TOP
|
特許
|
意匠
|
商標
特許ウォッチ
Twitter
他の特許を見る
10個以上の画像は省略されています。
公開番号
2025160280
公報種別
公開特許公報(A)
公開日
2025-10-22
出願番号
2025121729,2022576344
出願日
2025-07-18,2021-06-10
発明の名称
エノールエーテルプロパフューム
出願人
フイルメニツヒ ソシエテ アノニム
,
Firmenich SA
代理人
アインゼル・フェリックス=ラインハルト
,
個人
,
個人
,
個人
主分類
C11B
9/00 20060101AFI20251015BHJP(動物性または植物性油,脂肪,脂肪性物質またはろう;それに由来する脂肪酸;洗浄剤;ろうそく)
要約
【課題】それ自体では揮発性が高すぎるか、残留性が乏しいか、または最終的な適用物の表面に少量しか堆積しない標準的な香料原料について持続性を付与する方法、付香組成物、着香消費製品を提供する。
【解決手段】プロパフューム化合物としての式(I)の化合物に関する。特に本発明は、式(I)の化合物を、それが酸化される環境に曝露することによって、化合物、すなわち特定の式で表されるカルボニル、ギ酸エステルおよび/またはアルコールを放出する方法に関する。さらに本発明は、式(I)の少なくとも1つの化合物を含む、付香組成物および着香消費製品に関する。
<com:Image com:imageContentCategory="Drawing"> <com:ImageFormatCategory>TIFF</com:ImageFormatCategory> <com:FileName>2025160280000085.tif</com:FileName> <com:HeightMeasure com:measureUnitCode="Mm">22</com:HeightMeasure> <com:WidthMeasure com:measureUnitCode="Mm">169</com:WidthMeasure> </com:Image>
【選択図】なし
特許請求の範囲
【請求項1】
以下:
a)式
TIFF
2025160280000080.tif
18
169
[式中、
R
1
は、C
1~15
アルキル基、C
3~15
アルケニル基、C
6~10
アリール基、C
3~15
シクロアルキル基、C
5~15
シクロアルケニル基またはC
3~14
ヘテロシクロアルキル基であり、該基はそれぞれ、ヒドロキシ基、C
1~15
アルキル基、C
2~15
アルケニル基、C
1~15
アルコキシ基、C
2~15
アルケニルオキシ基、C
3~15
シクロアルキル基、C
5~15
シクロアルケニル基、C
3~15
ヘテロシクロアルキル基、カルボン酸基、C
1~4
カルボン酸エステル基、C
6~10
アリール基および/またはC
6~10
アリールオキシ基のうちの1つ以上により任意で置換されており、該基はそれぞれ、C
1~8
アルキル基、C
1~8
アルコキシ基、ヒドロキシ基、カルボン酸基および/またはC
1~4
カルボン酸エステル基のうちの1つ以上により任意で置換されており;
R
2
は、水素原子、C
1~6
アルキル基またはフェニル基を表し;あるいは
R
1
およびR
2
が一緒になって、C
5~16
シクロアルキル基、C
5~16
シクロアルケニル基、C
4~14
ヘテロシクロアルキル基またはC
4~14
ヘテロシクロアルケニル基を形成し、該基はそれぞれ、C
1~15
アルキル基、C
2~15
アルケニル基、C
1~15
アルコキシ基、C
3~15
シクロアルキル基、C
5~15
シクロアルケニル基、C
6~10
アリール基および/またはC
6~10
アリールオキシ基のうちの1つ以上により任意で置換されており、該基はそれぞれ、C
1~8
アルキル基、C
1~8
アルコキシ基、カルボン酸基および/またはC
1~4
カルボン酸エステル基のうちの1つ以上により任意で置換されており、ここで、ヘテロ原子は、1つ以上の酸素原子を表す]のカルボニル化合物、
b)式
TIFF
2025160280000081.tif
22
169
[式中、
R
3
は、水素原子、C
1~10
アルキル基、C
3~10
続きを表示(約 1,700 文字)
【請求項2】
R
2
は、水素原子、C
1~3
アルキル基を表し、好ましくは、水素原子またはメチル基を表す、請求項1記載の方法。
【請求項3】
R
4
は、水素原子またはC
1~3
アルキル基を表し、好ましくは、水素原子またはメチル基を表す、請求項1または2記載の方法。
【請求項4】
R
5
は、水素原子であるか、あるいはR
4
がメチル基である場合、R
5
は、水素原子またはメチル基である、請求項1から3までのいずれか1項記載の方法。
【請求項5】
R
1
は、C
1~10
アルキル基、C
3~10
アルケニル基、C
3~11
シクロアルキル基またはC
5~11
シクロアルケニル基であり、前記基はそれぞれ、C
1~4
アルキル基、C
1~4
アルコキシ基、C
3~8
シクロアルキル基、C
5~8
シクロアルケニル基、C
6
アリール基および/またはC
6
アリールオキシ基のうちの1つ以上により任意で置換されており、前記基はそれぞれ、C
1~4
アルキル基、ヒドロキシ基および/またはC
1~4
アルコキシ基のうちの1つ以上により任意で置換されている、請求項1から4までのいずれか1項記載の方法。
【請求項6】
R
1
は、ナフチル基またはフェニル基であり、前記基は、1つまたは2つのR
1’
基で任意で置換されており、ここで、R
1’
は、同時にまたは独立して、ヒドロキシ基、C
1~3
アルキル基、C
1~3
アルコキシ基、R
a
COO基、R
a
OCO基を表し、ここで、R
a
は、水素原子、C
1~3
アルキル基、C
2~3
アルケニル基であるか、あるいは隣接する2つのR
1’
が一緒になって、-O-(CH
2
)
m
-O-[ここで、mは、1または2である]を表すか、またはC
5~6
飽和もしくは不飽和環を形成する、請求項1から4までのいずれか1項記載の方法。
【請求項7】
前記式(II)および/または(IV)の化合物は、付香成分である、請求項1から6までのいずれか1項記載の方法。
【請求項8】
前記化合物が酸化される環境は、空気である、請求項1から7までのいずれか1項記載の方法。
【請求項9】
付香組成物、前記付香組成物の周囲の空気、表面または着香物品の香り特性を付与、強化、改善または変調する方法であって、前記組成物、前記空気または前記物品に、請求項1から8までのいずれか1項で定義された式(I)の少なくとも1つの化合物の有効量を加えるか、または前記表面を前記有効量と接触させるかもしくは前記表面を前記有効量で処理することを含む方法。
【請求項10】
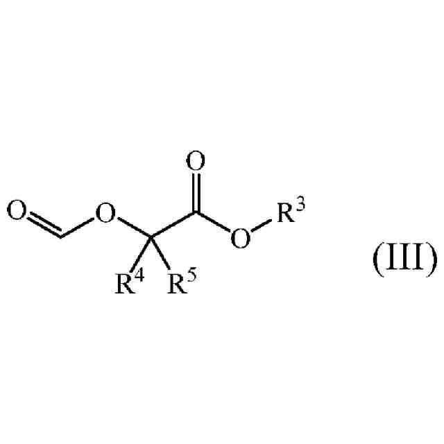
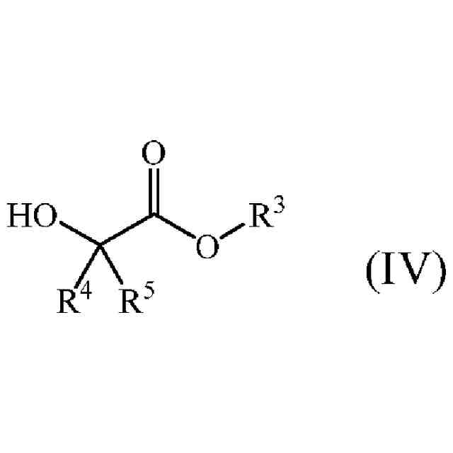
表面または付香組成物の周囲の空気への、請求項1から8までのいずれか1項で定義された式(II)の少なくとも1つのカルボニル化合物、式(III)の少なくとも1つの活性ギ酸エステルおよび/または式(IV)の少なくとも1つの活性アルコールの特徴的なフレグランスの拡散効果を増強または延長する方法であって、前記表面または前記空気を、式(II)の少なくとも1つのケトンもしくはアルデヒド、式(III)の少なくとも1つのギ酸エステルおよび/または式(IV)の少なくとも1つのアルコールの経時的な放出を許容し得る条件下で、請求項1から8までのいずれか1項で定義された少なくとも1つの化合物(I)、または少なくとも1つの化合物(I)を含む組成物もしくは物品で処理する方法。
(【請求項11】以降は省略されています)
発明の詳細な説明
【技術分野】
【0001】
本発明は、プロパフューム化合物としての式(I)の化合物に関する。特に本発明は、式(I)の化合物を、それが酸化される環境に曝露することによって、化合物、すなわち式(II)のカルボニル、式(III)のギ酸エステルおよび/または式(IV)のアルコールを放出する方法に関する。さらに本発明は、式(I)の少なくとも1つの化合物を含む、付香組成物および着香消費製品に関する。
続きを表示(約 3,600 文字)
【0002】
背景
香料産業では、少なくとも1つの付香成分の付香効果をある期間延長または増強することができる組成物または添加剤に特に関心が寄せられている。それ自体では揮発性が高すぎるか、残留性が乏しいか、または最終的な適用物の表面に少量しか堆積しない標準的な香料原料について持続性を得ることが特に望まれている。さらに、香料成分の中には不安定なものがあり、使用前に緩慢な劣化から保護する必要がある。持続性香料は、例えば高級な、または機能的な香料調合物または化粧品のような様々な用途に望ましいものである。テキスタイルの洗濯および柔軟処理は、活性物質、特に香料または付香組成物の効果が洗濯、柔軟処理および乾燥後に一定期間有効となり得ることが常に求められている特定の分野である。実際に、この種の用途に特に適した多くの活性物質は、洗濯物への付着性に欠けるか、またはすすぎ時に洗濯物に残らないことが知られており、その結果、その付香効果は短時間しか体験できず、あまり強くはない。香料産業におけるこの種の用途の重要性を考慮し、本分野の研究は特に、前述の課題に対する新規でかつより効果的な解決策を見出すことを目的として、持続的に行われてきた。
【0003】
国際公開第2019243501号には、カルボニル化合物、ギ酸エステル化合物およびアルコール化合物を効率的に放出することができるエノールエーテルが開示されている。しかし、これらの化合物は、酸性条件下では数日後に一部が加水分解される場合がある。
【0004】
ここで、驚くべきことに、本発明によるエノールエーテル化合物によって、化合物、すなわち、式(II)のカルボニル、式(III)のギ酸エステルおよび/または式(IV)のアルコールの効率的な放出をなおも可能としつつ加水分解速度の低下により上記課題が解決されることが見出された。
【0005】
詳細な説明
嗅覚は複雑で動的なプロセスであり、揮発性フレグランス化合物の放出プロファイルを制御することにより、フレグランス配合物のインパクトを最大化し、かつ感覚的体験を豊かにすることができる。本発明の化合物のようなプロフレグランスは、酸性媒体においてより良好な安定性を有しつつ、高揮発性香料原料(PRM)の放出プロファイルに制御の幅を持たせると同時に持続性を付与する。
【0006】
特定の理論に限定することを意図するものではないが、本発明の化合物は、PRMを分子アンカーに繋ぎ止め、このアンカーから揮発性PRMを放出するために特定の環境条件下で特定の反応機構を必要とすることによって、付香組成物の嗅覚特性に対するその効果を達成することができる。本発明では、周囲空気中の酸素へのプロフレグランスの曝露時に、1つ、2つまたは最大3つのPRMの放出が酸化によって促される。
【0007】
本発明の第1の主題は、以下:
a)式
TIFF
2025160280000001.tif
18
169
[式中、
R
1
は、C
1~15
アルキル基、C
3~15
アルケニル基、C
6~10
アリール基、C
3~15
シクロアルキル基、C
5~15
シクロアルケニル基またはC
3~14
ヘテロシクロアルキル基であり、該基はそれぞれ、ヒドロキシ基、C
1~15
アルキル基、C
2~15
アルケニル基、C
1~15
アルコキシ基、C
2~15
アルケニルオキシ基、C
3~15
シクロアルキル基、C
5~15
シクロアルケニル基、C
3~15
ヘテロシクロアルキル基、カルボン酸基、C
1~4
カルボン酸エステル基、C
6~10
アリール基および/またはC
6~10
アリールオキシ基のうちの1つ以上により任意で置換されており、該基はそれぞれ、C
1~8
アルキル基、C
1~8
アルコキシ基、ヒドロキシ基、カルボン酸基および/またはC
1~4
カルボン酸エステル基のうちの1つ以上により任意で置換されており;
R
2
は、水素原子、C
1~6
アルキル基またはフェニル基を表し;あるいは
R
1
およびR
2
が一緒になって、C
5~16
シクロアルキル基、C
5~16
シクロアルケニル基、C
4~14
ヘテロシクロアルキル基またはC
4~14
ヘテロシクロアルケニル基を形成し、該基はそれぞれ、C
1~15
アルキル基、C
2~15
アルケニル基、C
1~15
アルコキシ基、C
3~15
シクロアルキル基、C
5~15
シクロアルケニル基、C
6~10
アリール基および/またはC
6~10
アリールオキシ基のうちの1つ以上により任意で置換されており、該基はそれぞれ、C
1~8
アルキル基、C
1~8
アルコキシ基、カルボン酸基および/またはC
1~4
カルボン酸エステル基のうちの1つ以上により任意で置換されており、ここで、ヘテロ原子は、1つ以上の酸素原子を表す]のカルボニル化合物、
b)式
TIFF
2025160280000002.tif
22
169
[式中、
R
3
は、水素原子、C
1~10
アルキル基、C
3~10
【0008】
本発明の実施形態のいずれか1つによれば、式(II)、(III)または(IV)の化合物の少なくとも1つは、活性化合物である。
【0009】
「活性化合物」、「活性揮発性化合物」、「活性揮発性カルボニル、ギ酸エステルおよび/またはアルコール」または同様の用語は、カルボニル、ギ酸エステルおよび/またはアルコール化合物であって、その周囲の環境に有益性または効果を与え得るものと理解される。特に、「活性化合物」は、付香成分、フレーバリング成分、悪臭中和成分、抗微生物成分および昆虫忌避または誘引成分からなる群から選択される。したがって、化合物が「活性化合物」であるとみなされるためには、付香成分として、悪臭中和成分として、フレーバリング成分として、抗微生物成分としておよび/または昆虫忌避剤もしくは誘引剤として有用となる少なくとも1つの特性を有している必要がある。
【0010】
「付香成分」という用語は、快楽的効果を付与するために付香調合物または付香組成物において活性成分として使用される化合物であると理解される。言い換えれば、付香成分であるとみなされる化合物は、単に香りを有するだけでなく、組成物の香りを好ましいように、または心地良いように付与または変調することができるものと香料技術分野の当業者に認識されなければならない。付香成分は、香りの変調または付与以外の付加的な有益性、例えば、持続性、ブルーミング、悪臭中和性、抗微生物効果、抗ウイルス効果、微生物安定性または有害生物防除性を付与することができる。「フレーバリング成分」という用語は、試食者のパレットに味覚を付与することができるものと理解される。「悪臭中和成分」という用語は、悪臭、すなわち、人間の鼻にとって不快または劣悪な香りの知覚を低減することができるものと理解される。「抗微生物成分」という用語は、微生物を殺滅する、またはその増殖および/もしくは蓄積を低減もしくは防止することができるものと理解され、抗菌、抗生、抗真菌、抗ウイルスおよび抗寄生虫成分が含まれる。「昆虫誘引剤または忌避剤」という用語は、昆虫に対して正または負の効果を有する化合物と理解される。昆虫誘引または忌避成分の例は、例えばA. M. El-Sayed, The Pherobase 2005, http://www.pherobase.netのような参照文献または同様の性質の他の著作物に記載されている。
(【0011】以降は省略されています)
この特許をJ-PlatPat(特許庁公式サイト)で参照する
関連特許
三商株式会社
食器用洗剤組成物
23日前
伯東株式会社
銅系配管の洗浄方法
23日前
花王株式会社
洗浄剤組成物
1日前
花王株式会社
洗浄剤組成物
1日前
花王株式会社
洗浄剤組成物
1日前
花王株式会社
界面活性剤組成物
29日前
花王株式会社
衣料用液体洗浄剤
21日前
花王株式会社
衣料用液体洗浄剤
21日前
川研ファインケミカル株式会社
固形洗浄剤組成物
22日前
花王株式会社
硬質表面用液体洗浄剤組成物
21日前
小林製薬株式会社
洗浄剤組成物
15日前
小林製薬株式会社
洗浄剤組成物
2日前
個人
薄形の円板状、楕円板状等に形成する薄形の固形石鹸
3日前
サンスター技研株式会社
離毛用水性組成物
15日前
株式会社カネカ
油脂の製造方法
1か月前
花王株式会社
漂白洗浄剤組成物及びカビ汚れの漂白洗浄方法
1か月前
株式会社コープクリーン
粉末洗浄剤組成物
1か月前
個人
お香製造方法、情報処理システム、情報処理方法、及びプログラム
9日前
有限会社エフ・アールエム
液体洗浄剤
14日前
株式会社ADEKA
除菌洗浄剤組成物
22日前
大日本印刷株式会社
熱転写シートの洗浄方法およびリサイクル原料の製造方法
21日前
日本珪華化学工業株式会社
家庭用洗浄剤組成物および家庭用洗浄剤組成物の製造方法
1か月前
株式会社レゾナック
洗浄組成物及び洗浄組成物の製造方法
1か月前
ライオン株式会社
硬質表面用液体洗浄剤、及び硬質表面用液体洗浄剤製品
1か月前
オルガノ株式会社
タンパク質洗浄剤およびタンパク質洗浄方法
16日前
パネフリ工業株式会社
農業用ハウス洗浄剤とその製造方法
1か月前
ASPiA JAPAN株式会社
グリストラップから油分を回収しリサイクルする方法
1か月前
株式会社ニッスイ
低温で濁りを生じない油、及びその製造方法
10日前
株式会社アルボース
液体洗浄剤組成物およびその液体洗浄剤組成物を用いた洗浄方法
1か月前
AGC株式会社
組成物、洗浄方法、塗膜形成用組成物、エアゾール組成物、熱移動媒体
29日前
AGC株式会社
組成物、洗浄方法、塗膜形成用組成物、エアゾール組成物、熱移動媒体
29日前
三菱瓦斯化学株式会社
医療機器洗浄用過酢酸組成物及びその製造方法
24日前
エコラボ ユーエスエー インコーポレイティド
固体非イオン性界面活性剤組成物
7日前
ザ プロクター アンド ギャンブル カンパニー
食器手洗い用液体洗剤組成物
23日前
フイルメニツヒ ソシエテ アノニム
エノールエーテルプロパフューム
9日前
ディーエスエム アイピー アセッツ ビー.ブイ.
異性化糖の使用により洗浄剤組成物の起泡特性を増大させる方法
1か月前
続きを見る
他の特許を見る