TOP
|
特許
|
意匠
|
商標
特許ウォッチ
Twitter
他の特許を見る
10個以上の画像は省略されています。
公開番号
2025138384
公報種別
公開特許公報(A)
公開日
2025-09-25
出願番号
2024037439
出願日
2024-03-11
発明の名称
樹脂組成物
出願人
味の素株式会社
代理人
弁理士法人酒井国際特許事務所
主分類
C08L
101/00 20060101AFI20250917BHJP(有機高分子化合物;その製造または化学的加工;それに基づく組成物)
要約
【課題】誘電正接が低く、導体層との密着強度に優れる硬化物をもたらすことができると共に、最低溶融粘度の上昇を抑制でき、使用環境下での可使時間を長くでき、良好な貯蔵安定性を呈する樹脂組成物;該樹脂組成物の製造方法;該樹脂組成物の硬化物;該樹脂組成物を含む樹脂シート;該樹脂組成物の硬化物を含む回路基板;並びに、該回路基板を含む半導体装置;の提供。
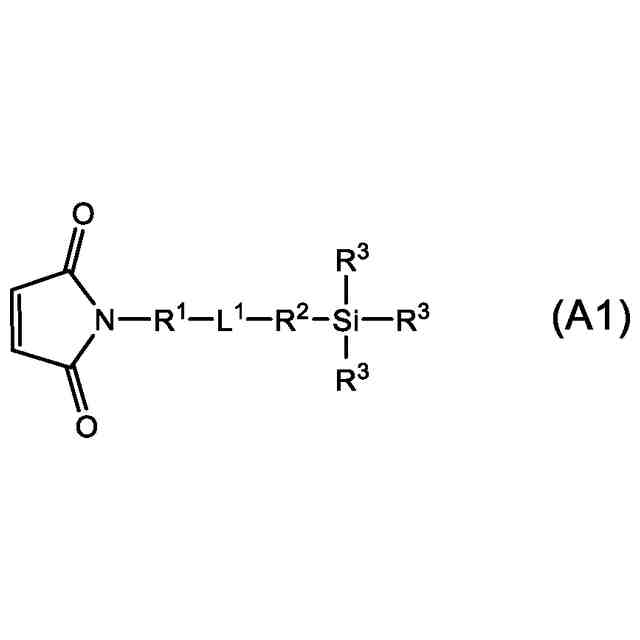
【解決手段】(A)マレイミド基を有するシラン化合物、(B)ラジカル重合性基を有する化合物(但し、(A)成分を除く。)、及び(C)無機充填材を含む樹脂組成物であって、(A)成分が、下記式(A1)で表される構造(式(A1)中、各記号は明細書に記載のとおりである。)を有する、樹脂組成物。
【化1】
<com:Image com:imageContentCategory="Drawing"> <com:ImageFormatCategory>TIFF</com:ImageFormatCategory> <com:FileName>2025138384000024.tif</com:FileName> <com:HeightMeasure com:measureUnitCode="Mm">30</com:HeightMeasure> <com:WidthMeasure com:measureUnitCode="Mm">170</com:WidthMeasure> </com:Image> 【選択図】なし
特許請求の範囲
【請求項1】
(A)マレイミド基を有するシラン化合物、(B)ラジカル重合性基を有する化合物(但し、(A)成分を除く。)、及び(C)無機充填材を含む樹脂組成物であって、
(A)成分が、下記式(A1)で表される構造を有する、樹脂組成物。
TIFF
2025138384000023.tif
30
170
(式(A1)中、
R
1
は、単結合、置換基を有していてもよい2価の炭化水素基、又は置換基を有していてもよい2価のヘテロ原子含有炭化水素基を表し;
L
1
は、単結合、又は2価の連結基を表し;
R
2
は、置換基を有していてもよい2価の炭化水素基、又は置換基を有していてもよい2価のヘテロ原子含有炭化水素基を表し;
R
3
は、それぞれ独立に、置換基を有していてもよい1価の炭化水素基、置換基を有していてもよいアルコキシ基、置換基を有していてもよいアルケニルオキシ基、置換基を有していてもよいアリールオキシ基、又は置換基を有していてもよいアラルキルオキシ基を表し;
少なくとも1以上のR
3
が、置換基を有していてもよいアルコキシ基である。)
続きを表示(約 1,000 文字)
【請求項2】
(C)成分の平均粒径が、10μm以下である、請求項1に記載の樹脂組成物。
【請求項3】
(A)成分の含有量が、樹脂組成物の不揮発成分100質量%に対して、0.10質量%以上5.00質量%以下である、請求項1に記載の樹脂組成物。
【請求項4】
(C)成分の含有量が、樹脂組成物の不揮発成分100質量%に対して、50質量%以上である、請求項1に記載の樹脂組成物。
【請求項5】
(B)成分が、マレイミド系ラジカル重合性化合物、(メタ)アクリル系ラジカル重合性化合物、スチレン系ラジカル重合性化合物及びアリル系ラジカル重合性化合物からなる群より選択される1種類以上の化合物を含む、請求項1に記載の樹脂組成物。
【請求項6】
(C)成分が、(C-1)(A)成分によって表面処理された無機充填材を含む、請求項1に記載の樹脂組成物。
【請求項7】
(A)成分による(C-1)成分の表面処理量が、0.1質量%以上3.0質量%以下である、請求項6に記載の樹脂組成物。
【請求項8】
式(A1)において、R
1
で表される基が、単結合、置換基を有していてもよい2価のアリーレン基、又は置換基を有していてもよい2価のアルキレン基である、請求項1に記載の樹脂組成物。
【請求項9】
式(A1)において、L
1
で表される基が、単結合、又は-N(R
0
)-(ここで、R
0
は、水素原子、又は炭素原子数1~3のアルキル基である。)、-O-、-C(=O)-、若しくはこれらの基の2以上の組み合わせからなる2価の基である、請求項1に記載の樹脂組成物。
【請求項10】
式(A1)において、L
1
で表される基が、単結合、-N(R
0
)-C(=O)-、-C(=O)-N(R
0
)-、-O-、-C(=O)-O-、-O-C(=O)-、-O-C(=O)-N(R
0
)-、-N(R
0
)-C(=O)-O-、-O-C(=O)-O-、又は-N(R
0
)-C(=O)-N(R
0
)-である、請求項9に記載の樹脂組成物。
(【請求項11】以降は省略されています)
発明の詳細な説明
【技術分野】
【0001】
本発明は、樹脂組成物に関する。さらには、樹脂組成物の製造方法、硬化物、樹脂シート、回路基板、及び半導体装置に関する。
続きを表示(約 3,400 文字)
【背景技術】
【0002】
プリント配線板等の回路基板は、各種電子機器に広く使用されている。回路基板の製造方法としては、内層基板に絶縁層と導体層とを交互に積み重ねるビルドアップ方式による製造方法が知られている。絶縁層は、例えば、樹脂組成物の硬化物によって形成される(特許文献1~3)。具体例を挙げると、樹脂組成物を含む樹脂組成物層を形成し、その樹脂組成物層を硬化させることにより、樹脂組成物の硬化物を含む絶縁層が形成される。
また、特許文献4記載の技術は、公知である。
【先行技術文献】
【特許文献】
【0003】
国際公開第2022/102759号
特開2022-077908号公報
国際公開第2022/145377号
特開平05-295219号公報
【発明の概要】
【発明が解決しようとする課題】
【0004】
高周波環境で作動させる際の伝送損失を抑えるために、絶縁層には、誘電正接が低いことが求められる。そこで、本発明者は、ラジカル重合性基を有する化合物及び無機充填材を含む樹脂組成物について検討を行った。ところが、ラジカル重合性基を有する化合物及び無機充填材を含む樹脂組成物の硬化物は、無機充填材の量を多くした場合に、絶縁層の下地に相当する導体層との密着強度が悪化する傾向にあることを見出した。
【0005】
また、無機充填材を含む樹脂組成物においては、無機充填材を表面処理剤で表面処理することがある。本発明者は、従来の表面処理剤を含む樹脂組成物について検討したところ、斯かる樹脂組成物において、樹脂組成物の最低溶融粘度が上昇し、使用環境下において樹脂組成物の可使時間が短くなり、貯蔵安定性に劣ることを知見した。
【0006】
本発明は、上記に鑑みてなされたものであって、誘電正接が低く、導体層との密着強度に優れる硬化物をもたらすことができると共に、最低溶融粘度の上昇を抑制でき、使用環境下での可使時間を長くでき、良好な貯蔵安定性を呈する樹脂組成物;該樹脂組成物の製造方法;該樹脂組成物の硬化物;該樹脂組成物を含む樹脂シート;該樹脂組成物の硬化物を含む回路基板;並びに、該回路基板を含む半導体装置;を提供することを目的とする。
【課題を解決するための手段】
【0007】
本発明者は、上記の課題を解決するべく鋭意検討した。その結果、本発明者は、(A)マレイミド基を有するシラン化合物、(B)ラジカル重合性基を有する化合物、及び(C)無機充填材を含む樹脂組成物であって、(A)成分が、特定構造を有する、樹脂組成物を用いることで、上記の課題を解決できることを見出し、本発明を完成させた。
すなわち、本発明は、下記のものを含む。
【0008】
<1>
(A)マレイミド基を有するシラン化合物、(B)ラジカル重合性基を有する化合物(但し、(A)成分を除く。)、及び(C)無機充填材を含む樹脂組成物であって、
(A)成分が、下記式(A1)で表される構造を有する、樹脂組成物。
TIFF
2025138384000001.tif
30
170
(式(A1)中、
R
1
は、単結合、置換基を有していてもよい2価の炭化水素基、又は置換基を有していてもよい2価のヘテロ原子含有炭化水素基を表し;
L
1
は、単結合、又は2価の連結基を表し;
R
2
は、置換基を有していてもよい2価の炭化水素基、又は置換基を有していてもよい2価のヘテロ原子含有炭化水素基を表し;
R
3
は、それぞれ独立に、置換基を有していてもよい1価の炭化水素基、置換基を有していてもよいアルコキシ基、置換基を有していてもよいアルケニルオキシ基、置換基を有していてもよいアリールオキシ基、又は置換基を有していてもよいアラルキルオキシ基を表し;
少なくとも1以上のR
3
が、置換基を有していてもよいアルコキシ基である。)
<2>
(C)成分の平均粒径が、10μm以下である、<1>に記載の樹脂組成物。
<3>
(A)成分の含有量が、樹脂組成物の不揮発成分100質量%に対して、0.10質量%以上5.00質量%以下である、<1>又は<2>に記載の樹脂組成物。
<4>
(C)成分の含有量が、樹脂組成物の不揮発成分100質量%に対して、50質量%以上である、<1>~<3>のいずれか1項に記載の樹脂組成物。
<5>
(B)成分が、マレイミド系ラジカル重合性化合物、(メタ)アクリル系ラジカル重合性化合物、スチレン系ラジカル重合性化合物及びアリル系ラジカル重合性化合物からなる群より選択される1種類以上の化合物を含む、<1>~<4>のいずれか1項に記載の樹脂組成物。
<6>
(C)成分が、(C-1)(A)成分によって表面処理された無機充填材を含む、<1>~<5>のいずれか1項に記載の樹脂組成物。
<7>
(A)成分による(C-1)成分の表面処理量が、0.1質量%以上3.0質量%以下である、<6>に記載の樹脂組成物。
<8>
式(A1)において、R
1
で表される基が、単結合、置換基を有していてもよい2価のアリーレン基、又は置換基を有していてもよい2価のアルキレン基である、<1>~<7>のいずれか1項に記載の樹脂組成物。
<9>
式(A1)において、L
1
で表される基が、単結合、又は-N(R
0
)-(ここで、R
0
は、水素原子、又は炭素原子数1~3のアルキル基である。)、-O-、-C(=O)-、若しくはこれらの基の2以上の組み合わせからなる2価の基である、<1>~<8>のいずれか1項に記載の樹脂組成物。
<10>
式(A1)において、L
1
で表される基が、単結合、-N(R
0
)-C(=O)-、-C(=O)-N(R
0
)-、-O-、-C(=O)-O-、-O-C(=O)-、-O-C(=O)-N(R
0
)-、-N(R
0
)-C(=O)-O-、-O-C(=O)-O-、又は-N(R
0
)-C(=O)-N(R
0
)-である、<9>に記載の樹脂組成物。
<11>
式(A1)において、R
2
で表される基が、置換基を有していてもよいアリーレン基、又は置換基を有していてもよいアルキレン基である、<1>~<10>のいずれか1項に記載の樹脂組成物。
<12>
式(A1)において、2つ以上のR
3
が、置換基を有していてもよいアルコキシ基である、<1>~<11>のいずれか1項に記載の樹脂組成物。
<13>
【発明の効果】
【0009】
本発明によれば、誘電正接が低く、導体層との密着強度に優れる硬化物をもたらすことができると共に、最低溶融粘度の上昇を抑制でき、使用環境下での可使時間を長くでき、良好な貯蔵安定性を呈する樹脂組成物;該樹脂組成物の製造方法;該樹脂組成物の硬化物;該樹脂組成物を含む樹脂シート;該樹脂組成物の硬化物を含む回路基板;並びに、該回路基板を含む半導体装置;を提供できる。
【発明を実施するための形態】
【0010】
[用語の説明]
本明細書において、化合物又は基についていう「置換基を有していてもよい」という用語は、該化合物又は基の水素原子が置換基で置換されていない場合、及び、該化合物又は基の水素原子の一部又は全部が置換基で置換されている場合の双方を意味する。
(【0011】以降は省略されています)
この特許をJ-PlatPat(特許庁公式サイト)で参照する
関連特許
味の素株式会社
樹脂組成物
1日前
味の素株式会社
樹脂組成物
15日前
味の素株式会社
樹脂組成物
15日前
味の素株式会社
樹脂シート
11日前
味の素株式会社
樹脂シート
11日前
味の素株式会社
樹脂組成物
1日前
味の素株式会社
エポキシ樹脂
1日前
味の素株式会社
基板の製造方法
今日
味の素株式会社
マレイミド樹脂
1日前
味の素株式会社
積層体の製造方法
21日前
味の素株式会社
ミネラル強化食品
今日
味の素株式会社
感光性樹脂組成物
7日前
味の素株式会社
感光性樹脂組成物
7日前
味の素株式会社
感光性樹脂組成物
29日前
味の素株式会社
配線板の製造方法
今日
味の素株式会社
チャック付き包装袋
今日
味の素株式会社
熱硬化性樹脂組成物
15日前
味の素株式会社
ポリアミドイミド樹脂
1日前
味の素株式会社
プリント配線板の製造方法
1か月前
味の素株式会社
高含水米飯食品の製造方法
今日
味の素株式会社
包餡麺帯食品及びその製造方法
今日
味の素株式会社
乾燥麺の製造方法及び酵素製剤
1か月前
味の素株式会社
集電層に用いられる金属箔積層体
2日前
味の素株式会社
集電層に用いられる金属箔積層体
2日前
味の素株式会社
包餡麺帯食品の焼き目形成用組成物
1日前
味の素株式会社
コーヒー抽出液の香味を改善する方法
2日前
味の素株式会社
洋風調味料およびそれを含有する食品
今日
味の素株式会社
電子レンジ加熱調理用容器入り即席食品
1日前
東洋濾紙株式会社
アミノ酸定量用試験紙
3日前
味の素株式会社
皮の硬化性が抑制された包餡食品の製造方法
1か月前
味の素株式会社
調味料および加熱調理における離水の抑制方法
1か月前
味の素株式会社
半導体パッケージ基板の絶縁層形成用の樹脂シート
1か月前
味の素株式会社
半導体パッケージ基板の絶縁層形成用の樹脂シート
1か月前
味の素株式会社
半導体パッケージ基板の絶縁層形成用の樹脂シート
1か月前
味の素株式会社
半導体パッケージ基板の絶縁層形成用の樹脂シート
1か月前
味の素株式会社
クリーミングパウダー及びインスタント飲料用組成物
15日前
続きを見る
他の特許を見る