TOP
|
特許
|
意匠
|
商標
特許ウォッチ
Twitter
他の特許を見る
10個以上の画像は省略されています。
公開番号
2025149927
公報種別
公開特許公報(A)
公開日
2025-10-08
出願番号
2025041476
出願日
2025-03-14
発明の名称
アントラキノン化合物を含有する液晶組成物及び調光素子
出願人
日本化薬株式会社
代理人
主分類
C09K
19/60 20060101AFI20251001BHJP(染料;ペイント;つや出し剤;天然樹脂;接着剤;他に分類されない組成物;他に分類されない材料の応用)
要約
【課題】遮光性に優れた液晶組成物及び該組成物を含有する調光素子を提供すること。
【解決手段】
(A)色素化合物、(B)液晶材料を含有する液晶組成物であって、該(A)色素化合物が複数種の特定構造のアントラキノン化合物を含有する液晶組成物。
【選択図】なし
特許請求の範囲
【請求項1】
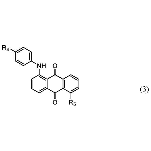
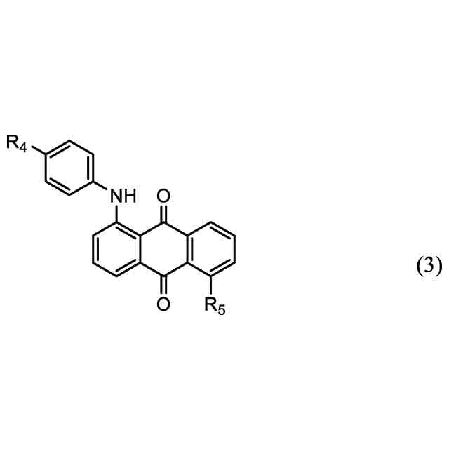
(A)色素化合物、(B)液晶材料を含有する液晶組成物であって、該(A)色素化合物が下記一般式(1)で表されるアントラキノン化合物および、下記一般式(2)又は(3)で表されるアントラキノン化合物のうち、少なくとも一つの化合物を含む液晶組成物。
TIFF
2025149927000019.tif
59
170
(式中、R
1
、R
2
はそれぞれ水素原子、炭素数1乃至18の直鎖若しくは分岐鎖のアルキル基を表す。)
TIFF
2025149927000020.tif
59
170
(式中、R
3
は水素原子、炭素数1乃至18の直鎖若しくは分岐鎖のアルキル基を表す。)
TIFF
2025149927000021.tif
46
170
(式中、R
4
は水素原子、炭素数1乃至18の直鎖若しくは分岐鎖のアルキル基を表し、R
5
は水素原子、ヒドロキシ基若しくはハロゲン原子を表す。)
続きを表示(約 150 文字)
【請求項2】
前記(A)色素化合物の前記(B)液晶材料に対する濃度が、0.5乃至10質量%である請求項1に記載の液晶組成物。
【請求項3】
少なくとも一方が透明電極を有する透明基板である対向配置された一対の基板間に、請求項1又は2に記載の液晶組成物を挟持してなる調光素子。
発明の詳細な説明
【技術分野】
【0001】
本発明は、アントラキノン化合物を含有する液晶組成物及び調光素子に関する。
続きを表示(約 2,200 文字)
【背景技術】
【0002】
電車や自動車等の車両、ビジネスビルや病院等の建物の窓、扉及び間仕切り等において、プライバシーの保護等を目的として、ポリマー中に液晶を分散させて得られるフィルムや光硬化性化合物と液晶とを含む組成物の光硬化時に液晶物質が相分離する性質を利用して調光層を形成したフィルム等を、調光パネルとしてブラインドの代りに用いることが一般化してきている。通常このような調光パネルでは、電圧印加の有無により光の透過や散乱を制御して視界を遮ることはできるが、遮光はできず光散乱により眩しさが増す傾向にあり、眩しさの軽減やコントラスト向上等を目的として、調光パネルの材料に色素を用いる試みがなされている。例えばこの様な調光パネルを自動車の窓ガラスに用いる場合、透明時に曇りがなく視界良好であること、高いコントラストが得られることに加えて、屋外使用による長期暴露の影響により、高温下で長時間光を照射した場合においても透過率が低下しない耐光性も求められており、実用性や意匠性の面から可視光を遮る事のできる黒色素子の需要も高まっている。
【0003】
上記の市場要望を満たす為に、色素を含有する液晶組成物を用いたGH(ゲストホスト)型といわれる液晶表示素子が種々提案されており、視野角や明るさ等に特徴を有するこれらの液晶表示素子は、車載用途や調光素子用途においても実用化されている。
【0004】
調光素子用の液晶組成物に一般的に用いられる二色性色素には、素子とした場合にコントラストを高めるための二色比は元より、耐光性、耐UV性、耐熱性、液晶組成物の構成成分に対する二色性色素の相溶性(溶解度)などが求められている。また実用性や意匠性の面から、より可視光を遮る事のできるものが求められている。特許文献5には遮光性に優れた材料として極大吸収波長の透過率が低い二色性色素が開示されているが、その他の波長での透過率が十分に低いとは言い難い。広い波長範囲で透過率を低くするために色素の使用量が増えると、色素が析出したり素子にした際にコントラストが低下したりしてしまうため、より少ない色素量で広い波長範囲の透過率を低くすることができる液晶組成物が求められている。
【先行技術文献】
【特許文献】
【0005】
特表昭63-501512号公報
特開平03-47392号公報
特開2018-205746号公報
特開2011-190314号公報
WO2022/138440
【発明の概要】
【発明が解決しようとする課題】
【0006】
本発明は、特定構造の色素化合物を含有する液晶組成物であり、遮光性に優れた調光素子を提供することを目的とする。
【課題を解決するための手段】
【0007】
本発明者らは、鋭意検討した結果、複数種の特定構造のアントラキノン化合物(二色性色素)を含有する液晶組成物を用いることにより上記課題が解決できることを見出し、本発明を完成するに至った。
すなわち、本発明は、
(1)(A)色素化合物、(B)液晶材料を含有する液晶組成物であって、該(A)色素化合物が下記一般式(1)で表されるアントラキノン化合物および、下記一般式(2)又は(3)で表されるアントラキノン化合物のうち、少なくとも一つの化合物を含む液晶組成物。
TIFF
2025149927000001.tif
59
170
(式中、R
1
、R
2
はそれぞれ、水素原子、炭素数1乃至18の直鎖若しくは分岐鎖のアルキル基を表す。)
TIFF
2025149927000002.tif
59
170
(式中、R
3
は水素原子、炭素数1乃至18の直鎖若しくは分岐鎖のアルキル基を表す。)
TIFF
2025149927000003.tif
46
170
(式中、R
4
は水素原子、炭素数1乃至18の直鎖若しくは分岐鎖のアルキル基を表し、R
5
は水素原子、ヒドロキシ基若しくはハロゲン原子を表す。)
(2)前記(A)色素化合物の前記(B)液晶材料に対する濃度が、0.5乃至10質量%である(1)に記載の液晶組成物。
(3)少なくとも一方が透明電極を有する透明基板である対向配置された一対の基板間に、(1)又は(2)に記載の液晶組成物を挟持してなる調光素子。
【発明の効果】
【0008】
本発明の液晶組成物を用いることにより、遮光性に優れた調光素子が得られる。
【発明を実施するための形態】
【0009】
以下に本発明を詳細に説明する。
本発明の液晶組成物(以下、単に「本発明の組成物」とも記載する)は、下記式(1)で表されるアントラキノン化合物を含有する。
本発明の組成物が含有する式(1)乃至(3)で表されるアントラキノン化合物は、本発明の組成物において二色性色素として機能する。
【0010】
TIFF
2025149927000004.tif
59
170
(【0011】以降は省略されています)
この特許をJ-PlatPat(特許庁公式サイト)で参照する
関連特許
日本化薬株式会社
ガス発生器
10日前
日本化薬株式会社
ガス発生器
12日前
日本化薬株式会社
前処理組成物
9日前
日本化薬株式会社
インク組成物及び捺染方法
9日前
日本化薬株式会社
プリテンショナー用ガス発生装置
16日前
日本化薬株式会社
アクチュエータ、安全装置、および、飛行体
4日前
日本化薬株式会社
メタクロレイン及び/又はメタクリル酸の製造用触媒
9日前
日本化薬株式会社
画像表示システム及びヘッドアップディスプレイシステム
5日前
日本化薬株式会社
アントラキノン化合物を含有する液晶組成物及び調光素子
11日前
日本化薬株式会社
インクジェット捺染用白色顔料インク組成物、及びインクセット
5日前
日本化薬株式会社
インクジェット用インク、インクセット、インクジェット記録方法
5日前
日本化薬株式会社
液晶滴下工法用液晶シール剤の製造方法、及び液晶表示パネルの製造方法
10日前
日本化薬株式会社
アゾ化合物又はその塩、並びにそれらを含有する偏光膜、偏光板及び表示装置
10日前
国立大学法人北海道大学
触媒及びそれを用いた不飽和カルボン酸の製造方法
10日前
日本化薬株式会社
縮合多環芳香族化合物、有機半導体材料、光電変換素子用材料、有機薄膜、及び有機光電変換素子
9日前
ベック株式会社
被覆材
3か月前
日本化薬株式会社
インク
23日前
ベック株式会社
水性被覆材
11日前
ベック株式会社
被膜形成方法
2か月前
ベック株式会社
被膜形成方法
12日前
日本製紙株式会社
圧着紙
9日前
日本化薬株式会社
インク組成物
23日前
株式会社日本触媒
インクセット
1か月前
日本化薬株式会社
前処理組成物
9日前
株式会社KRI
潜熱蓄熱材組成物
9日前
東ソー株式会社
印刷インキ組成物
2日前
関西ペイント株式会社
塗料組成物
2か月前
メック株式会社
表面処理剤
4日前
ぺんてる株式会社
水性インキ組成物
3か月前
日澱化學株式会社
ホットメルト接着剤
11日前
東ソー株式会社
土木用注入薬液組成物
24日前
シヤチハタ株式会社
油性インキ組成物
2か月前
アイカ工業株式会社
ホットメルト組成物
12日前
アイカ工業株式会社
光硬化型圧着組成物
2か月前
大日精化工業株式会社
顔料分散液
1か月前
AGC株式会社
液状組成物
2か月前
続きを見る
他の特許を見る