TOP
|
特許
|
意匠
|
商標
特許ウォッチ
Twitter
他の特許を見る
10個以上の画像は省略されています。
公開番号
2025148551
公報種別
公開特許公報(A)
公開日
2025-10-07
出願番号
2025120704,2022578429
出願日
2025-07-17,2022-01-26
発明の名称
酸二無水物の反応生成物を含むレジスト下層膜形成組成物
出願人
日産化学株式会社
代理人
弁理士法人 津国
主分類
G03F
7/11 20060101AFI20250930BHJP(写真;映画;光波以外の波を使用する類似技術;電子写真;ホログラフイ)
要約
【課題】所望のレジストパターンを形成できるレジスト下層膜を形成するための組成物、及び該レジスト下層膜形成組成物を用いたレジストパターン製造方法、半導体装置の製造方法を提供する。
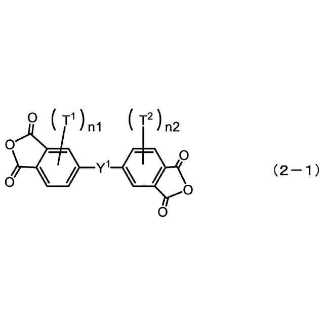
【解決手段】下記式(I):
<com:Image com:imageContentCategory="Drawing"> <com:ImageFormatCategory>TIFF</com:ImageFormatCategory> <com:FileName>2025148551000055.tif</com:FileName> <com:HeightMeasure com:measureUnitCode="Mm">38</com:HeightMeasure> <com:WidthMeasure com:measureUnitCode="Mm">161</com:WidthMeasure> </com:Image>
(式(I)中、A
1
、A
2
、A
3
、A
4
、A
5
及びA
6
は、それぞれ独立に水素原子、メチル基又はエチル基を表し、Q
1
は2価の有機基を表し、R
1
は炭素原子数6~40の芳香環構造を含む4価の有機基を表す。)で表される単位構造を有するポリマー、及び溶剤を含む、レジスト下層膜形成組成物。
【選択図】なし
特許請求の範囲
【請求項1】
下記式(I):
TIFF
2025148551000054.tif
38
161
(式(I)中、A
1
、A
2
、A
3
、A
4
、A
5
及びA
6
は、それぞれ独立に水素原子、メチル基又はエチル基を表し、Q
1
は2価の有機基を表し、R
1
は炭素原子数6~40の芳香環構造を含む4価の有機基を表し、L
1
及びL
2
は各々独立して水素原子、又はヒドロキシ基で置換されていてもよく、酸素原子で中断されていてもよい炭素原子数1~10のアルキル基を表す。)
で表される単位構造を有するポリマー、及び溶剤を含む、レジスト下層膜形成組成物。
発明の詳細な説明
【技術分野】
【0001】
本発明は、半導体製造におけるリソグラフィープロセスにおいて、特に最先端(ArF、EUV、EB等)のリソグラフィープロセスに用いられる組成物に関する。また、前記レジスト下層膜を適用したレジストパターン付き基板の製造方法、及び半導体装置の製造方法に関する。
続きを表示(約 1,500 文字)
【背景技術】
【0002】
従来から半導体装置の製造において、レジスト組成物を用いたリソグラフィーによる微細加工が行われている。前記微細加工は、シリコンウェハー等の半導体基板上にフォトレジスト組成物の薄膜を形成し、その上にデバイスのパターンが描かれたマスクパターンを介して紫外線などの活性光線を照射し、現像し、得られたフォトレジストパターンを保護膜として基板をエッチング処理することにより、基板表面に、前記パターンに対応する微細凹凸を形成する加工法である。近年、半導体デバイスの高集積度化が進み、使用される活性光線も、従来使用されていたi線(波長365nm)、KrFエキシマレーザー(波長248nm)、ArFエキシマレーザー(波長193nm)に加え、最先端の微細加工にはEUV光(極端紫外線、波長13.5nm)又はEB(電子線)の実用化が検討されている。これに伴い、レジストへの半導体基板からの影響が大きな問題となっている。
【0003】
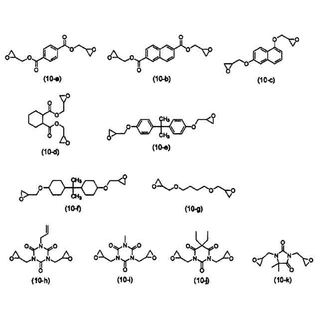
そこでこの問題を解決すべく、レジストと半導体基板の間にレジスト下層膜を設ける方法が広く検討されている。特許文献1には、脂環式構造又は脂肪族構造を有するテトラカルボン酸二無水物とジエポキシ含有化合物とを反応させて得られるポリマーを含むレジスト下層膜形成組成物が開示されている。特許文献2には、特定の複素環化合物とジエポキシ含有化合物とを反応させて得られるポリマーを含むレジスト下層膜形成組成物が開示されている。
【先行技術文献】
【特許文献】
【0004】
国際公開2009/104685号公報
国際公開2013/018802号公報
【発明の概要】
【発明が解決しようとする課題】
【0005】
レジスト下層膜に要求される特性としては、例えば、上層に形成されるレジスト膜とのインターミキシングが起こらないこと(レジスト溶剤に不溶であること)、レジスト膜に比べてドライエッチング速度が速いことが挙げられる。
【0006】
EUV露光を伴うリソグラフィーの場合、形成されるレジストパターンの線幅は32nm以下となり、EUV露光用のレジスト下層膜は、従来よりも膜厚を薄く形成して用いられる。このような薄膜を形成する際、基板表面、使用するポリマーなどの影響により、ピンホール、凝集などが発生しやすく、欠陥のない均一な膜を形成することが困難であった。
【0007】
一方、レジストパターン形成の際、現像工程において、レジスト膜を溶解し得る溶剤、通常は有機溶剤を用いて前記レジスト膜の未露光部を除去し、当該レジスト膜の露光部をレジストパターンとして残す方法が採用されることがある。このようなネガ現像プロセスにおいては、レジストパターンの密着性の改善が大きな課題となっている。
【0008】
また、レジストパターン形成時のLWR(Line Width Roughness、ライン・ウィドス・ラフネス、線幅の揺らぎ(ラフネス))の悪化を抑制し、良好な矩形形状を有するレジストパターンを形成すること、及びレジスト感度の向上が求められている。
【0009】
本発明は、上記課題を解決した、所望のレジストパターンを形成できるレジスト下層膜を形成するための組成物、及び該レジスト下層膜形成組成物を用いるレジストパターン形成方法を提供することを目的とする。
【課題を解決するための手段】
【0010】
本発明は以下を包含する。
(【0011】以降は省略されています)
この特許をJ-PlatPat(特許庁公式サイト)で参照する
関連特許
日産化学株式会社
導電性結着層形成用組成物
22日前
国立大学法人九州大学
発光性イオン結晶
8日前
日産化学株式会社
接着剤組成物、積層体、及び加工された半導体基板の製造方法
1日前
日産化学株式会社
薬液耐性保護膜
9日前
日産化学株式会社
ウェハー処理方法
29日前
日産化学株式会社
含フッ素アニリン誘導体
9日前
日産化学株式会社
レジスト下層膜形成用組成物
23日前
日産化学株式会社
添加剤含有シリコン含有レジスト下層膜形成組成物
23日前
日産化学株式会社
環式カルボニル化合物を用いたレジスト下層膜形成組成物
3日前
日産化学株式会社
酸二無水物の反応生成物を含むレジスト下層膜形成組成物
3日前
株式会社シグマ
絞りユニット
22日前
キヤノン株式会社
撮像装置
21日前
キヤノン株式会社
撮像装置
15日前
キヤノン株式会社
撮像装置
1か月前
日本精機株式会社
車両用投射装置
1日前
平和精機工業株式会社
雲台
1か月前
株式会社リコー
画像形成装置
11日前
株式会社リコー
画像形成装置
1か月前
株式会社リコー
画像形成装置
3か月前
株式会社リコー
画像形成装置
29日前
株式会社リコー
画像形成装置
3か月前
株式会社リコー
画像形成装置
1か月前
株式会社リコー
画像形成装置
1か月前
株式会社リコー
画像形成装置
2か月前
キヤノン株式会社
トナー
3か月前
トヨタ自動車株式会社
撮像方法
3か月前
株式会社オプトル
プロジェクタ
14日前
キヤノン株式会社
トナー
2日前
株式会社オプトル
プロジェクタ
1か月前
キヤノン株式会社
画像形成装置
1か月前
キヤノン株式会社
トナー
1か月前
キヤノン株式会社
画像形成装置
1か月前
シャープ株式会社
画像形成装置
1か月前
ブラザー工業株式会社
再生方法
1か月前
キヤノン株式会社
画像形成装置
2か月前
キヤノン株式会社
画像形成装置
2か月前
続きを見る
他の特許を見る