TOP
|
特許
|
意匠
|
商標
特許ウォッチ
Twitter
他の特許を見る
10個以上の画像は省略されています。
公開番号
2025130941
公報種別
公開特許公報(A)
公開日
2025-09-09
出願番号
2024028349
出願日
2024-02-28
発明の名称
硬化性高分子化合物、該化合物を含む樹脂組成物、及び硬化物
出願人
日本化薬株式会社
代理人
主分類
C08F
299/04 20060101AFI20250902BHJP(有機高分子化合物;その製造または化学的加工;それに基づく組成物)
要約
【課題】本発明は、アルカリ性水溶液に可溶であり、硬化物の誘電率及び誘電正接は低く、接着力の高い硬化性高分子化合物を提供する。
【解決手段】下記式(1)で表される高分子化合物。
<com:Image com:imageContentCategory="Drawing"> <com:ImageFormatCategory>TIFF</com:ImageFormatCategory> <com:FileName>2025130941000023.tif</com:FileName> <com:HeightMeasure com:measureUnitCode="Mm">29</com:HeightMeasure> <com:WidthMeasure com:measureUnitCode="Mm">170</com:WidthMeasure> </com:Image>
(式(1)中、Xは独立して芳香族或いは脂肪族テトラカルボン酸無水物のカルボキシ基を除いた残基;Yは独立して炭素数16以上のジオール化合物の水酸基を除いた二価の残基;Aは独立して二価の結合基;Zは独立してカルボキシ基、下記式(2)の構造等;nは繰り返し単位数の平均値であって、0.1~20の実数)
<com:Image com:imageContentCategory="Drawing"> <com:ImageFormatCategory>TIFF</com:ImageFormatCategory> <com:FileName>2025130941000024.tif</com:FileName> <com:HeightMeasure com:measureUnitCode="Mm">22</com:HeightMeasure> <com:WidthMeasure com:measureUnitCode="Mm">170</com:WidthMeasure> </com:Image>
【選択図】なし
特許請求の範囲
【請求項1】
下記式(1)で表される高分子化合物。
TIFF
2025130941000020.tif
29
170
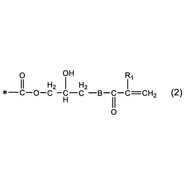
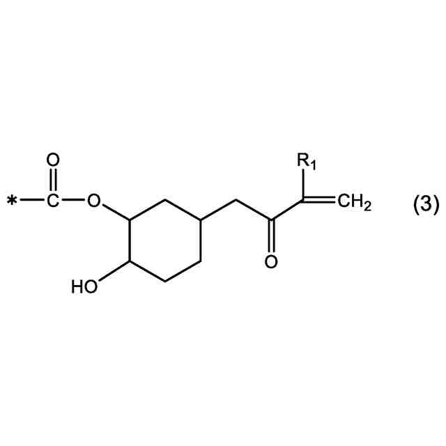
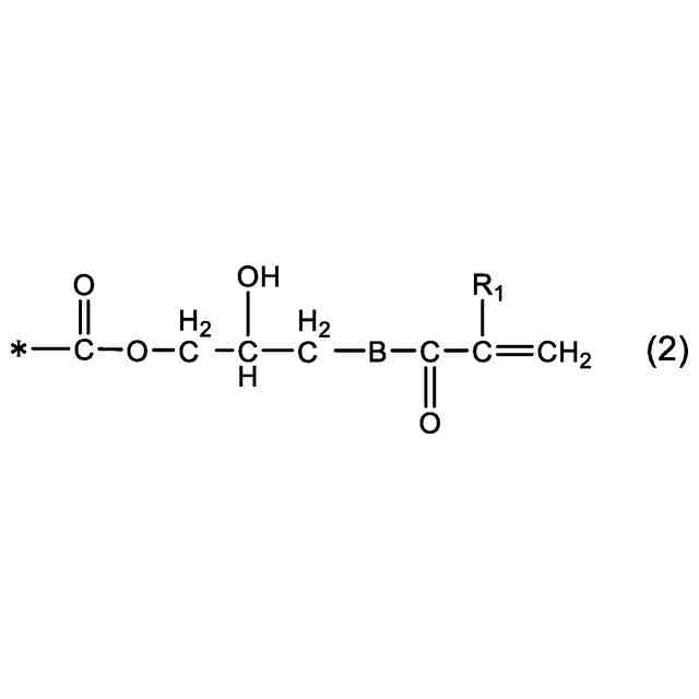
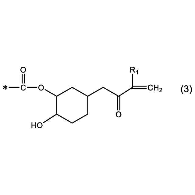
(式(1)中、Xはそれぞれ独立して芳香族或いは脂肪族テトラカルボン酸無水物のカルボキシ基を除いた残基を表す。Yはそれぞれ独立して炭素数16以上のジオール化合物の水酸基を除いた二価の残基を表す。Aはそれぞれ独立して二価の結合基を表す。Zはそれぞれ独立してカルボキシ基、下記式(2)の構造、または下記式(3)の構造を表す。nは繰り返し単位数の平均値であって、0.1~20の実数である。)
TIFF
2025130941000021.tif
22
170
TIFF
2025130941000022.tif
29
170
(式(2)、(3)中、*は式(1)中のXとの結合位置を表す。R
1
はメチル基或いは水素原子であり、Bは酸素原子あるいは二価の結合基を表す。)
続きを表示(約 210 文字)
【請求項2】
請求項1に記載の高分子化合物及びラジカル開始剤を含む樹脂組成物。
【請求項3】
一分子中に1以上の官能基を有するラジカル反応性モノマーを含む請求項2に記載の樹脂組成物。
【請求項4】
一分子中に2以上の官能基数を有するラジカル反応性ポリマーを含む請求項2に記載の樹脂組成物。
【請求項5】
請求項2から4のいずれか一項に記載の樹脂組成物の硬化物。
発明の詳細な説明
【技術分野】
【0001】
本発明は、ラジカル開始剤と併用することにより、熱あるいは光硬化反応が可能な高分子化合物に関する。
続きを表示(約 1,600 文字)
【背景技術】
【0002】
従来、プリント配線基板などの電子材料には、接着性が高く絶縁性、耐熱性に優れたエポキシ樹脂が広く使用されている。またレジスト分野では、光開始剤を用いて特定部分を硬化反応せしめた後、TMAH(テトラメチルアンモニウムヒドロキシド)水溶液などのアルカリ性水溶液で未硬化部分を除去する現像方法が一般的に採用されていることから、レジスト用樹脂にはアルカリ可溶性が求められており、多官能エポキシ樹脂のエポキシ基にアクリル酸を付加させ、生成するアルコール性水酸基にテトラヒドロ無水フタル酸などの酸無水物をハーフエステル化して反応させた樹脂が広く用いられている。しかしながら、は極性の高いカルボン酸を分子中に多量に含むため、その硬化物の誘電正接は高くなり高周波用途には使用できないという問題があった。
【先行技術文献】
【特許文献】
【0003】
特開昭63-132915号公報
特開2001-75274号公報
特開2017-122912号公報
特許5459483号公報
【発明の概要】
【発明が解決しようとする課題】
【0004】
特許文献1、2及び3にはジオ一ル化合物と分子中に2個の酸無水物基を有する多塩基酸無水物と分子中に1個の水酸基を有する(メタ)アクリレートを反応させて得られる重合性カルボキシ基含有高分子化合物が、アルカリ可溶性を有する硬化性樹脂として開示されているが、これらの高分子化合物は、官能基が分子末端にのみ存在しているため、その硬化物のガラス転移温度などの耐熱性が低く、更にカルボン酸の割合が高いために誘電正接が高くなり、低い誘電正接を要求される近年の高周波用途には適していない。特許文献4には水添ビスフェノールAやシクロヘキサンジメタノールなどの炭素数8~15の脂環式あるいは芳香族ジオ一ル化合物と分子中に2個の酸無水物基を有する多塩基酸無水物とグリシジルメタクリレートを反応させて得られる重合性高分子化合物が記載されているが、当該明細書に記載されているジオール各種を使用した場合は、10GHz以上の周波数における硬化物の誘電正接が高くなりすぎ、同様に近年の高周波用途には使用できない。
【0005】
本発明は、上記の点に鑑みてなされたものであり、アルカリ性水溶液に可溶であり、硬化物の誘電率及び誘電正接は低く、接着力の高い硬化性高分子化合物を提供することを目的とするものである。
【課題を解決するための手段】
【0006】
即ち本発明は、下記[1]~[5]に関する。なお、本願において「(数値1)~(数値2)」は上下限値を含むことを示す。
[1]
下記式(1)で表される高分子化合物。
【0007】
TIFF
2025130941000001.tif
29
170
【0008】
(式(1)中、Xはそれぞれ独立して芳香族或いは脂肪族テトラカルボン酸無水物のカルボキシ基を除いた残基を表す。Yは炭素数16以上のジオールの水酸基を除いた二価の残基を表す。Aはそれぞれ独立して水素原子あるいはモノアルコールの水酸基を除いた残基を表す。Zはそれぞれ独立してカルボキシ基、下記式(2)の構造、または下記式(3)の構造を表す。nは繰り返し単位数の平均値であって、0.1~20の実数である。)
【0009】
TIFF
2025130941000002.tif
22
170
【0010】
TIFF
2025130941000003.tif
29
170
(【0011】以降は省略されています)
この特許をJ-PlatPat(特許庁公式サイト)で参照する
関連特許
日本化薬株式会社
インク
1か月前
日本化薬株式会社
ガス発生器
1か月前
日本化薬株式会社
ガス発生器
1か月前
日本化薬株式会社
ガス発生器
20日前
日本化薬株式会社
ガス発生器
22日前
日本化薬株式会社
前処理組成物
19日前
日本化薬株式会社
インク組成物
1か月前
日本化薬株式会社
防護システム
1か月前
日本化薬株式会社
メタノール改質触媒
1か月前
日本化薬株式会社
インク組成物及び捺染方法
19日前
日本化薬株式会社
ガス発生器及びエアバッグ装置
1か月前
日本化薬株式会社
ガス発生器およびその製造方法
28日前
日本化薬株式会社
プリテンショナー用ガス発生装置
26日前
日本化薬株式会社
インクジェットインク印刷物の製造方法。
1か月前
日本化薬株式会社
アクチュエータ、安全装置、および、飛行体
14日前
日本化薬株式会社
安全装置、および、安全装置を備えた飛行体
1か月前
日本化薬株式会社
インクジェット記録装置用水系顔料インクセット
1か月前
日本化薬株式会社
メタクロレイン及び/又はメタクリル酸の製造用触媒
19日前
日本化薬株式会社
アントラキノン化合物を含有する液晶組成物及び調光素子
1か月前
日本化薬株式会社
アントラキノン化合物を含有する液晶組成物及び調光素子
1か月前
日本化薬株式会社
アントラキノン化合物を含有する液晶組成物及び調光素子
1か月前
日本化薬株式会社
アントラキノン化合物を含有する液晶組成物及び調光素子
1か月前
日本化薬株式会社
画像表示システム及びヘッドアップディスプレイシステム
15日前
日本化薬株式会社
アントラキノン化合物を含有する液晶組成物及び調光素子
21日前
日本化薬株式会社
アントラキノン化合物を含有する液晶組成物及び調光素子
1か月前
日本化薬株式会社
アントラキノン化合物を含有する液晶組成物及び調光素子
1か月前
日本化薬株式会社
ガス発生器
1か月前
日本化薬株式会社
硬化性高分子化合物、該化合物を含む樹脂組成物、及び硬化物
1か月前
日本化薬株式会社
インクジェット捺染用白色顔料インク組成物、及びインクセット
15日前
日本化薬株式会社
水系インク組成物、水系インクセット及びインクジェット記録方法
1か月前
日本化薬株式会社
インクジェット用インク、インクセット、インクジェット記録方法
15日前
日本化薬株式会社
液晶滴下工法用液晶シール剤の製造方法、及び液晶表示パネルの製造方法
20日前
日本化薬株式会社
アゾ化合物又はその塩、並びにそれらを含有する偏光膜、偏光板及び表示装置
20日前
国立大学法人北海道大学
触媒及びそれを用いた不飽和カルボン酸の製造方法
20日前
日本化薬株式会社
トリアジン構造を有する化合物、該化合物を含有する組成物、及び半導体素子。
1か月前
日本化薬株式会社
エポキシ樹脂、硬化性樹脂組成物、およびこれらの硬化物、ならびにフェノール樹脂
1か月前
続きを見る
他の特許を見る