TOP
|
特許
|
意匠
|
商標
特許ウォッチ
Twitter
他の特許を見る
10個以上の画像は省略されています。
公開番号
2025158723
公報種別
公開特許公報(A)
公開日
2025-10-17
出願番号
2024061547
出願日
2024-04-05
発明の名称
レンズモジュール
出願人
三菱電機株式会社
代理人
個人
主分類
G02B
7/02 20210101AFI20251009BHJP(光学)
要約
【課題】レンズモジュールの小型化、光学性能、信頼性の向上、およびコストダウンを実現できるレンズモジュールを得ること。
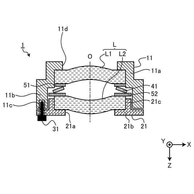
【解決手段】レンズL1およびレンズL2と、レンズL2を収容するレンズホルダ21と、一端側にレンズL1が収容され、レンズL2が収容されたレンズホルダ21が他端側から挿入される鏡筒11と、レンズホルダ21を光軸Oの方向に移動させる調整ボルト31と、鏡筒11内のレンズL2とレンズL1との間に介在され、レンズL1,L2に対し荷重を印加する円環形状の弾性体である皿ばね41と、を備える。
【選択図】図1
特許請求の範囲
【請求項1】
第1レンズおよび第2レンズと、
前記第1レンズを収容するレンズホルダと、
一端側に前記第2レンズが収容され、前記第1レンズが収容された前記レンズホルダが他端側から挿入される鏡筒と、
前記レンズホルダを光軸方向に移動させる移動機構と、
前記鏡筒内の前記第1レンズと前記第2レンズとの間に介在され、少なくとも前記第1レンズに対し、前記他端側への荷重を印加する円環形状の弾性体である弾性円環と、
を備える
ことを特徴とするレンズモジュール。
続きを表示(約 1,000 文字)
【請求項2】
前記弾性円環が皿ばねであることを特徴とする
請求項1に記載のレンズモジュール。
【請求項3】
前記弾性円環が平板円環であることを特徴とする
請求項1に記載のレンズモジュール。
【請求項4】
前記弾性円環がOリングであることを特徴とする
請求項1に記載のレンズモジュール。
【請求項5】
前記弾性円環は、
前記第2レンズに前記一端側への荷重を印加する
ことを特徴とする請求項1から4の何れか一つに記載のレンズモジュール。
【請求項6】
前記弾性円環と前記第1レンズとの間、および前記弾性円環と前記第2レンズとの間に保護ワッシャが介在する
ことを特徴とする請求項1から3の何れか一つに記載のレンズモジュール。
【請求項7】
前記移動機構はボルトであり、
前記ボルトのねじ部が前記鏡筒に係合され、
前記ボルトの座面が前記レンズホルダに当接し、
前記ボルトの締緩により、前記レンズホルダを光軸方向に移動させる
ことを特徴とする請求項1から4の何れか一つに記載のレンズモジュール。
【請求項8】
前記移動機構は、
マイクロメータヘッドと、
前記鏡筒に固定されて、前記マイクロメータヘッドを保持するマイクロメータホルダと、
を備え、
前記マイクロメータヘッドの測定面が、前記レンズホルダと当接することで前記レンズホルダを光軸方向に移動させる
ことを特徴とする請求項1から4の何れか一つに記載のレンズモジュール。
【請求項9】
前記レンズホルダの光軸方向への移動後、前記マイクロメータヘッドは前記マイクロメータホルダから取り外され、
前記マイクロメータホルダに挿入されるボルトで、前記レンズホルダの光軸方向の位置が固定される
ことを特徴とする請求項8に記載のレンズモジュール。
【請求項10】
前記移動機構が、前記レンズホルダの外周に形成されたおねじと、前記鏡筒の内周に形成されためねじと、を有し、
前記レンズホルダを光軸回りに回転させることで前記レンズホルダを光軸方向に移動させる
ことを特徴とする請求項1から4の何れか一つに記載のレンズモジュール。
発明の詳細な説明
【技術分野】
【0001】
本開示は、レンズモジュールに関する。
続きを表示(約 2,700 文字)
【背景技術】
【0002】
複数枚のレンズを組み合わせたレンズモジュールまたはレンズと撮像素子等とを組み合わせたレンズモジュールでは、光学性能を確保するため、レンズの光軸方向の位置を調整する機構を備えたものが知られている。レンズ間の距離により像面湾曲が生じたり、レンズと撮像素子との距離によりデフォーカスが生じることで、レンズモジュールの光学性能が劣化するため、光学性能を測定してレンズの光軸方向の位置を最適な位置に調整するための種々の機構が提案されている。
【0003】
特許文献1では、レンズを保持するレンズ保持部材を固定鏡筒に対して弾性円板によって保持し、レンズ保持部材をカム部材、カムフォロアー、ピン部材、および操作リングを有する押圧構造によって光軸方向に押圧する。押圧構造により光軸方向の位置が調整され、弾性円板の弾性力によりレンズ保持部材が付勢されることによって、レンズ保持部材の位置、姿勢が安定する。
【先行技術文献】
【特許文献】
【0004】
特開平9-43471号公報
【発明の概要】
【発明が解決しようとする課題】
【0005】
しかし、特許文献1では、レンズ保持部材の中にレンズを収容し固定しているために、押圧構造によってレンズ保持部材を押さえたり、接着剤によってレンズをレンズ保持部材に固定する必要がある。押さえ部材を用いる場合、その設置スペース分、レンズ移動機構ひいてはレンズモジュールが大型化する。接着剤を用いる場合、アウトガスによる光学性能、信頼性の低下懸念がある。さらに、いずれの場合も、部材点数の増加によるコストアップを招く。
【0006】
本開示は、上記に鑑みてなされたものであって、レンズモジュールの小型化、光学性能、信頼性の向上、およびコストダウンを実現できるレンズモジュールを得ることを目的とする。
【課題を解決するための手段】
【0007】
上述した課題を解決し、目的を達成するために、本開示のレンズモジュールは、第1レンズおよび第2レンズと、第1レンズを収容するレンズホルダと、一端側に第2レンズが収容され、第1レンズが収容されたレンズホルダが他端側から挿入される鏡筒と、レンズホルダを光軸方向に移動させる移動機構と、鏡筒内の第1レンズと第2レンズとの間に介在され、少なくとも第1レンズに対し、他端側への荷重を印加する円環形状の弾性体である弾性円環と、を備える。
【発明の効果】
【0008】
本開示のレンズモジュールによれば、レンズモジュールの小型化、光学性能、信頼性の向上、およびコストダウンを実現できる、という効果を奏する。
【図面の簡単な説明】
【0009】
実施の形態1にかかるレンズモジュールの構成を示す断面図
実施の形態1にかかるレンズモジュールの構成を示す底面図
実施の形態1にかかるレンズモジュールの構成を示す分解断面図
実施の形態1にかかるレンズモジュールの皿ばねの構成を示す斜視図
実施の形態1にかかるレンズモジュールの皿ばねの構成を示す上面図
実施の形態1にかかるレンズモジュールの皿ばねの構成を示す断面図
実施の形態1にかかるレンズモジュールの皿ばねの荷重印加時の変形の様子を示す模式図
実施の形態1にかかるレンズモジュールの皿ばねの設計例における諸元の一例を示す図
実施の形態1にかかるレンズモジュールの皿ばねの変形量と荷重との関係を示す図
実施の形態2にかかるレンズモジュールの構成を示す断面図
実施の形態2にかかるレンズモジュールの構成を示す底面図
実施の形態2にかかるレンズモジュールの構成を示す分解断面図
実施の形態2にかかるレンズモジュールの平板円環の構成を示す斜視図
実施の形態2にかかるレンズモジュールの平板円環の構成を示す上面図
実施の形態2にかかるレンズモジュールの平板円環の構成を示す断面図
実施の形態2にかかるレンズモジュールの平板円環の荷重印加時の変形の様子を示す模式図
実施の形態2にかかるレンズモジュールの平板円環の設計例における諸元の一例を示す図
実施の形態2にかかるレンズモジュールの平板円環の変形量と荷重との関係を示す図
実施の形態2にかかるレンズモジュールの変形例の構成を示す断面図
実施の形態2にかかるレンズモジュールの変形例の構成を示す底面図
実施の形態2にかかるレンズモジュールの変形例の構成を示す分解断面図
実施の形態3にかかるレンズモジュールの構成を示す断面図
実施の形態3にかかるレンズモジュールの構成を示す底面図
実施の形態3にかかるレンズモジュールの構成を示す分解断面図
実施の形態3にかかるレンズモジュールのOリングの構成を示す斜視図
実施の形態3にかかるレンズモジュールのOリングの構成を示す上面図
実施の形態3にかかるレンズモジュールのOリングの構成を示す断面図
実施の形態3にかかるレンズモジュールのOリングの荷重印加時の変形の様子を示す模式図
実施の形態3にかかるレンズモジュールのOリングの設計例における諸元の一例を示す図
実施の形態3にかかるレンズモジュールのOリングの変形量と荷重との関係を示す図
実施の形態4にかかるレンズモジュールの構成を示す上面図
実施の形態4にかかるレンズモジュールの構成を示す断面図
実施の形態4にかかるレンズモジュールの構成を示す底面図
実施の形態4にかかるレンズモジュールの構成を示す分解断面図
実施の形態4にかかるレンズモジュールにおいて、マイクロメータヘッドを取り外す手順を示す断面図
実施の形態5にかかるレンズモジュールの構成を示す断面図
実施の形態5にかかるレンズモジュールの構成を示す底面図
実施の形態5にかかるレンズモジュールの構成を示す分解断面図
【発明を実施するための形態】
【0010】
以下に、実施の形態にかかるレンズモジュールを図面に基づいて詳細に説明する。
(【0011】以降は省略されています)
この特許をJ-PlatPat(特許庁公式サイト)で参照する
関連特許
三菱電機株式会社
換気扇
5日前
三菱電機株式会社
換気扇
5日前
三菱電機株式会社
換気扇
5日前
三菱電機株式会社
回転電機
21日前
三菱電機株式会社
収集装置
3日前
三菱電機株式会社
電子機器
6日前
三菱電機株式会社
半導体装置
11日前
三菱電機株式会社
貯湯式給湯機
21日前
三菱電機株式会社
照明システム
11日前
三菱電機株式会社
電動機制御装置
17日前
三菱電機株式会社
誘導加熱調理器
5日前
三菱電機株式会社
風力発電システム
21日前
三菱電機株式会社
換気空調システム
21日前
三菱電機株式会社
照明制御システム
18日前
三菱電機株式会社
電流切替型DAC
11日前
三菱電機株式会社
レンズモジュール
3日前
三菱電機株式会社
全館空調システム
3日前
三菱電機株式会社
保護継電器及び配電盤
5日前
三菱電機株式会社
点灯装置および照明器具
3日前
三菱電機株式会社
車両空調機用診断システム
6日前
三菱電機株式会社
測位システムおよび固定局
4日前
三菱電機株式会社
半導体ウェハの外観検査装置
4日前
三菱電機株式会社
コントローラ及び送風システム
21日前
三菱電機株式会社
監視装置、および監視システム
12日前
三菱電機株式会社
加熱調理器及び加熱調理システム
12日前
三菱電機株式会社
換気装置、送風装置および制御装置
11日前
三菱電機株式会社
照明器具および照明器具の製造方法
13日前
三菱電機株式会社
指示支援装置、方法、及びプログラム
21日前
三菱電機株式会社
選択支援装置、方法、及びプログラム
10日前
三菱電機株式会社
照明制御装置および照明制御システム
17日前
三菱電機株式会社
照明制御装置および照明制御システム
21日前
三菱電機株式会社
インバータ装置およびモータ駆動装置
19日前
三菱電機株式会社
ゲート制御型ダイオードおよび電子回路
3日前
三菱電機株式会社
半導体装置および半導体装置の製造方法
13日前
三菱電機株式会社
回転電機のステータおよびその製造方法
21日前
三菱電機株式会社
設計支援システム及び設計支援プログラム
11日前
続きを見る
他の特許を見る