TOP
|
特許
|
意匠
|
商標
特許ウォッチ
Twitter
他の特許を見る
10個以上の画像は省略されています。
公開番号
2025134353
公報種別
公開特許公報(A)
公開日
2025-09-17
出願番号
2024032204
出願日
2024-03-04
発明の名称
鉄鉱石の造粒プロセスの設計方法およびこれを用いた原料処理方法
出願人
日本製鉄株式会社
代理人
個人
,
個人
,
個人
,
個人
,
個人
,
個人
,
個人
,
個人
主分類
C22B
1/14 20060101AFI20250909BHJP(冶金;鉄または非鉄合金;合金の処理または非鉄金属の処理)
要約
【課題】本発明は試行錯誤を要することなく、鉄鉱石の特性に応じた最適な造粒を効率的に行うことができる鉄鉱石の造粒プロセスの設計方法を提供することを目的とする。
【課題手段】造粒プロセスの付着性および流動性の範囲である条件範囲を決定するステップと、造粒対象となる鉄鉱石の付着性と流動性を計測するステップと、造粒対象となる鉄鉱石の付着性と流動性の計測値を条件範囲として含む造粒プロセスを選択するステップと、を有する鉄鉱石の造粒プロセスの設計方法である。
【選択図】図1
特許請求の範囲
【請求項1】
複数の鉄鉱石の造粒プロセスの中から利用可能な造粒プロセスを選択する設計方法であって、
前記複数の鉄鉱石の造粒プロセスについて、それぞれ、造粒可能な造粒原料の付着性及び流動性の条件範囲を決定するステップと、
造粒対象となる前記鉄鉱石の付着性及び流動性を計測するステップと、
前記複数の鉄鉱石の造粒プロセスのそれぞれの条件範囲と、前記鉄鉱石の付着性及び流動性の計測値とに基づき、前記造粒対象の鉄鉱石を造粒可能な造粒プロセスを選択するステップと、
を有することを特徴とする鉄鉱石の造粒プロセスの設計方法。
続きを表示(約 1,000 文字)
【請求項2】
前記造粒対象の鉄鉱石を造粒可能な造粒プロセスを選択するステップにおいて、
前記鉄鉱石の付着性及び流動性の計測値が、いずれかの前記条件範囲に属した場合に、その条件範囲を有する造粒プロセスを採用するステップを有ることを特徴とする請求項1記載の鉄鉱石の造粒プロセスの設計方法。
【請求項3】
前記鉄鉱石の付着性及び流動性を計測するステップにおいて、
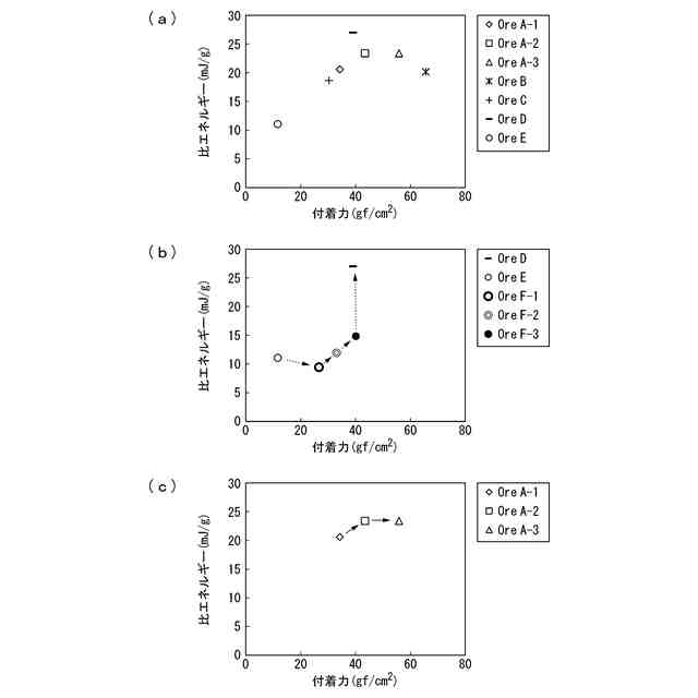
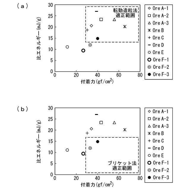
前記鉄鉱石の含水率毎に付着性及び流動性を計測し、得られた値のうち、最大値、最小値または中間値のいずれかを前記計測値として用いることを特徴とする請求項1または請求項2記載の鉄鉱石の造粒プロセスの設計方法。
【請求項4】
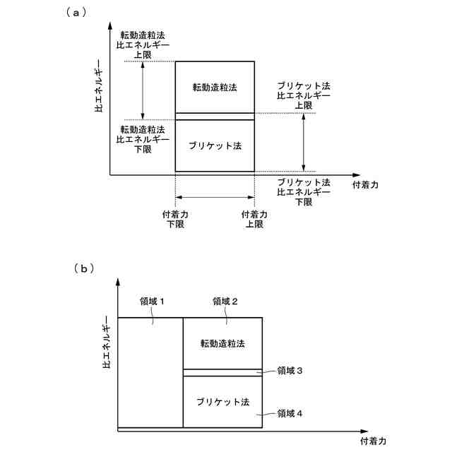
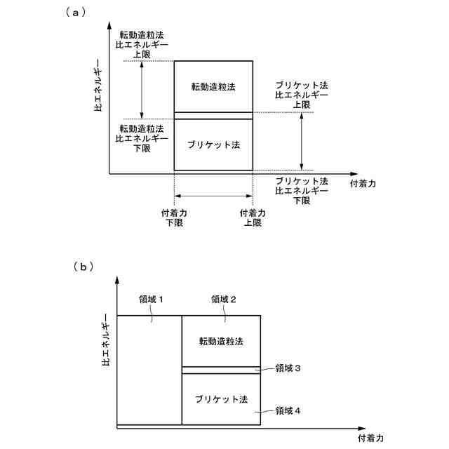
前記造粒プロセスが、転動造粒法またはブリケット法である請求項1または請求項2記載の鉄鉱石の造粒プロセスの設計方法。
【請求項5】
予め決められた造粒プロセスを利用可能とする鉄鉱石の処理方法であって、
予め決められた造粒プロセスの造粒可能な造粒原料の付着性及び流動性の条件範囲を決定するステップと、
造粒対象となる鉄鉱石の付着性及び流動性を計測するステップと、
予め決められた造粒プロセスの条件範囲に属するように、造粒対象となる鉄鉱石を処理するステップと、
を有することを特徴とする原料処理方法。
【請求項6】
予め決められた造粒プロセスの条件範囲に属するように、造粒対象となる造粒対象となる鉄鉱石を処理するステップにおいて、
造粒対象となる鉄鉱石の粒度または配合の少なくとも1つ以上を調整するステップを有することを特徴とする請求項5記載の原料処理方法。
【請求項7】
前記造粒対象となる鉄鉱石の付着性及び流動性を計測するステップにおいて、
前記鉄鉱石の含水率毎に付着性及び流動性を計測し、得られた値のうち、最大値、最小値または中間値のいずれかを計測値として用いることを特徴とする請求項5または請求項6記載の原料処理方法。
【請求項8】
前記造粒プロセスが、転動造粒法またはブリケット法である請求項5または請求項6記載の原料処理方法。
【請求項9】
前記流動性の指標として比エネルギーを用いることを特徴とする請求項1または請求項2記載の造粒プロセスの設計方法。
【請求項10】
前記流動性の指標として比エネルギーを用いることを特徴とする請求項5または請求項6記載の原料処理方法。
発明の詳細な説明
【技術分野】
【0001】
本発明は、造粒対象となる原料である粉状の鉄鉱石および微粉鉱石(以下、まとめて、「鉄鉱石」という。)を造粒するプロセスを設計する方法およびこれを用いて既存の造粒プロセスに適合するように造粒対象となる原料を処理する方法に関するものである。
続きを表示(約 2,100 文字)
【背景技術】
【0002】
高炉製鉄法では、焼結鉱が主原料である。焼結鉱は、焼結原料を焼結機で焼成してつくる。焼結原料は主に粉鉱石と副原料等から成る。その大半は粒径10mm以下の鉄鉱石である。残りは副原料、雑原料及びコークスである。
鉄鉱石の平均粒径は通常2.0~3.0mmであり、副原料の粒径は5mm以下のものが多く、平均粒径は通常0.5~2.0mmである。コークスのそれは3mm以下、平均粒径で1.0~1.5mmに調整される。
【0003】
焼結原料は、水を添加して混合され、造粒される。造粒後の粒子は擬似粒子とよばれる。擬似粒子の構造は、粒径0.5mm以下の粒子が粒径2mm以上の粒子に付着したものであり、これによってその平均粒径が2.5~3.5mmとなる。
ここに、造粒物の粒度は、造粒プロセスにおける水分条件、鉄鉱石の造粒特性および設備因子に複雑に依存する。
【0004】
特許文献1では、焼結原料中の水分を0~20[質量%]の範囲で変化させて圧縮成形体を作り、その成形体の単位面積当たりの垂直破断力である「付着力」を測定して、その最大値に対する水分量を求め、これを造粒時に必要な最適水分量とし、焼結原料中の水分が前記最適水分量となるように、造粒すべき焼結鉱原料の不足する水分を添加し、あるいは、過剰な水分を除去し、さらに水分量の均一化を図ったのち、得られた水分量調整後の焼結鉱原料を造粒する方法が開示している。
しかしながら、特許文献1に開示された方法は、焼結法を対象として、原料の最適造粒水分の予測方法であり、最適な造粒プロセスを設計する指針を与えるものではない。
【0005】
ここで、後の説明の便宜として、特許文献1を用いて付着力の測定方法を説明する。
図10は特許文献1に開示された混合物の成形機の概略図である。付着力を測定するにあたり、焼結用原料には予め定められた量の水が加えられ、全体が均一になるように混合された後、円筒容器aに充填される。加圧成形機を用いて、予め定められた高さ及び空隙率になるように圧縮成形される。
図9は特許文献1に開示された付着力測定装置の概略図であり、図10に示す加圧成型機にて成形された焼結用原料は、図9に示す装置にセットされる。下部容器a
2
をストッパーbに固定するとともに、引張治具cを上部容器a
1
に取り付ける。次に、図9のモーターgを駆動させてワイヤhを所定の速度で巻取ることで測定を開始し、分割面a
3
に対する引張荷重は、荷重測定装置fに連続的に記録され、上部容器a
1
と下部容器a
2
が分離した時点でモーターgは自動的に停止する。モーターgが停止した時の荷重(g)を試料断面積a
3
(cm
2
)で除した値を付着力(g/cm
2
)とする。
【0006】
非特許文献1では、鉱石の表面性状の中で、水との関係で重要になる濡れ性に着目し、鉱石の濡れ性と疑似粒化性の関係を調査している。具体的には、濡れ性の測定には湿潤熱を最小熱量計で計測し、湿潤熱と疑似粒化指数GIとの間に相関関係があることを導いている。しかしながら、最適な造粒プロセスを設計する指針を与えるには至っていない。
【0007】
さて、粉状の鉄鉱石は、焼結法や団鉱法で塊成化される。それらの塊成化法の事前処理として、転動造粒法やブリケット法(圧縮成形法)などにより造粒される。
また、ペレットフィードと称される微粉鉱石を団鉱化する場合にも、その事前処理として転動造粒法とブリケット法の両方が採用されている。
粉状の鉄鉱石や微粉鉱石の特性に応じて、最適な造粒プロセスを用いるならば、効率的な造粒を実施できる。
しかしながら、鉱石特性から事前に最適な造粒プロセスを選択する方法が確立できていないため、試行錯誤を要しており、効率的な造粒が行えていなかった。
また、既存の造粒プロセスに適合した原料処理方法をどのように行うかについても、方法が確立していないため、試行錯誤を要しており、効率的な造粒が行えていなかった。
【先行技術文献】
【特許文献】
【0008】
特開平09-241765号公報
【非特許文献】
【0009】
“焼結原料の疑似粒化”、浮選、Vol.28(1981), No.2,p.99~109
【発明の概要】
【発明が解決しようとする課題】
【0010】
本発明は試行錯誤を要することなく、原料である粉状の鉄鉱石や微粉鉱石の特性から最適な造粒プロセスを事前に判断できる鉄鉱石の造粒プロセスの設計方法を提供すること、および、既存の造粒プロセスに適合した原料処理方法を提供することを目的とする。
【課題を解決するための手段】
(【0011】以降は省略されています)
この特許をJ-PlatPat(特許庁公式サイト)で参照する
関連特許
日本製鉄株式会社
鋼材
1か月前
日本製鉄株式会社
鋼材
2か月前
日本製鉄株式会社
鋼材
1か月前
日本製鉄株式会社
鋼材
1か月前
日本製鉄株式会社
車輪
1か月前
日本製鉄株式会社
鋼材
1か月前
日本製鉄株式会社
床構造
4日前
日本製鉄株式会社
床構造
4日前
日本製鉄株式会社
剪断機
4日前
日本製鉄株式会社
ボルト
4日前
日本製鉄株式会社
ボルト
1か月前
日本製鉄株式会社
耐摩耗鋼
1か月前
日本製鉄株式会社
構造部材
14日前
日本製鉄株式会社
筒型構造
1か月前
日本製鉄株式会社
管理装置
25日前
日本製鉄株式会社
耐火構造物
16日前
日本製鉄株式会社
リクレーマ
25日前
日本製鉄株式会社
耐火構造物
16日前
日本製鉄株式会社
耐火構造物
16日前
日本製鉄株式会社
転炉精錬方法
14日前
日本製鉄株式会社
高炉操業方法
1か月前
日本製鉄株式会社
鋼の製造方法
1か月前
日本製鉄株式会社
高Ni合金板
25日前
日本製鉄株式会社
ステンレス鋼材
2か月前
日本製鉄株式会社
ステンレス鋼材
2か月前
日本製鉄株式会社
高炉の操業方法
22日前
日本製鉄株式会社
ステンレス鋼材
2か月前
日本製鉄株式会社
高炉の操業方法
24日前
日本製鉄株式会社
高炉の冷却構造
28日前
日本製鉄株式会社
溶鉄の製造方法
1か月前
日本製鉄株式会社
ステンレス鋼板
1か月前
日本製鉄株式会社
溶鋼の製造方法
1か月前
日本製鉄株式会社
溶鉄の製造方法
1か月前
日本製鉄株式会社
溶鉄の製造方法
1か月前
日本製鉄株式会社
金属材の製造方法
今日
日本製鉄株式会社
合成梁及び床構造
14日前
続きを見る
他の特許を見る