TOP
|
特許
|
意匠
|
商標
特許ウォッチ
Twitter
他の特許を見る
10個以上の画像は省略されています。
公開番号
2025131696
公報種別
公開特許公報(A)
公開日
2025-09-09
出願番号
2025093006,2022533414
出願日
2025-06-04,2020-12-04
発明の名称
二重特異性抗BCMA×抗CD3抗体により多発性骨髄腫を治療する方法
出願人
リジェネロン・ファーマシューティカルズ・インコーポレイテッド
,
REGENERON PHARMACEUTICALS, INC.
代理人
個人
,
個人
主分類
A61K
39/395 20060101AFI20250902BHJP(医学または獣医学;衛生学)
要約
【課題】BCMA+がんを治療する方法を提供する。
【解決手段】B細胞成熟抗原(BCMA)は、悪性形質細胞上に発現する。本発明は、BCMAおよびCD3の両方に結合し、BCMA発現腫瘍細胞の存在下でCD3複合体を介してT細胞を活性化する二重特異性抗体(bsAb)を使用して、多発性骨髄腫を治療する方法を提供する。ある特定の実施形態において、本発明の二重特異性抗原結合分子は、BCMAを発現する腫瘍の成長を阻害することができる。
【選択図】図1
特許請求の範囲
【請求項1】
BCMA+がんの治療を必要とする対象においてBCMA+がんを治療する方法であって、標的腫瘍細胞上のヒトB細胞成熟抗原(BCMA)に特異的に結合する第1の抗原結合ドメインと、ヒトCD3に特異的に結合する第2の抗原結合ドメインと、を含む二重特異性抗体を前記対象に投与することを含み、前記二重特異性抗体が、少なくとも1週間に1mgの用量で前記対象に投与される、方法。
続きを表示(約 1,300 文字)
【請求項2】
前記BCMA+がんが、多発性骨髄腫である、請求項1に記載の方法。
【請求項3】
前記第1の抗原結合ドメインが、
(a)配列番号66のアミノ酸配列を含む重鎖可変領域(HCVR)内に含まれる3つの重鎖相補性決定領域(HCDR1、HCDR2、およびHCDR3)、および
(b)配列番号82のアミノ酸配列を含む軽鎖可変領域(LCVR)内に含まれる3つの軽鎖相補性決定領域(LCDR1、LCDR2、およびLCDR3)、を含む、請求項1または2に記載の方法。
【請求項4】
前記第1の抗原結合ドメインが、配列番号68のアミノ酸配列を含むHCDR1、配列番号70のアミノ酸配列を含むHCDR2、および配列番号72のアミノ酸配列を含むHCDR3、を含む、請求項3に記載の方法。
【請求項5】
前記第1の抗原結合ドメインが、配列番号84のアミノ酸配列を含むLCDR1、配列番号86のアミノ酸配列を含むLCDR2、および配列番号88のアミノ酸配列を含むLCDR3、を含む、請求項3または4に記載の方法。
【請求項6】
前記第1の抗原結合ドメインが、配列番号66のアミノ酸配列を含むHCVR、および配列番号82のアミノ酸配列を含むLCVR、を含む、請求項3に記載の方法。
【請求項7】
前記第2の抗原結合ドメインが、
(a)配列番号90または配列番号98のアミノ酸配列を含む重鎖可変領域(HCVR)内に含まれる3つの重鎖相補性決定領域(HCDR1、HCDR2、およびHCDR3)、および
(b)配列番号82のアミノ酸配列を含む軽鎖可変領域(LCVR)内に含まれる3つの軽鎖相補性決定領域(LCDR1、LCDR2、およびLCDR3)、を含む、請求項1~6のいずれか一項に記載の方法。
【請求項8】
前記第2の抗原結合ドメインが、
(a)配列番号92または配列番号100のアミノ酸配列を含むHCDR1、
(b)配列番号94または配列番号102のアミノ酸配列を含むHCDR2、および
(c)配列番号96または配列番号104のアミノ酸配列を含むHCDR3、を含む、請求項7に記載の方法。
【請求項9】
前記第2の抗原結合ドメインが、配列番号84のアミノ酸配列を含むLCDR1、配列番号86のアミノ酸配列を含むLCDR2、および配列番号88のアミノ酸配列を含むLCDR3、を含む、請求項7または8に記載の方法。
【請求項10】
前記第2の抗原結合ドメインが、
(a)配列番号92、94、96のアミノ酸配列をそれぞれ含む、HCDR1、HCDR2、HCDR3ドメイン、および配列番号84、86、88のアミノ酸配列をそれぞれ含む、LCDR1、LCDR2、LCDR3ドメイン、または
(b)配列番号100、102、104のアミノ酸配列をそれぞれ含む、HCDR1、HCDR2、HCDR3ドメイン、および配列番号84、86、88のアミノ酸配列をそれぞれ含む、LCDR1、LCDR2、LCDR3ドメイン、を含む、請求項9に記載の方法。
(【請求項11】以降は省略されています)
発明の詳細な説明
【技術分野】
【0001】
配列表の参照
本出願は、2020年12月4日に作成され、81,956バイトを含むファイル10702WO01-Sequenceとしてコンピュータ可読形式で提出された配列表を参照することにより組み込む。
続きを表示(約 3,000 文字)
【0002】
本発明は、BCMAおよびCD3に結合する二重特異性抗原結合分子(例えば、二重特異性抗体)、ならびにそれらの使用方法に関する。
【背景技術】
【0003】
TNFRSF17またはCD269としても知られているB細胞成熟抗原(BCMA)は、シグナルペプチドを欠き、システインに富む細胞外ドメインを含むIII型膜貫通タンパク質である。BCMAは、密接に関連するタンパク質とともに、発達の異なる段階でB細胞の生存を促進する。BCMAは、B細胞系列細胞、特に胚中心の濾胞間領域、ならびに形質芽細胞および分化した形質細胞でのみ発現する。BCMAは、形質細胞の分化中に選択的に誘導され、骨髄中の長寿命の形質細胞の最適な生存に必要である。多発性骨髄腫では、BCMAは、悪性形質細胞上に高レベルで広く発現しており、BCMAの発現は、正常細胞から活動性多発性骨髄腫への進行とともに増加する。BCMAはまた、ワルデンストレームマクログロブリン血症、バーキットリンパ腫、およびびまん性大細胞型B細胞リンパ腫を含む、他のB細胞悪性腫瘍でも発現する。非特許文献1。
【0004】
CD3は、T細胞受容体複合体(TCR)とともにT細胞上に発現されるホモ二量体またはヘテロ二量体抗原であり、T細胞活性化に必要とされる。機能的CD3は、4つの異なる鎖:イプシロン、ゼータ、デルタ、およびガンマのうちの2つの二量体会合から形成される。CD3の二量体配置は、ガンマ/イプシロン、デルタ/イプシロン、およびゼータ/ゼータを含む。CD3に対する抗体はT細胞上でCD3をクラスター化し、それによってペプチド負荷MHC分子によるTCRの関与と同様の様式でT細胞活性化を引き起こすことが示されている。したがって、抗CD3抗体はT細胞の活性化を含む治療目的のために提案されている。さらに、CD3および標的抗原に結合することができる二重特異性抗体は、標的抗原を発現する組織および細胞に対するT細胞免疫応答を標的化することを含む治療的使用のために提案されている。
【0005】
複数のクラスの治療に抵抗性のある多発性骨髄腫患者は、全生存率が低下している(三重および四重難治性:9.2か月、五重難治性:5.6か月)。非特許文献2。BCMAおよびCD3の両方に結合する二重特異性抗原結合分子を含む、BCMAを標的化する抗原結合分子は、BCMAを発現する細胞を特異的に標的化し、T細胞媒介的に死滅することが望まれる治療設定において有用であり得る。
【先行技術文献】
【非特許文献】
【0006】
Tai et al.,Immunotherapy,7(11):1187-1199,2015
Gandhi U.et al.,Leukemia 33:2266-2275,2013
【発明の概要】
【0007】
一態様では、本発明は、(a)インビトロFACS結合アッセイによって測定されるよ
うに、約100nM未満のEC
50
を有する、標的腫瘍細胞上のヒトB細胞成熟抗原(BCMA)に特異的に結合する第1の抗原結合ドメインと、(b)インビトロFACS結合アッセイによって測定されるように、約10
-6
M未満のEC
50
を有する、ヒトCD3に特異的に結合する第2の抗原結合ドメイン(D2)と、を含む、単離された二重特異性抗原結合分子を提供する。
【0008】
場合によっては、二重特異性抗原結合分子は、約10
-9
M未満のEC
50
を有するインビトロでT細胞を活性化する。場合によっては、二重特異性抗原結合分子は、約10
-9
M未満のEC
50
を有するBCMAを発現する腫瘍細胞株のインビトロT細胞死滅を媒介する。場合によっては、二重特異性抗原結合分子は、約10
-8
M未満のEC
50
を有するBCMAを発現する原発性骨髄腫細胞のインビトロ自己T細胞死滅を媒介する。いくつかの実施形態において、二重特異性抗原結合分子は、配列番号115に記載のBCMAのアミノ酸残基1~43と相互作用する。
【0009】
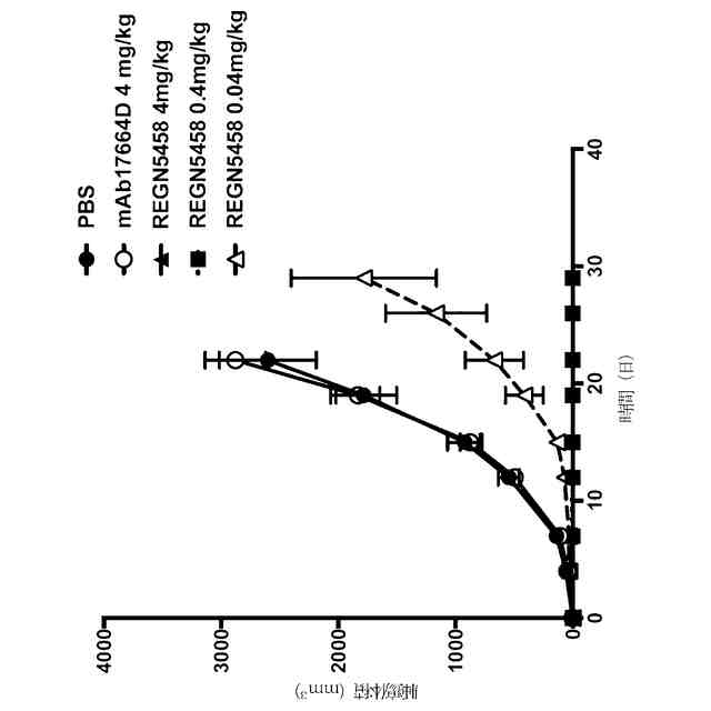
場合によっては、標的腫瘍細胞は、形質細胞である。場合によっては、標的腫瘍細胞は、多発性骨髄腫を罹患している患者からのものであるか、またはBCMAを発現するB細胞を有することを部分的に特徴とする別のB細胞障害からのものである。場合によっては、二重特異性抗原結合分子は、約0.04mg/kg~約4.0mg/kgの用量で、BCMA発現腫瘍細胞の増殖を阻害する。場合によっては、用量は、0.04mg/kg、0.4mg/kg、または4mg/kgである。場合によっては、用量は約0.001mg/kg、0.002mg/kg、0.003mg/kg、0.004mg/kg、0.005mg/kg、0.006mg/kg、0.007mg/kg、0.008mg/kg、0.009mg/kg、0.01mg/kg、0.02mg/kg、0.03mg/kg、0.04mg/kg、0.05mg/kg、0.06mg/kg、0.07mg/kg、0.08mg/kg、0.09mg/kg、0.1mg/kg、0.2mg/kg、0.3mg/kg、0.4mg/kg、0.5mg/kg、0.6mg/kg、0.7mg/kg、0.8mg/kg、0.9mg/kg、1mg/kg、1.1mg/kg、1.2mg/kg、1.3mg/kg、1.4mg/kg、1.5mg/kg、1.6mg/kg、1.7mg/kg、1.8mg/kg、1.9mg/kg、2mg/kg、3mg/kg、4mg/kg、5mg/kg、6mg/kg、7mg/kg、8mg/kg、9mg/kg、10mg/kg、11mg/kg、12mg/kg、13mg/kg、14mg/kg、15mg/kg、16mg/kg、17mg/kg、18mg/kg、19mg/kg、20mg/kgである。いくつかの実施形態において、用量は、投与を必要とする患者に、少なくとも7回の用量に対して少なくとも1週間に2回投与される。いくつかの実施形態において、用量は、投与を必要とする患者に、少なくとも1週間に1回投与される。いくつかの実施形態において、用量は、少なくとも2週間ごとに患者に投与される。いくつかの実施形態において、用量は、少なくとも4週間ごとに患者に投与される。場合によっては、二重特異性抗原結合分子は、骨髄腫細胞、リンパ腫細胞、および白血病細胞からなる群から選択されるBCMA+腫瘍細胞の増殖を阻害する。場合によっては、二重特異性抗原結合分子は、H929細胞、MOLP-8細胞、およびOPM細胞からなる群から選択されるBCMA+腫瘍細胞の増殖を阻害する。
【0010】
場合によっては、二重特異性抗原結合分子は、カニクイザルBCMAと交差反応する。場合によっては、二重特異性抗原結合分子は、カニクイザルBCMAと交差反応しない。
(【0011】以降は省略されています)
この特許をJ-PlatPat(特許庁公式サイト)で参照する
関連特許
個人
健康器具
7か月前
個人
短下肢装具
2か月前
個人
歯茎みが品
8か月前
個人
鼾防止用具
7か月前
個人
洗井間専家。
6か月前
個人
脈波測定方法
7か月前
個人
白内障治療法
6か月前
個人
脈波測定方法
7か月前
個人
マッサージ機
7か月前
個人
導電香
8か月前
個人
前腕誘導装置
2か月前
個人
嚥下鍛錬装置
2か月前
個人
バッグ式オムツ
3か月前
個人
胸骨圧迫補助具
27日前
個人
矯正椅子
4か月前
個人
ホバーアイロン
5か月前
個人
汚れ防止シート
3日前
個人
アイマスク装置
1か月前
個人
歯の修復用材料
3か月前
個人
歯の保護用シール
4か月前
個人
哺乳瓶冷まし容器
2か月前
個人
陣痛緩和具
2か月前
個人
口内洗浄具
7か月前
個人
湿布連続貼り機。
1か月前
個人
シャンプー
5か月前
個人
車椅子持ち上げ器
6か月前
三生医薬株式会社
錠剤
6か月前
株式会社大野
骨壷
3か月前
株式会社八光
剥離吸引管
4か月前
個人
性行為補助具
2か月前
株式会社 MTG
浴用剤
8か月前
個人
服薬支援装置
6か月前
個人
治療用酸化防御装置
21日前
個人
エア誘導コルセット
1か月前
株式会社結心
手袋
6か月前
株式会社ファンケル
化粧料
7か月前
続きを見る
他の特許を見る