TOP
|
特許
|
意匠
|
商標
特許ウォッチ
Twitter
他の特許を見る
10個以上の画像は省略されています。
公開番号
2025150973
公報種別
公開特許公報(A)
公開日
2025-10-09
出願番号
2024052159
出願日
2024-03-27
発明の名称
樹脂組成物
出願人
味の素株式会社
代理人
弁理士法人酒井国際特許事務所
主分類
C08L
25/08 20060101AFI20251002BHJP(有機高分子化合物;その製造または化学的加工;それに基づく組成物)
要約
【課題】誘電正接が低く、クラック耐性に優れる硬化物を得ることができる樹脂組成物等の提供。
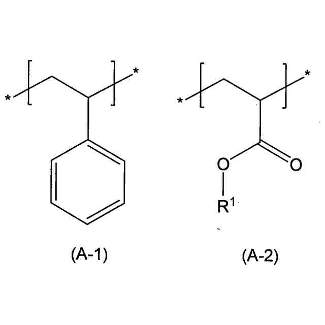
【解決手段】(A)下記式(A-1)で表される構造単位、及び下記式(A-2)で表される構造単位を有するスチレン樹脂、(B)熱硬化性樹脂、及び(C)無機充填材、を含有する樹脂組成物。
<com:Image com:imageContentCategory="Drawing"> <com:ImageFormatCategory>TIFF</com:ImageFormatCategory> <com:FileName>2025150973000019.tif</com:FileName> <com:HeightMeasure com:measureUnitCode="Mm">37</com:HeightMeasure> <com:WidthMeasure com:measureUnitCode="Mm">154</com:WidthMeasure> </com:Image>
【選択図】なし
特許請求の範囲
【請求項1】
(A)下記式(A-1)で表される構造単位、及び下記式(A-2)で表される構造単位を有するスチレン樹脂、
(B)熱硬化性樹脂、及び
(C)無機充填材、を含有する樹脂組成物。
TIFF
2025150973000017.tif
43
154
式(A-2)中、R
1
は、置換基を有していてもよい炭素原子数6~20のアリール基を表す。*は結合手を表す。
続きを表示(約 780 文字)
【請求項2】
(A)成分が、下記式(A-1)で表される構造単位、下記式(A-2)で表される構造単位、及び下記式(A-3)で表される構造単位を有する、請求項1に記載の樹脂組成物。
TIFF
2025150973000018.tif
41
154
式(A-2)中、R
1
は、置換基を有していてもよい炭素原子数6~20のアリール基を表す。
式(A-3)中、R
2
は、置換基を有していてもよい炭素原子数2~15のアルキル基、又は置換基を有していてもよい炭素原子数2~15のアルコキシ基を表す。*は結合手を表す。
【請求項3】
式(A-3)中のR
2
の結合位置が、パラ位である、請求項2に記載の樹脂組成物。
【請求項4】
(A)成分の数平均分子量が、15000以下である、請求項1に記載の樹脂組成物。
【請求項5】
(B)成分が、活性エステル樹脂を含む、請求項1に記載の樹脂組成物。
【請求項6】
(B)成分が、フェノール樹脂を含む、請求項1に記載の樹脂組成物。
【請求項7】
(B)成分が、ラジカル重合性樹脂を含む、請求項1に記載の樹脂組成物。
【請求項8】
ラジカル重合性樹脂が、マレイミド樹脂を含む、請求項7に記載の樹脂組成物。
【請求項9】
支持体と、該支持体上に設けられた、請求項1~8のいずれか1項に記載の樹脂組成物を含む樹脂組成物層とを含む、樹脂シート。
【請求項10】
請求項1~8のいずれか1項に記載の樹脂組成物の硬化物により形成された絶縁層を含む、プリント配線板。
(【請求項11】以降は省略されています)
発明の詳細な説明
【技術分野】
【0001】
本発明は、樹脂組成物に関する。さらには、当該樹脂組成物を用いて得られる、樹脂シート、プリント配線板、及び半導体装置に関する。
続きを表示(約 1,900 文字)
【背景技術】
【0002】
プリント配線板の製造技術として、絶縁層と導体層を交互に積み重ねるビルドアップ方式による製造方法が知られている。
【0003】
このような絶縁層に用いられるプリント配線板の絶縁材料として、例えば、特許文献1に樹脂組成物が開示されている。
【先行技術文献】
【特許文献】
【0004】
特開2023-131714号公報
【発明の概要】
【発明が解決しようとする課題】
【0005】
近年、プリント配線板の高機能化に伴い、プリント配線板の絶縁層には、誘電正接が低く、クラック耐性に優れることが求められている。
【0006】
本発明の課題は、前記の課題に鑑みて創案されたもので、誘電正接が低く、クラック耐性に優れる硬化物を得ることができる樹脂組成物;当該樹脂組成物を含む樹脂シート;当該樹脂組成物を用いて形成された絶縁層を備えるプリント配線板、及び半導体装置を提供することにある。
【課題を解決するための手段】
【0007】
本発明者らは、上記課題につき鋭意検討した結果、特定の構造単位を有するスチレン樹脂、熱硬化性樹脂、及び無機充填材を組み合わせて含有させることで、上記課題を解決し得ることを見出し、本発明を完成するに至った。
【0008】
すなわち、本発明は以下の内容を含む。
[1] (A)下記式(A-1)で表される構造単位、及び下記式(A-2)で表される構造単位を有するスチレン樹脂、
(B)熱硬化性樹脂、及び
(C)無機充填材、を含有する樹脂組成物。
TIFF
2025150973000001.tif
58
151
式(A-2)中、R
1
は、置換基を有していてもよい炭素原子数6~20のアリール基を表す。*は結合手を表す。
[2] (A)成分が、下記式(A-1)で表される構造単位、下記式(A-2)で表される構造単位、及び下記式(A-3)で表される構造単位を有する、[1]に記載の樹脂組成物。
TIFF
2025150973000002.tif
54
152
式(A-2)中、R
1
は、置換基を有していてもよい炭素原子数6~20のアリール基を表す。
式(A-3)中、R
2
は、置換基を有していてもよい炭素原子数2~15のアルキル基、又は置換基を有していてもよい炭素原子数2~15のアルコキシ基を表す。*は結合手を表す。
[3] 式(A-3)中のR
2
の結合位置が、パラ位である、[2]に記載の樹脂組成物。
[4] (A)成分の数平均分子量が、15000以下である、[1]~[3]のいずれかに記載の樹脂組成物。
[5] (B)成分が、活性エステル樹脂を含む、[1]~[4]のいずれかに記載の樹脂組成物。
[6] (B)成分が、フェノール樹脂を含む、[1]~[5]のいずれかに記載の樹脂組成物。
[7] (B)成分が、ラジカル重合性樹脂を含む、[1]~[6]のいずれかに記載の樹脂組成物。
[8] ラジカル重合性樹脂が、マレイミド樹脂を含む、[7]に記載の樹脂組成物。
[9] 支持体と、該支持体上に設けられた、[1]~[8]のいずれかに記載の樹脂組成物を含む樹脂組成物層とを含む、樹脂シート。
[10] [1]~[8]のいずれかに記載の樹脂組成物の硬化物により形成された絶縁層を含む、プリント配線板。
[11] [10]に記載のプリント配線板を含む、半導体装置。
【発明の効果】
【0009】
本発明によれば、誘電正接が低く、クラック耐性に優れる硬化物を得ることができる樹脂組成物;当該樹脂組成物を含む樹脂シート;当該樹脂組成物を用いて形成された絶縁層を備えるプリント配線板、及び半導体装置を提供することができる。
【発明を実施するための形態】
【0010】
以下、本発明をその好適な実施形態に即して詳細に説明する。ただし、本発明は、下記実施形態及び例示物に限定されるものではなく、本発明の特許請求の範囲及びその均等の範囲を逸脱しない範囲において任意に変更して実施され得る。
(【0011】以降は省略されています)
この特許をJ-PlatPat(特許庁公式サイト)で参照する
関連特許
味の素株式会社
樹脂組成物
2か月前
味の素株式会社
樹脂組成物
1か月前
味の素株式会社
樹脂組成物
15日前
味の素株式会社
樹脂組成物
15日前
味の素株式会社
樹脂組成物
1か月前
味の素株式会社
樹脂組成物
1日前
味の素株式会社
樹脂組成物
1日前
味の素株式会社
樹脂シート
1か月前
味の素株式会社
樹脂シート
11日前
味の素株式会社
樹脂組成物
1か月前
味の素株式会社
樹脂組成物
1か月前
味の素株式会社
樹脂組成物
1か月前
味の素株式会社
樹脂組成物
2か月前
味の素株式会社
樹脂組成物
2か月前
味の素株式会社
樹脂シート
11日前
味の素株式会社
エポキシ樹脂
1日前
味の素株式会社
冷凍米飯弁当
2か月前
味の素株式会社
基板の製造方法
今日
味の素株式会社
マレイミド樹脂
1日前
味の素株式会社
配線板の製造方法
今日
味の素株式会社
感光性樹脂組成物
29日前
味の素株式会社
感光性樹脂組成物
7日前
味の素株式会社
積層体の製造方法
21日前
味の素株式会社
感光性樹脂組成物
7日前
味の素株式会社
ミネラル強化食品
今日
味の素株式会社
感光性樹脂組成物
2か月前
味の素株式会社
改ざん防止用シール
2か月前
味の素株式会社
熱硬化性樹脂組成物
15日前
味の素株式会社
チャック付き包装袋
今日
味の素株式会社
ポリアミドイミド樹脂
1日前
味の素株式会社
グリシンを含有する飲料
2か月前
味の素株式会社
プリント配線板の製造方法
1か月前
味の素株式会社
高含水米飯食品の製造方法
今日
味の素株式会社
包餡麺帯食品及びその製造方法
今日
味の素株式会社
乾燥麺の製造方法及び酵素製剤
1か月前
味の素株式会社
集電層に用いられる金属箔積層体
2日前
続きを見る
他の特許を見る