TOP
|
特許
|
意匠
|
商標
特許ウォッチ
Twitter
他の特許を見る
10個以上の画像は省略されています。
公開番号
2025157307
公報種別
公開特許公報(A)
公開日
2025-10-15
出願番号
2025114186,2023580679
出願日
2025-07-07,2021-06-29
発明の名称
オーディオ符号化モード選択のためのスペクトル分類器
出願人
テレフオンアクチーボラゲット エルエム エリクソン(パブル)
代理人
個人
,
個人
,
個人
,
個人
主分類
G10L
19/18 20130101AFI20251007BHJP(楽器;音響)
要約
【課題】2つの符号化モードまたは符号化モードのグループのうちのどちらを使用するかを決定するためのエンコーダにおける通信方法ならびに関連するデバイスおよびノードを提供する。
【解決手段】方法は、入力オーディオ信号の周波数スペクトルを導出すること(1001)と、周波数スペクトルの臨界周波数領域の大きさを取得すること(1003)と、フレームのピークネス尺度を取得すること(1005)と、雑音帯域検出尺度を取得すること(1007)と、少なくともピークネス尺度および雑音帯域検出尺度に基づいて、2つの符号化モードまたは符号化モードのグループのうちのどちらを使用するかを決定すること(1009)と、使用すると決定された符号化モードに基づいて入力オーディオ信号を符号化すること(1011)と、を含む。
【選択図】図10
特許請求の範囲
【請求項1】
2つの符号化モードまたは符号化モードのグループのうちのどちらを使用するかを決定するためのエンコーダにおける方法であって、
入力オーディオ信号の周波数スペクトルを導出すること(901)と、
臨界周波数領域の周波数スペクトルの大きさを取得すること(903)と
ピークネス尺度を取得すること(905)と、
雑音帯域検出尺度を取得すること(907)と、
少なくとも前記ピークネス尺度および前記雑音帯域検出尺度に基づいて前記2つの符号化モードまたは符号化モードのグループのうちのどちらを使用するかを決定すること(909)と、
使用すると決定された前記符号化モードに基づいて前記入力オーディオ信号を符号化すること(911)と
を含む方法。
続きを表示(約 1,500 文字)
【請求項2】
使用すると決定された前記符号化モードに基づいて前記入力オーディオ信号を符号化することが、
符号化モードのグループを使用すると決定されたことに応答して、前記入力オーディオ信号を符号化するために使用する前記符号化モードのグループのうちの1つの符号化モードを選択すること
を含む、請求項1に記載の方法。
【請求項3】
前記周波数スペクトルを導出することが、周波数スペクトルX(m,k)を導出することを含み、X(m,k)が、周波数インデックスkにおけるフレームmの前記周波数スペクトルを表す、請求項1または2に記載の方法。
【請求項4】
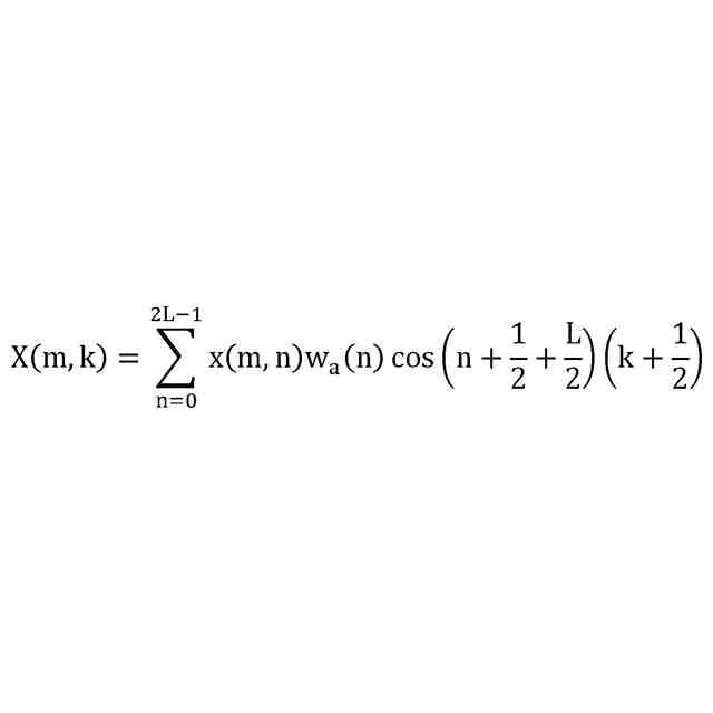
前記周波数スペクトルを導出することが、
前記入力オーディオ信号x(m,n)、n=0,1,2,…L-1を長さLのオーディオフレームにセグメント化することであって、mがフレームインデックスを表し、nがフレーム内のサンプルインデックスを表す、セグメント化することと、
TIFF
2025157307000043.tif
17
170
に従って周波数ドメイン表現で前記入力オーディオ信号を変換することであって、式中、X(m,k)は周波数インデックスkにおけるフレームmの修正離散コサイン変換(MDCT)の周波数スペクトルを表し、w
a
(n)が解析窓である、前記入力オーディオ信号を変換することと
周波数インデックスk=k
start
…k
end
によって規定されるX(m,k)の前記大きさスペクトルを取得することであって、前記臨界周波数範囲がX(m,k)の上半分である、前記大きさスペクトルを取得することと
を含む、請求項1から3のいずれか一項に記載の方法。
【請求項5】
前記臨界周波数範囲が、k
start
=320およびk
end
=639に対応し、入力サンプリングレートが32kHzであり、前記フレーム長がL=640である、請求項3または4に記載の方法。
【請求項6】
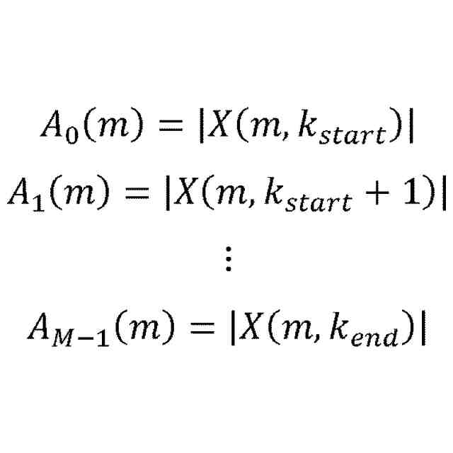
前記臨界周波数領域の前記周波数スペクトルの前記大きさを取得することが、
TIFF
2025157307000044.tif
35
170
に従って前記臨界周波数領域の前記周波数スペクトルの前記大きさを取得することを含み、式中、M=k
end
-k
start
+1が、臨界周波数領域に関連する臨界帯域の周波数インデックスの数である、請求項3から5のいずれか一項に記載の方法。
【請求項7】
前記ピークネス尺度を取得することが、
TIFF
2025157307000045.tif
18
170
に従って前記ピークネス尺度を取得することを含み、式中、crest(m)がフレームmの前記ピークネス尺度を与える、請求項6に記載の方法。
【請求項8】
前記ピークネス尺度を取得することが、
TIFF
2025157307000046.tif
36
170
に従って前記ピークネス尺度を取得することを含み、式中、A
thr
が相対閾値である、請求項6に記載の方法。
【請求項9】
A
thr
=0.1である、請求項8に記載の方法。
【請求項10】
A
thr
が範囲[0.01,0.4]内にある、請求項8に記載の方法。
(【請求項11】以降は省略されています)
発明の詳細な説明
【技術分野】
【0001】
本開示は、一般に、通信に関し、より詳細には、無線通信をサポートする通信方法ならびに関連するデバイスおよびノードに関する。
続きを表示(約 1,900 文字)
【背景技術】
【0002】
現代のオーディオコーデックは、異なる特性を有する信号に対して最適化された複数の圧縮方式からなる。通常、音声様信号は時間ドメインで動作するコーデックで処理され、音楽信号は変換ドメインで動作するコーデックで処理される。音声信号と音楽信号の両方を扱うことを目的とする符号化方式は、入力信号(音声/音楽分類器)を認識し、適切なコーデックモードを切り替える機構を必要とする。入力信号に基づくモード判定ロジックを使用するマルチモードオーディオコーデックの概略図を図1に示す。
【0003】
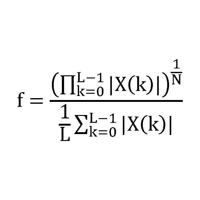
音楽信号のクラス間で同様に、雑音様音楽信号および高調波音楽信号を区別し、これらのグループの各々について分類器および最適な符号化方式を構築することができる。特に、疎でピークのある構造を有する信号の識別は、変換ドメインコーデックがこれらのタイプの信号のハンドリングに適しているため、非常に興味深い。
TIFF
2025157307000002.tif
17
170
に従って決定されるクレストCまたはスペクトル平坦度f
TIFF
2025157307000003.tif
18
170
などのピーク信号構造を識別することを目的としたいくつかの公知の信号尺度が存在する。
【0004】
高いスペクトル平坦度またはクレストは、そのようなスペクトルに適した符号化モードが選択され得ることを示し得る。
【発明の概要】
【0005】
現在、特定の課題が存在している。オーディオ符号化の分野では、様々な音声音楽分類器が使用されている。しかしながら、これらの音声音楽分類器は、音楽信号の空間内の異なるクラスを区別することができない場合がある。多くの音声音楽分類器は、複雑なマルチモードコーデックで必要とされるクラスを区別するのに十分な分解能を提供しない。
【0006】
高調波および雑音様音楽セグメント区別の問題は、周波数ドメイン係数上で直接計算される新規のメトリックによって解決される。このメトリックは、スペクトルのピークネス尺度と、スペクトルの雑音の多い成分を示すエネルギーの局所濃度の尺度とに基づく。
【0007】
これらの課題に対処する本発明の概念の様々な実施形態は、スペクトルの臨界帯域における周波数ドメインでの解析を伴う。解析は、少なくともピークネス尺度を含み、様々な実施形態は、スペクトル内の雑音の多い帯域の指標を与える追加の尺度を提供する。これらの尺度に基づいて、雑音の多い帯域を有する信号を回避しながら、強いピークを有する信号を標的とする少なくとも1つの符号化モードを使用するかどうかの判定が形成される。
【0008】
本発明の概念のいくつかの実施形態によれば、2つの符号化モードまたは符号化モードのグループのどちらを使用するかを決定するためのエンコーダにおける方法が提供される。本方法は、入力オーディオ信号の周波数スペクトルを導出することを含む。本方法は、周波数スペクトルの臨界周波数範囲の大きさを取得することをさらに含む。本方法は、ピークネス尺度を取得することをさらに含む。本方法は、雑音帯域検出尺度を取得することをさらに含む。本方法は、少なくともピークネス尺度および雑音帯域検出尺度に基づいて、2つの符号化モードまたは符号化モードのグループのうちのどちらを使用するかを決定することをさらに含む。本方法は、使用すると決定された符号化モードに基づいて入力オーディオ信号を符号化することをさらに含む。
【0009】
類似のエンコーダ、コンピュータプログラム、およびコンピュータプログラム製品が提供される。
【0010】
本発明の概念の他の実施形態によれば、入力オーディオ信号が高いピークネスおよび低いエネルギー濃度を有するかどうかを決定するためのエンコーダにおける方法が提供される。本方法は、入力オーディオ信号の周波数スペクトルを導出することを含む。本方法は、周波数スペクトルの臨界周波数範囲の大きさを取得することをさらに含む。本方法は、ピークネス尺度を取得することをさらに含む。本方法は、雑音帯域検出尺度を取得することをさらに含む。本方法は、少なくともピークネス尺度および雑音帯域検出尺度に基づいて高調波条件を決定することをさらに含む。本方法は、高調波条件が真であるか偽であるかの指標を出力することを含む。
(【0011】以降は省略されています)
この特許をJ-PlatPat(特許庁公式サイト)で参照する
関連特許
個人
木管楽器
8日前
株式会社豊田中央研究所
吸音構造体
16日前
本田技研工業株式会社
車室環境制御装置
12日前
株式会社東芝
吸音装置
14日前
積水樹脂株式会社
吸音シート
12日前
株式会社第一興商
カラオケ装置
6日前
カシオ計算機株式会社
発音装置、発音方法及びプログラム
1日前
カシオ計算機株式会社
減音器具
14日前
日本軽金属株式会社
遮音壁
6日前
株式会社第一興商
カラオケ装置
12日前
株式会社第一興商
カラオケ装置
16日前
カシオ計算機株式会社
減音器具
14日前
トヨタ自動車株式会社
判定装置
1日前
中原大學
能動騒音除去機能を持つレンジフード
16日前
ブラザー工業株式会社
カラオケ装置及びカラオケプログラム
6日前
シャープ株式会社
電子機器および電子機器の制御方法
6日前
日本電気株式会社
放送用システムおよび字幕作成方法
8日前
カシオ計算機株式会社
電子鍵盤楽器
12日前
ブラザー工業株式会社
カラオケ用プログラム、及び、カラオケ装置
5日前
株式会社JVCケンウッド
クリッピング装置及びクリッピング方法
16日前
大建工業株式会社
吸音体及び音環境調整構造
1日前
ブラザー工業株式会社
音声録音装置、及び、音声録音用プログラム
5日前
株式会社JVCケンウッド
収音装置、収音方法、およびプログラム
1日前
カシオ計算機株式会社
電子楽器、電子楽器の制御方法及びプログラム
12日前
トヨタ自動車株式会社
運転者認知機能改善システム
12日前
株式会社河合楽器製作所
鍵盤楽器の鍵盤装置
7日前
株式会社河合楽器製作所
鍵盤楽器の鍵盤装置
7日前
株式会社東芝
吸音装置及び音響メタマテリアル
14日前
株式会社リコー
対話装置、対話システム、対話方法及びプログラム
5日前
株式会社NTTドコモ
情報処理装置及び情報処理方法
6日前
株式会社河合楽器製作所
鍵盤楽器の楽音制御方法
7日前
株式会社河合楽器製作所
鍵盤楽器の楽音制御方法
7日前
カシオ計算機株式会社
制御装置、方法およびプログラム
16日前
株式会社河合楽器製作所
鍵盤楽器の楽音制御装置
7日前
カシオ計算機株式会社
制御装置、方法およびプログラム
16日前
カシオ計算機株式会社
演奏装置、方法およびプログラム
14日前
続きを見る
他の特許を見る