TOP
|
特許
|
意匠
|
商標
特許ウォッチ
Twitter
他の特許を見る
10個以上の画像は省略されています。
公開番号
2025151196
公報種別
公開特許公報(A)
公開日
2025-10-09
出願番号
2024052501
出願日
2024-03-27
発明の名称
能動型振動騒音低減装置
出願人
本田技研工業株式会社
代理人
弁理士法人磯野国際特許商標事務所
主分類
G10K
11/178 20060101AFI20251002BHJP(楽器;音響)
要約
【課題】複数の制御点(マイク)の騒音を低減することで、安定して広範囲の騒音を低減することができる、能動型騒音低減装置を提供する。
【解決手段】能動型振動騒音低減装置100,200は、騒音d1,d2を打ち消すための打消音y11,y12,y21,y22を出力するスピーカ20,21と、騒音d1,d2および打消音y11,y12,y21,y22から誤差信号e1,e2を生成するマイク30,31と、誤差信号e1,e2に基づいて打消音y11,y12,y21,y22を制御するための制御信号u1を生成する制御フィルタWと、を備え、マイク30,31は、複数設けられ、制御フィルタWは、複数のマイク30,31の誤差信号e1,e2の音圧の二乗和を評価関数として適応的に更新される。
【選択図】図1
特許請求の範囲
【請求項1】
騒音を打ち消すための打消音を出力するスピーカと、
前記騒音および前記打消音から誤差信号を生成するマイクと、
前記誤差信号に基づいて前記打消音を制御するための制御信号を生成する制御フィルタと、を備え、
前記マイクは、複数設けられ、
前記制御フィルタは、
前記複数のマイクの誤差信号の音圧の二乗和を評価関数として適応的に更新される、
ことを特徴とする能動型振動騒音低減装置。
続きを表示(約 810 文字)
【請求項2】
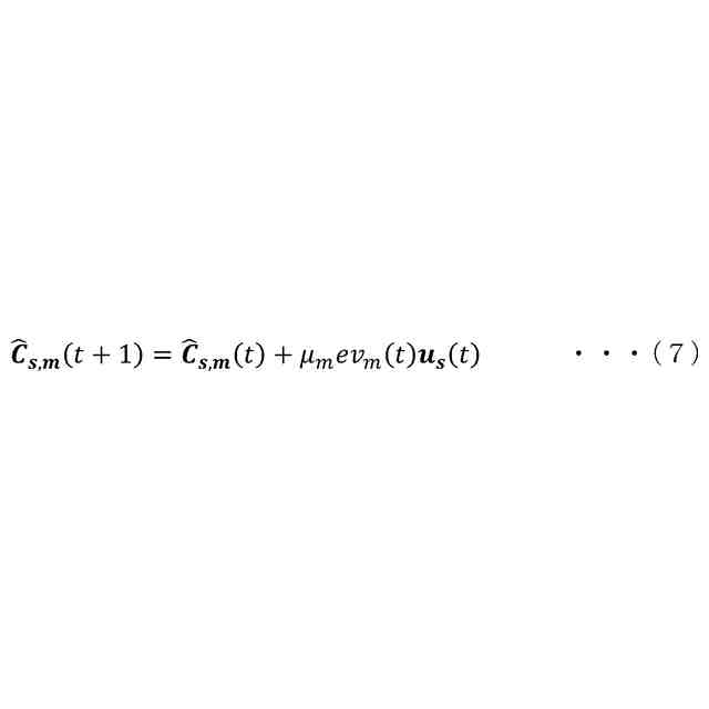
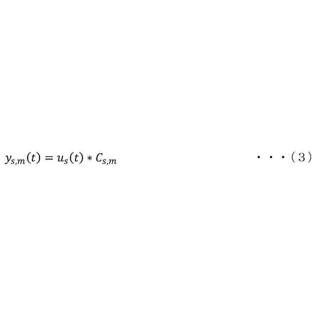
前記スピーカから前記複数のマイクまでの伝達関数の推定値を示す二次経路フィルタを備え、
前記制御フィルタは、
複数の前記二次経路フィルタに基づいて、適応的に更新される、
請求項1に記載の能動型振動騒音低減装置。
【請求項3】
複数の前記二次経路フィルタのそれぞれは、
前記打消音と対応する前記マイクの誤差信号から計算される、仮想的な誤差信号に基づいて、適応的に更新される、
請求項2に記載の能動型振動騒音低減装置。
【請求項4】
前記スピーカは、複数設けられ、
前記複数のスピーカのそれぞれから、前記複数のマイクのそれぞれまでの間に二次経路フィルタを備え、
当該二次経路フィルタのそれぞれは、
複数の前記スピーカと対応する前記マイクの前記二次経路フィルタに基づいて、適応的に更新される、
請求項3に記載の能動型振動騒音低減装置。
【請求項5】
前記スピーカごとに前記制御フィルタをそれぞれ備え、
各前記制御フィルタの初期値は、それぞれ異なる、
請求項3に記載の能動型振動騒音低減装置。
【請求項6】
騒音源から前記複数のマイクまでの伝達関数の推定値を示す一次経路フィルタをそれぞれ備え、
複数の前記スピーカの制御に対して、共通の前記一次経路フィルタを適応的に更新する、
請求項4に記載の能動型振動騒音低減装置。
【請求項7】
前記制御フィルタは、
参照信号から前記打消音を制御するための制御信号を生成すると共に、前記複数のマイクのそれぞれに対して、前記参照信号と当該マイクに対応した前記二次経路フィルタにより正規化された更新量に基づいた値の総和で更新される、
請求項2に記載の能動型振動騒音低減装置。
発明の詳細な説明
【技術分野】
【0001】
本発明は、能動型振動騒音低減装置に関する。
続きを表示(約 1,500 文字)
【背景技術】
【0002】
従来、車室内に生じる騒音(例えば、ロードノイズ)に関し、騒音とは逆位相の打消音を生成し、生成した打消音を騒音に干渉させることで、騒音を低減させる能動型騒音低減装置などが検討されている。
【0003】
例えば、特許文献1に開示された騒音制御装置では、要約書に、「騒音制御装置に、残留音を検出し複数の適応型フィルタに誤差信号として出力する複数のマイクロフォンと、複数の適応型フィルタからの補償信号を再生し騒音を消去して残留音を形成する複数のアクチュエータと、複数のマイクロフォンを複数のグループに分け各グループ毎のマイクロフォンからの誤差信号をミックスしてミックス誤差信号を形成し各ミックス誤差信号を各適応型フィルタに出力する複数の誤差信号ミックス手段とを設ける。」旨が記載されている。
【先行技術文献】
【特許文献】
【0004】
特開平6-59683号
【発明の概要】
【発明が解決しようとする課題】
【0005】
例えば、特許文献1に記載された騒音制御装置を車両に適用することを検討した場合、車室内には音響モードが存在する。そのため、仮にマイクで取得する信号を誤差信号として足し合わせたとしても、足し合わせた周波数の信号が増強する場合と相殺する場合とが存在する。これにより、車室内においては、誤差信号が増強する場合は、制御することができるが、誤差信号が相殺される場合は、制御することができなくなる。
【0006】
本発明は、上記事情に鑑みてなされたものであり、複数の制御点(マイク)の騒音を低減することで、安定して広範囲の騒音を低減することができる、能動型騒音低減装置を提供することを課題とする。
【課題を解決するための手段】
【0007】
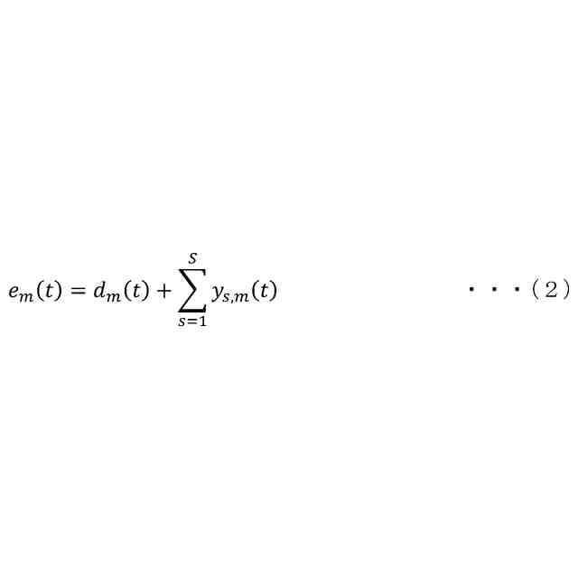
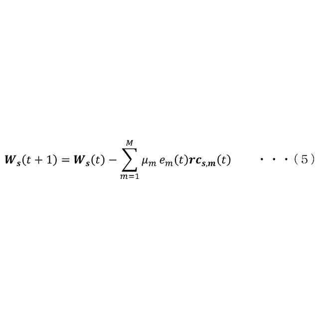
すなわち、本発明の上記課題を解決するために、本発明に係る能動型振動騒音低減装置は、騒音を打ち消すための打消音を出力するスピーカと、前記騒音および前記打消音から誤差信号を生成するマイクと、前記誤差信号に基づいて前記打消音を制御するための制御信号を生成する制御フィルタと、を備え、前記マイクは、複数設けられ、前記制御フィルタは、前記複数のマイクの誤差信号の音圧の二乗和を評価関数として適応的に更新される、ことを特徴とする。
【発明の効果】
【0008】
本発明によれば、複数の制御点(マイク)の騒音を低減することで、安定して広範囲の騒音を低減することができる。
【図面の簡単な説明】
【0009】
本実施形態に係る能動型振動騒音低減装置の概略構成を示したブロック図である。
評価関数を最小にするフィルタ係数を算出するLMSアルゴリズムを示した説明図である。
多数のチャンネルの学習が上手く行かないことを示した概念図である。
制御フィルタ部に異なる初期値を設定する概念を示した説明図である。
【発明を実施するための形態】
【0010】
以下に、本発明を実施するための形態について詳細に説明する。なお、以下に説明する実施の形態は、本発明を実現するための一例であり、本発明が適用される装置の構成や各種条件によって適宜修正又は変更されるべきものであり、本発明は以下の実施の形態に限定されるものではない。また、各図において、同一の構成については同一の符号を付し、説明を適宜、省略する。
(【0011】以降は省略されています)
この特許をJ-PlatPat(特許庁公式サイト)で参照する
関連特許
カシオ計算機株式会社
発音装置、発音方法及びプログラム
1日前
トヨタ自動車株式会社
判定装置
1日前
シャープ株式会社
電子機器および電子機器の制御方法
6日前
株式会社JVCケンウッド
収音装置、収音方法、およびプログラム
1日前
ブラザー工業株式会社
音声録音装置、及び、音声録音用プログラム
5日前
ブラザー工業株式会社
カラオケ用プログラム、及び、カラオケ装置
5日前
大建工業株式会社
吸音体及び音環境調整構造
1日前
株式会社NTTドコモ
情報処理装置及び情報処理方法
6日前
株式会社リコー
対話装置、対話システム、対話方法及びプログラム
5日前
本田技研工業株式会社
能動型振動騒音制御装置
5日前
本田技研工業株式会社
能動型振動騒音制御装置
5日前
株式会社クラウン・パッケージ
音発生具及び音発生具を形成するブランクシート
5日前
カシオ計算機株式会社
情報処理装置、方法およびプログラム
1日前
株式会社淺沼組
音響システムおよび音響システム付き建築物
5日前
カシオ計算機株式会社
情報処理装置、演奏装置、方法およびプログラム
今日
ブラザー工業株式会社
映像再生装置、及び、映像再生装置用プログラム
5日前
パイオニア株式会社
音声出力装置
今日
サクサ株式会社
選曲装置及び選曲プログラム
5日前
三菱ケミカル株式会社
共振シート部材、およびこれを備えた構造体
1日前
パナソニックIPマネジメント株式会社
登録情報更新方法および登録情報更新装置
5日前
本田技研工業株式会社
マップ生成装置、マップ生成システム、マップ生成方法およびプログラム
6日前
株式会社東芝
ロボットのためのナビゲーション命令を生成するためのシステムおよび方法
1日前
株式会社デンソーテン
通話処理装置、通話処理プログラム、通話処理方法及び通話処理システム
6日前
ヤマハ株式会社
再生データ生成方法
今日
大建工業株式会社
吸音体及び音環境調整構造
5日前
レノボ・シンガポール・プライベート・リミテッド
リアルタイムアクティブ話者検出のための方法およびシステム
今日
富聯精密電子(天津)有限公司
インテリジェントインタラクション方法、デバイス及びコンピュータ可読記憶媒体
1日前
ドルビー ラボラトリーズ ライセンシング コーポレイション
深層学習ベースの音声強調
今日
ドルビー・インターナショナル・アーベー
高次アンビソニックス表現を圧縮および圧縮解除する方法および装置
今日
テレフオンアクチーボラゲット エルエム エリクソン(パブル)
オーディオ符号化モード選択のためのスペクトル分類器
今日
ドルビー ラボラトリーズ ライセンシング コーポレイション
没入的音声およびオーディオ・サービスにおけるビットレート配分
今日
株式会社スクウェア・エニックス
自然言語リアクション制御プログラム、自然言語リアクション制御システム、および自然言語リアクション制御方法
5日前
リジェネロン・ファーマシューティカルズ・インコーポレイテッド
免疫療法に対する腫瘍細胞の感作のための方法及び組成物
1日前
ブラザー工業株式会社
ミシン
5日前
インターデイジタル ヴィーシー ホールディングス インコーポレイテッド
映像符号化参照ピクチャリストをシグナリングおよび構築する方法および装置
1日前
他の特許を見る