFI20250902BHJP(有機高分子化合物;その製造または化学的加工;それに基づく組成物)
要約
【課題】
本発明は、耐熱性に優れるエポキシ樹脂、前記エポキシ樹脂を含有する硬化性樹脂組成物、およびこれらを硬化した炭素繊維強化複合材料および半導体封止材、ならびにエポキシ樹脂の前駆体のフェノール樹脂を提供する。
【解決手段】
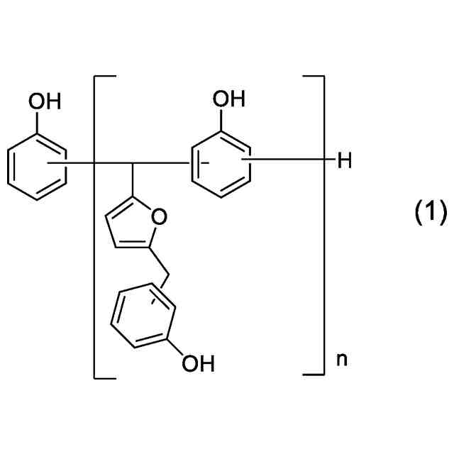
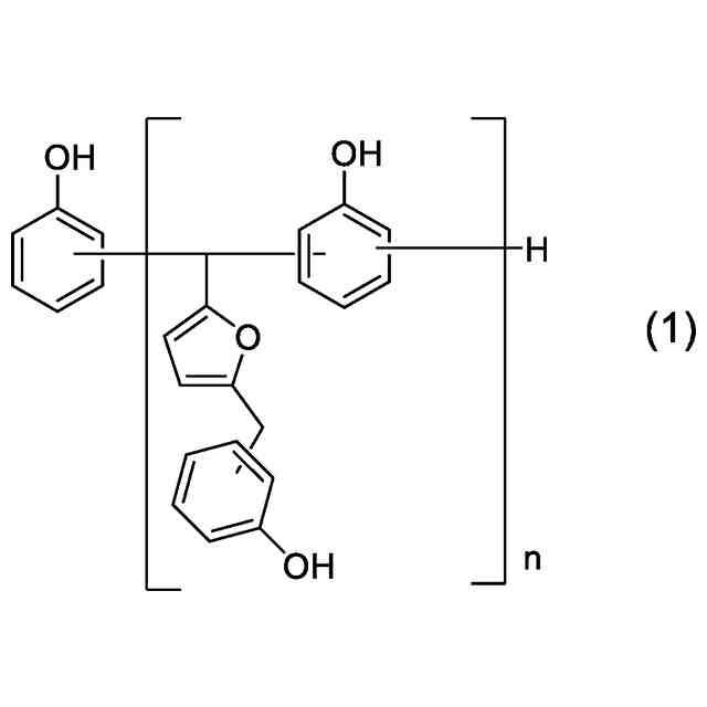
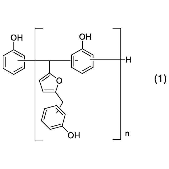
下記式(1)で表されるフェノール樹脂とエピハロヒドリンとを反応して得られるエポキシ樹脂。
【化1】
<com:Image com:imageContentCategory="Drawing"> <com:ImageFormatCategory>TIFF</com:ImageFormatCategory> <com:FileName>2025131516000010.tif</com:FileName> <com:HeightMeasure com:measureUnitCode="Mm">47</com:HeightMeasure> <com:WidthMeasure com:measureUnitCode="Mm">170</com:WidthMeasure> </com:Image> (式(1)中、nは繰り返し数の平均値であり、0<n≦15の実数である。)
【選択図】なし
特許請求の範囲
【請求項1】
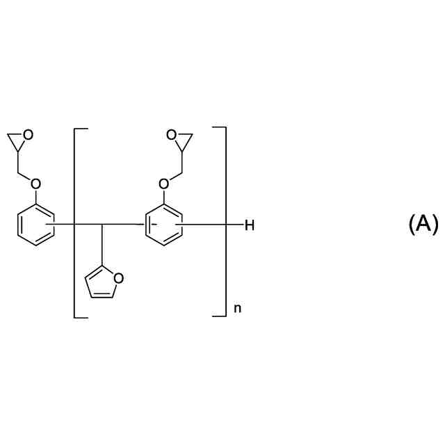
下記式(1)で表されるフェノール樹脂とエピハロヒドリンとを反応して得られるエポキシ樹脂。
TIFF
2025131516000008.tif
47
170
(式(1)中、nは繰り返し数の平均値であり、0<n≦15の実数である。)
続きを表示(約 560 文字)
【請求項2】
請求項1に記載のエポキシ樹脂と、硬化剤とを含有する硬化性樹脂組成物。
【請求項3】
請求項1に記載のエポキシ樹脂と、硬化促進剤、重合開始剤、前記エポキシ樹脂以外のエポキシ樹脂、活性エステル化合物、フェノール樹脂、ポリフェニレンエーテル化合物、エチレン性不飽和結合を有する化合物、イソシアネート樹脂、ポリアミド樹脂、マレイミド化合物、シアネートエステル樹脂、ポリイミド樹脂、ポリブタジエンおよびこの変性物、ポリスチレンおよびこの変性物、ポリエチレンおよびこの変性物、ベンゾオキサジン化合物から選ばれる少なくとも1種以上とを含有する、硬化性樹脂組成物。
【請求項4】
請求項2に記載の硬化性樹脂組成物を硬化してなる硬化物。
【請求項5】
請求項2に記載の硬化性樹脂組成物を硬化してなる炭素繊維強化複合材料。
【請求項6】
請求項2に記載の硬化性樹脂組成物を硬化してなる半導体封止材。
【請求項7】
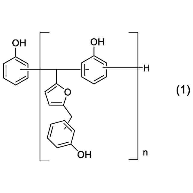
下記式(1)で表されるフェノール樹脂。
TIFF
2025131516000009.tif
47
170
(式(1)中、nは繰り返し数の平均値であり、0<n≦15の実数である。)
発明の詳細な説明
【技術分野】
【0001】
本発明は、特定構造のエポキシ樹脂、硬化性樹脂組成物、およびこれらの硬化物に関するものであり、半導体封止材、プリント配線基板、ビルドアップ積層板などの電気・電子部品、炭素繊維強化プラスチック、ガラス繊維強化プラスチックなどの軽量高強度材料の分野で好適に使用される。
続きを表示(約 1,700 文字)
【背景技術】
【0002】
エポキシ樹脂は種々の硬化剤で硬化させることにより、機械的性質、耐水性、耐薬品性、耐熱性、電気的性質などに優れた硬化物となり、接着剤、塗料、積層板、成形材料、注型材料などの幅広い分野に利用されている。エポキシ樹脂および硬化剤をマトリックス樹脂として強化繊維に含浸、硬化させた炭素繊維強化複合材料(CFRP)は、軽量化・高強度化といった特性を付与できることから、近年、航空機構造用部材、風車の羽根、自動車外板およびICトレイやノートパソコンの筐体(ハウジング)などのコンピュータ用途等に広く展開され、その需要は増加しつつある。特に、その成型体の軽量且つ高強度という特性をいかし、航空機用途のマトリックスレジンに使用されている。
【0003】
中でも、強化繊維で強化した繊維強化樹脂成形品は、軽量でありながら、機械的強度に優れる特徴が注目され、自動車や航空機、船舶等の筐体或いは各種部材をはじめ、様々な構造体用途での利用が拡大しており、特に、炭素繊維複合材料(CFRP)は、航空機や自動車分野への適用が拡大していることに伴い、そのマトリックス樹脂としてのエポキシ樹脂の使用量は増加の一途をたどっている。
【0004】
従来、エポキシ樹脂や硬化剤の原料としては石油由来のものが多く使用されてきたが、近年、石油資源の枯渇が懸念されてきており、多くの材料で植物等の再生可能資源の利用や硬化物を分解することによる再利用方法が検討されている。
【先行技術文献】
【特許文献】
【0005】
特開2007-211254号公報
【発明の概要】
【発明が解決しようとする課題】
【0006】
特許文献1は、バイオマス由来の原料を使用したエポキシ樹脂について記載している。しかしながら、特許文献1に記載のエポキシ樹脂は耐熱性が低いためCFRP材料として適用するには課題があった。
【0007】
本発明は、上記状況を鑑みてなされたものであり、耐熱性に優れるエポキシ樹脂、前記エポキシ樹脂を含有する硬化性樹脂組成物、およびこれらを硬化した炭素繊維強化複合材料、ならびにエポキシ樹脂の前駆体のフェノール樹脂を提供することを目的とする。
【課題を解決するための手段】
【0008】
すなわち本発明は、以下の[1]~[7]に示すものである。なお、本発明において「(数値1)~(数値2)」は上下限値を含むことを示す。
[1]
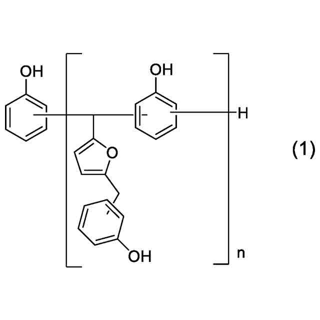
下記式(1)で表されるフェノール樹脂とエピハロヒドリンとを反応して得られるエポキシ樹脂。
【0009】
TIFF
2025131516000001.tif
47
170
【0010】
(式(1)中、nは繰り返し数の平均値であり、0<n≦15の実数である。)
[2]
前項[1]に記載のエポキシ樹脂と、硬化剤とを含有する硬化性樹脂組成物。
[3]
前項[1]に記載のエポキシ樹脂と、硬化促進剤、重合開始剤、前記エポキシ樹脂以外のエポキシ樹脂、活性エステル化合物、フェノール樹脂、ポリフェニレンエーテル化合物、エチレン性不飽和結合を有する化合物、イソシアネート樹脂、ポリアミド樹脂、マレイミド化合物、シアネートエステル樹脂、ポリイミド樹脂、ポリブタジエンおよびこの変性物、ポリスチレンおよびこの変性物、ポリエチレンおよびこの変性物、ベンゾオキサジン化合物から選ばれる少なくとも1種以上とを含有する、硬化性樹脂組成物。
[4]
前項[2]に記載の硬化性樹脂組成物を硬化してなる硬化物。
[5]
前項[2]に記載の硬化性樹脂組成物を硬化してなる炭素繊維強化複合材料。
[6]
前項[2]に記載の硬化性樹脂組成物を硬化してなる半導体封止材。
[7]
下記式(1)で表されるフェノール樹脂。
(【0011】以降は省略されています)
この特許をJ-PlatPat(特許庁公式サイト)で参照する
関連特許
日本化薬株式会社
インク
1か月前
日本化薬株式会社
ガス発生器
20日前
日本化薬株式会社
ガス発生器
1か月前
日本化薬株式会社
ガス発生器
1か月前
日本化薬株式会社
ガス発生器
22日前
日本化薬株式会社
防護システム
1か月前
日本化薬株式会社
前処理組成物
19日前
日本化薬株式会社
インク組成物
1か月前
日本化薬株式会社
メタノール改質触媒
1か月前
日本化薬株式会社
インク組成物及び捺染方法
19日前
日本化薬株式会社
ガス発生器及びエアバッグ装置
1か月前
日本化薬株式会社
ガス発生器およびその製造方法
28日前
日本化薬株式会社
プリテンショナー用ガス発生装置
26日前
日本化薬株式会社
ガス発生器およびガス発生器の製造方法
2か月前
日本化薬株式会社
インクジェットインク印刷物の製造方法。
1か月前
日本化薬株式会社
安全装置、および、安全装置を備えた飛行体
1か月前
日本化薬株式会社
アクチュエータ、安全装置、および、飛行体
14日前
日本化薬株式会社
インクジェット記録装置用水系顔料インクセット
1か月前
日本化薬株式会社
メタクロレイン及び/又はメタクリル酸の製造用触媒
19日前
日本化薬株式会社
アントラキノン化合物を含有する液晶組成物及び調光素子
1か月前
日本化薬株式会社
画像表示システム及びヘッドアップディスプレイシステム
15日前
日本化薬株式会社
アントラキノン化合物を含有する液晶組成物及び調光素子
1か月前
日本化薬株式会社
アントラキノン化合物を含有する液晶組成物及び調光素子
1か月前
日本化薬株式会社
アントラキノン化合物を含有する液晶組成物及び調光素子
1か月前
日本化薬株式会社
アントラキノン化合物を含有する液晶組成物及び調光素子
1か月前
日本化薬株式会社
アントラキノン化合物を含有する液晶組成物及び調光素子
1か月前
日本化薬株式会社
アントラキノン化合物を含有する液晶組成物及び調光素子
21日前
日本化薬株式会社
ガス発生器
1か月前
日本化薬株式会社
硬化性高分子化合物、該化合物を含む樹脂組成物、及び硬化物
1か月前
日本化薬株式会社
インクジェット捺染用白色顔料インク組成物、及びインクセット
15日前
日本化薬株式会社
ニロチニブ錠剤
2か月前
日本化薬株式会社
水系インク組成物、水系インクセット及びインクジェット記録方法
1か月前
日本化薬株式会社
インクジェット用インク、インクセット、インクジェット記録方法
15日前
日本化薬株式会社
液晶滴下工法用液晶シール剤の製造方法、及び液晶表示パネルの製造方法
20日前
日本化薬株式会社
アゾ化合物又はその塩、並びにそれらを含有する偏光膜、偏光板及び表示装置
20日前
国立大学法人北海道大学
触媒及びそれを用いた不飽和カルボン酸の製造方法
20日前
続きを見る
他の特許を見る