TOP
|
特許
|
意匠
|
商標
特許ウォッチ
Twitter
他の特許を見る
10個以上の画像は省略されています。
公開番号
2025143442
公報種別
公開特許公報(A)
公開日
2025-10-01
出願番号
2025114361,2022512172
出願日
2025-07-07,2021-03-29
発明の名称
薬液耐性保護膜
出願人
日産化学株式会社
代理人
弁理士法人 津国
主分類
C08G
59/20 20060101AFI20250924BHJP(有機高分子化合物;その製造または化学的加工;それに基づく組成物)
要約
【課題】半導体基板加工時のウエットエッチング液に対する良好なマスク(保護)機能、保存安定性に優れる保護膜形成組成物及び該組成物を用いて製造した保護膜の提供。
【解決手段】下記式(1-1)で表される単位構造を有する重合体、熱重合開始剤及び溶剤を含む、半導体用ウエットエッチング液に対する保護膜形成組成物である。
<com:Image com:imageContentCategory="Drawing"> <com:ImageFormatCategory>TIFF</com:ImageFormatCategory> <com:FileName>2025143442000015.tif</com:FileName> <com:HeightMeasure com:measureUnitCode="Mm">67</com:HeightMeasure> <com:WidthMeasure com:measureUnitCode="Mm">161</com:WidthMeasure> </com:Image>
【選択図】なし
特許請求の範囲
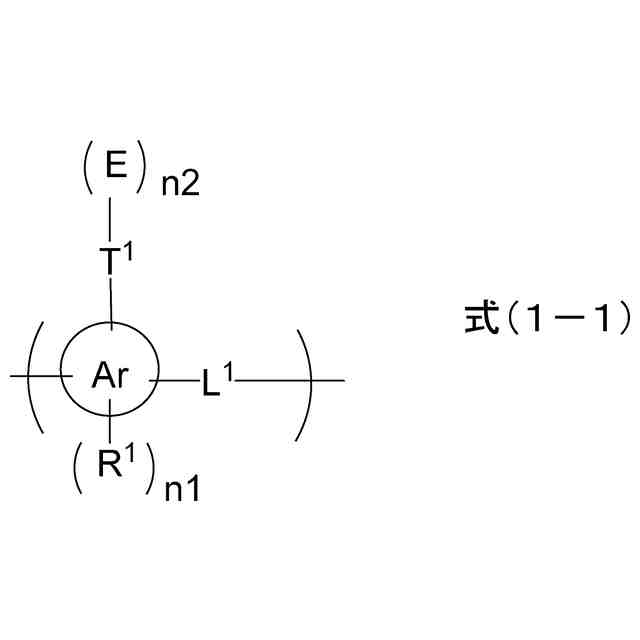
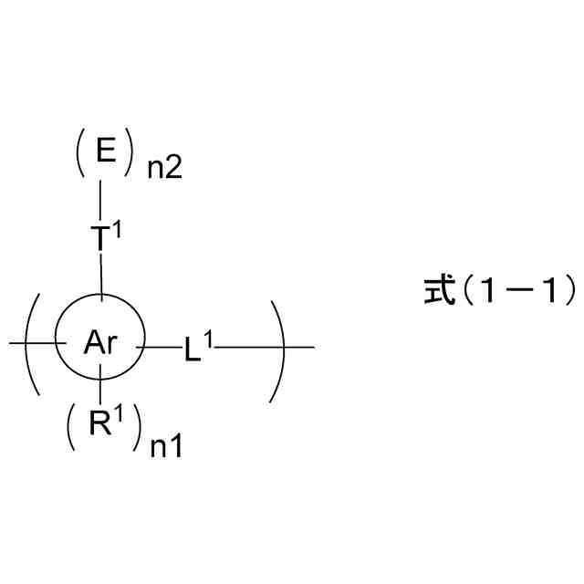
【請求項1】
下記式(1-1):
TIFF
2025143442000013.tif
67
161
(式(1-1)中、Arはベンゼン環、ナフタレン環又はアントラセン環を表し、R
1
はヒドロキシ基、メチル基で保護されていてもよいメルカプト基、メチル基で保護されていてもよいアミノ基、ハロゲノ基又は、ヘテロ原子で置換若しくは中断されていてもよくヒドロキシ基で置換されていてもよい炭素原子数1~10のアルキル基を表し、n1は0~3の整数を表し、n2は1又は2を表し、L
1
は単結合又は炭素原子数1~10のアルキレン基を表し、Eはエポキシ基を表し、T
1
はn2=1のとき、単結合、エーテル結合、エステル結合又はアミド結合で中断されていてもよい炭素原子数1~10のアルキレン基を表し、T
1
はn2=2のとき、窒素原子又はアミド結合を表す)で表される単位構造からなる重合体、熱重合開始剤及び溶剤を含む、半導体用ウエットエッチング液に対する保護膜形成組成物。
続きを表示(約 630 文字)
【請求項2】
上記L
1
が、下記式(1-2):
TIFF
2025143442000014.tif
11
161
(式(1-2)中、R
2
、R
3
は、互いに独立して水素原子、メチル基、エチル基、n-プロピル基、i-プロピル基、シクロプロピル基、n-ブチル基、i-ブチル基、s-ブチル基、t-ブチル基、シクロブチル基を表し、R
2
、R
3
は互いに結合して炭素原子数3~6の環を形成してもよい)で表される、請求項1に記載の半導体用ウエットエッチング液に対する保護膜形成組成物。
【請求項3】
前記熱重合開始剤が、熱カチオン重合開始剤である、請求項1記載の半導体用ウエットエッチング液に対する保護膜形成組成物。
【請求項4】
前記熱カチオン重合開始剤が、オニウム塩化合物である、請求項3に記載の半導体用ウエットエッチング液に対する保護膜形成組成物。
【請求項5】
上記半導体ウエットエッチング液が、過酸化水素水を含む、請求項1~4何れか1項に記載の半導体用ウエットエッチング液に対する保護膜形成組成物。
【請求項6】
請求項1~5のいずれか1項に記載の保護膜形成組成物からなる塗布膜の焼成物であることを特徴とする半導体用ウエットエッチング液に対する保護膜。
発明の詳細な説明
【技術分野】
【0001】
本発明は、半導体製造におけるリソグラフィープロセスにおいて、特に半導体用ウエットエッチング液に対する耐性に優れた保護膜を形成するための組成物に関する。また、前記保護膜を適用したレジストパターン付き基板の製造方法、及び半導体装置の製造方法に関する。
続きを表示(約 3,000 文字)
【背景技術】
【0002】
半導体製造において、基板とその上に形成されるレジスト膜との間にレジスト下層膜を設け、所望の形状のレジストパターンを形成するリソグラフィープロセスは広く知られている。レジストパターンを形成した後に基板の加工を行うが、その工程としてはドライエッチングが主に用いられるが、基板種によってはウエットエッチングが用いられる場合がある。特許文献1及び2には、特定の化合物を含む過酸化水素水溶液に対する保護膜形成組成物が開示されている。
【先行技術文献】
【特許文献】
【0003】
国際公開第2018/052130号公報
国際公開第2018/203464号公報
【発明の概要】
【発明が解決しようとする課題】
【0004】
レジスト下層膜をエッチングマスクとして用い、下地基板の加工をウエットエッチングで行う場合、レジスト下層膜には下地基板加工時にウエットエッチング液に対する良好なマスク機能(すなわち、マスクされている部分は基板を保護できる)が求められている。このような場合、該レジスト下層膜は基板に対する保護膜として用いられることになる。
従来、ウエットエッチング薬液の一種であるSC-1(アンモニア-過酸化水素溶液)に対する耐性を発現させるためには、低分子化合物(例えば没食子酸)を添加剤として適用する手法が用いられていたが、上記の課題を解決するには限界があった。
本発明の目的は、上記の課題を解決することである。
【課題を解決するための手段】
【0005】
本発明は以下を包含する。
[1]
下記式(1-1):
TIFF
2025143442000001.tif
67
161
(式(1-1)中、Arはベンゼン環、ナフタレン環又はアントラセン環を表し、R
1
はヒドロキシ基、メチル基で保護されていてもよいメルカプト基、メチル基で保護されていてもよいアミノ基、ハロゲノ基又は、ヘテロ原子で置換若しくは中断されていてもよくヒドロキシ基で置換されていてもよい炭素原子数1~10のアルキル基を表し、n1は0~3の整数を表し、n2は1又は2を表し、L
1
は単結合又は炭素原子数1~10のアルキレン基を表し、Eはエポキシ基を表し、T
1
はn2=1のとき、単結合、エーテル結合、エステル結合又はアミド結合で中断されていてもよい炭素原子数1~10のアルキレン基を表し、T
1
はn2=2のとき、窒素原子又はアミド結合を表す)で表される単位構造を有する重合体、熱重合開始剤及び溶剤を含む、半導体用ウエットエッチング液に対する保護膜形成組成物。
[2]
上記L
1
が、下記式(1-2):
TIFF
2025143442000002.tif
11
161
(式(1-2)中、R
2
、R
3
は、互いに独立して水素原子、メチル基、エチル基、n-プロピル基、i-プロピル基、シクロプロピル基、n-ブチル基、i-ブチル基、s-ブチル基、t-ブチル基、シクロブチル基を表し、R
2
、R
3
は互いに結合して炭素原子数3~6の環を形成してもよい)で表される、[1]に記載の半導体用ウエットエッチング液に対する保護膜形成組成物。
[3]
前記熱重合開始剤が、熱カチオン重合開始剤である、[1]記載の半導体用ウエットエッチング液に対する保護膜形成組成物。
[4]
前記熱カチオン重合開始剤が、オニウム塩化合物である、[3]に記載の半導体用ウエットエッチング液に対する保護膜形成組成物。
[5]
上記半導体ウエットエッチング液が、過酸化水素水を含む、[1]~[4]何れか1項に記載の半導体用ウエットエッチング液に対する保護膜形成組成物。
[6]
[1]~[5]のいずれか1項に記載の保護膜形成組成物からなる塗布膜の焼成物であることを特徴とする半導体用ウエットエッチング液に対する保護膜。
[7]
[1]~[5]のいずれか1項に記載の保護膜組成物を半導体基板上に塗布し焼成してレジスト下層膜としての保護膜を形成する工程、該保護膜上にレジスト膜を形成し、次いで露光、現像してレジストパターンを形成する工程を含み、半導体の製造に用いることを特徴とするレジストパターン付き基板の製造方法。
[8]
表面に無機膜が形成されていてもよい半導体基板上に、[1]~[5]のいずれか1項に記載の保護膜形成組成物を用いて保護膜を形成し、前記保護膜上にレジストパターンを形成し、前記レジストパターンをマスクとして前記保護膜をドライエッチングし前記無機膜又は前記半導体基板の表面を露出させ、ドライエッチング後の前記保護膜をマスクとして、半導体用ウエットエッチング液を用いて前記無機膜又は前記半導体基板をウエットエッチング及び/又は洗浄する工程を含む半導体装置の製造方法。
【発明の効果】
【0006】
本発明の保護膜形成組成物は、半導体製造におけるリソグラフィープロセスにおいて、下地基板加工時にウエットエッチング液に対する良好なマスク機能を有することにより、半導体基板の微細加工を容易に行うことができる。
【発明を実施するための形態】
【0007】
<保護膜形成組成物>
本願の保護膜形成組成物は、下記式(1-1):
【0008】
TIFF
2025143442000003.tif
67
161
【0009】
(式(1-1)中、Arはベンゼン環、ナフタレン環又はアントラセン環を表し、R
1
は前記ベンゼン環、ナフタレン環又はアントラセン環が含む水素原子の置換基としてのヒドロキシ基、メチル基で保護されていてもよいメルカプト基、メチル基で保護されていてもよいアミノ基、ハロゲノ基又は、ヘテロ原子で置換若しくは中断されていてもよくヒドロキシ基で置換されていてもよい炭素原子数1~10のアルキル基を表し、n1は0~3の整数を表し、n2は1又は2を表し、L
1
は単結合又は炭素原子数1~10のアルキレン基を表し、Eはエポキシ基を表し、T
1
はn2=1のとき、単結合又は、エーテル結合、エステル結合若しくはアミド結合で中断されていてもよい炭素原子数1~10のアルキレン基を表し、T
1
はn2=2のとき、窒素原子又はアミド結合を表す)で表される単位構造を有する重合体、熱重合開始剤及び溶剤を含む、半導体用ウエットエッチング液に対する保護膜形成組成物である。
【0010】
上記R
1
は、炭素原子数1~10のアルコキシ基であってもよい。
(【0011】以降は省略されています)
この特許をJ-PlatPat(特許庁公式サイト)で参照する
関連特許
国立大学法人九州大学
発光性イオン結晶
8日前
日産化学株式会社
接着剤組成物、積層体、及び加工された半導体基板の製造方法
1日前
日産化学株式会社
環式カルボニル化合物を用いたレジスト下層膜形成組成物
3日前
日産化学株式会社
酸二無水物の反応生成物を含むレジスト下層膜形成組成物
3日前
ユニチカ株式会社
透明シート
11日前
株式会社コバヤシ
成形体
8日前
丸住製紙株式会社
変性パルプ
11日前
東レ株式会社
ポリエステルフィルム
15日前
横浜ゴム株式会社
重荷重タイヤ
7日前
東レ株式会社
ポリプロピレンフィルム
7日前
UBE株式会社
衝撃吸収材
11日前
アイカ工業株式会社
光硬化性樹脂組成物
7日前
株式会社スリーボンド
硬化性樹脂組成物
7日前
住友化学株式会社
樹脂組成物
7日前
株式会社カネカ
硬化性組成物
21日前
ノリタケ株式会社
担体構造体
1日前
三洋化成工業株式会社
熱成形用樹脂組成物
3日前
東レ株式会社
ポリエステル組成物の製造方法
14日前
ハイモ株式会社
油中水型エマルジョン重合体
7日前
ユニチカ株式会社
ポリアミド系樹脂フィルム
7日前
デンカ株式会社
磁性ビーズの製造方法
7日前
本田技研工業株式会社
樹脂成型品
1日前
TOTO株式会社
水まわり部材
1日前
三菱ケミカル株式会社
ポリウレタンエラストマー
2日前
帝人株式会社
ゲル組成物及びその製造方法
15日前
積水フーラー株式会社
エポキシ樹脂組成物
7日前
積水フーラー株式会社
エポキシ樹脂組成物
7日前
東洋紡株式会社
ポリエステル樹脂及びその製造方法
11日前
住友ゴム工業株式会社
光硬化性組成物
21日前
帝人株式会社
ポリカーボネート樹脂および光学部材
7日前
セイコーエプソン株式会社
成形用材料
1日前
横浜ゴム株式会社
タイヤ用ゴム組成物およびタイヤ
7日前
味の素株式会社
樹脂組成物
1日前
味の素株式会社
樹脂組成物
1日前
味の素株式会社
樹脂組成物
15日前
味の素株式会社
樹脂組成物
15日前
続きを見る
他の特許を見る