TOP
|
特許
|
意匠
|
商標
特許ウォッチ
Twitter
他の特許を見る
公開番号
2025148126
公報種別
公開特許公報(A)
公開日
2025-10-07
出願番号
2024048736
出願日
2024-03-25
発明の名称
グリース組成物
出願人
コスモ石油ルブリカンツ株式会社
代理人
弁理士法人太陽国際特許事務所
主分類
C10M
169/06 20060101AFI20250930BHJP(石油,ガスまたはコークス工業;一酸化炭素を含有する工業ガス;燃料;潤滑剤;でい炭)
要約
【課題】耐水性及び塩水に対する防錆性に優れたグリース組成物を提供する。
【解決手段】基油と、カルシウム石けん及びリチウム石けんを含む増ちょう剤と、ソルビタン脂肪酸エステルと、脂肪酸亜鉛と、を含有する、グリース組成物。
【選択図】なし
特許請求の範囲
【請求項1】
基油と、カルシウム石けん及びリチウム石けんを含む増ちょう剤と、ソルビタン脂肪酸エステルと、脂肪酸亜鉛と、を含有する、グリース組成物。
続きを表示(約 360 文字)
【請求項2】
前記基油が、ポリアルファオレフィン及び鉱油からなる群から選択される少なくとも1種を含む、請求項1に記載のグリース組成物。
【請求項3】
前記ソルビタン脂肪酸エステルが、ソルビタンモノオレートである、請求項1に記載に記載のグリース組成物。
【請求項4】
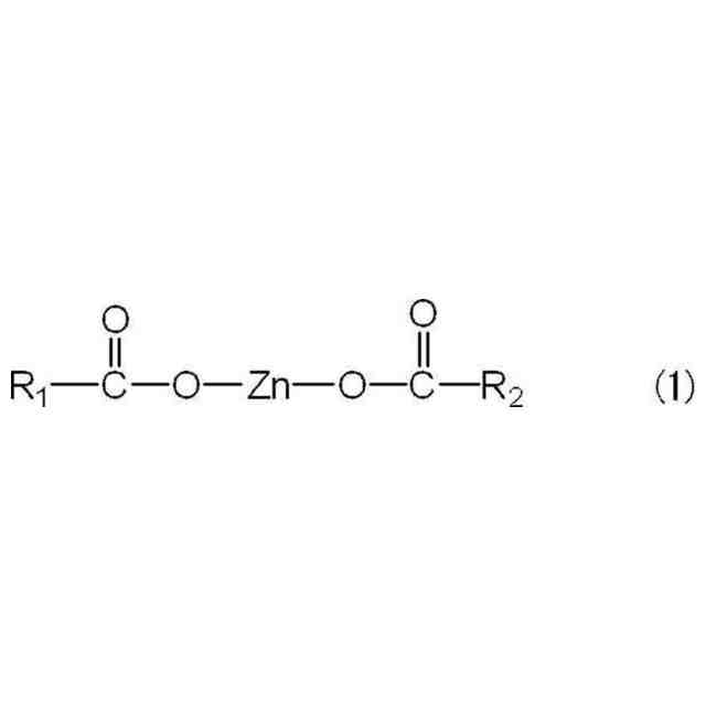
前記脂肪酸亜鉛が、下記式(1)で表される化合物を含む、請求項1に記載のグリース組成物。
JPEG
2025148126000006.jpg
12
71
式(1)中、R
1
及びR
2
は、それぞれ独立に、炭素数8~18の脂肪族炭化水素基を表す。
【請求項5】
混和ちょう度が355以上である、請求項1に記載のグリース組成物。
発明の詳細な説明
【技術分野】
【0001】
本開示は、グリース組成物に関する。
続きを表示(約 1,200 文字)
【背景技術】
【0002】
グリース組成物の使用対象物は、水に接触する環境下で使用されることがある。このため、耐水性に着目したグリース組成物が提案されている。例えば、特許文献1には、「鉱油系潤滑油基油及び合成系潤滑油基油から選ばれる少なくとも1種の基油に、カルシウム石けん系増ちょう剤、カルシウムスルホネートコンプレックス及びポリウレアから選ばれる少なくとも1種の増ちょう剤と、リチウム石けん系増ちょう剤及び複合体リチウム石けん系増ちょう剤から選ばれる少なくとも1種の増ちょう剤を配合質量比で95:5~50:50の割合で含有させ、かつ、混和ちょう度が220~385となるグリース組成物」が提案されている。
【先行技術文献】
【特許文献】
【0003】
特開2007-70461号公報
【発明の概要】
【発明が解決しようとする課題】
【0004】
ところで、グリース組成物の使用対象物の中には、雨水のみならず、海水(即ち、塩水)に晒される環境においても使用される物が(例えば、船舶、自動車、釣り具のリールなど)ある。このため、耐水性及び塩水に対する防錆性に優れたグリース組成物への需要がある。
【0005】
本開示は、上記のような事情に鑑みてなされたものであり、本開示の一実施形態は、耐水性及び塩水に対する防錆性に優れたグリース組成物を提供することを課題とする。
【課題を解決するための手段】
【0006】
本開示に係るグリース組成物は、以下の実施態様を含む。
【0007】
<1> 基油と、カルシウム石けん及びリチウム石けんを含む増ちょう剤と、ソルビタン脂肪酸エステルと、脂肪酸亜鉛と、を含有する、グリース組成物。
<2> 基油が、ポリアルファオレフィン及び鉱油からなる群から選択される少なくとも1種を含む、<1>又は<2>に記載のグリース組成物。
<3> ソルビタン脂肪酸エステルが、ソルビタンモノオレートである、<1>又は<2>に記載のグリース組成物。
<4> 脂肪酸亜鉛が、下記式(1)で表される化合物を含む、<1>~<3>のいずれか1つに記載のグリース組成物。
JPEG
2025148126000001.jpg
13
78
【0008】
式(1)中、R
1
及びR
2
は、それぞれ独立に、炭素数8~18の脂肪族炭化水素基を表す。
【0009】
<5> 混和ちょう度が355以上である、<1>~<4>のいずれか1つに記載のグリース組成物。
【発明の効果】
【0010】
本開示の一実施形態によれば、耐水性及び塩水に対する防錆性に優れたグリース組成物を提供することができる。
【発明を実施するための形態】
(【0011】以降は省略されています)
この特許をJ-PlatPat(特許庁公式サイト)で参照する
関連特許
株式会社ユシロ
潤滑剤組成物
5日前
株式会社Move up
凹凸形状の固形着火剤
15日前
NTN株式会社
転がり軸受
13日前
有限会社ジャパンガスセパレーション
メタンガス発生装置
19日前
出光興産株式会社
潤滑油組成物
5日前
一般財団法人電力中央研究所
ガス精製システム
15日前
株式会社ユシロ
金属加工用潤滑剤組成物
4日前
株式会社神鋼環境ソリューション
搬送装置
4日前
ENEOS株式会社
グリース組成物
7日前
本田技研工業株式会社
液体燃料の製造方法
5日前
三浦工業株式会社
ガス化装置
今日
本田技研工業株式会社
液体燃料の製造方法
4日前
三菱重工業株式会社
炭化炉及びその制御方法
4日前
出光興産株式会社
潤滑油基油
5日前
株式会社神鋼環境ソリューション
炭化物製造設備
4日前
出光興産株式会社
再生絶縁油の製造方法
4日前
コスモ石油株式会社
航空燃料油
5日前
コスモ石油株式会社
航空燃料油
5日前
出光興産株式会社
潤滑油組成物
5日前
出光興産株式会社
潤滑油組成物
15日前
出光興産株式会社
潤滑油組成物
15日前
JFEスチール株式会社
コークス炉の補修方法
12日前
桐生瓦斯株式会社
メタン含有ガスの製造方法およびその製造装置
15日前
コスモ石油株式会社
ガード触媒の評価方法
7日前
コスモ石油ルブリカンツ株式会社
潤滑油組成物
4日前
コスモ石油ルブリカンツ株式会社
潤滑油組成物
4日前
本田技研工業株式会社
燃料製造方法、及び燃料製造システム
18日前
株式会社Gpower
バイオマス発電システム
15日前
協同油脂株式会社
非延焼性グリース組成物
5日前
コスモ石油ルブリカンツ株式会社
グリース組成物
7日前
株式会社フジタ
バイオガス改質システム
11日前
コスモ石油ルブリカンツ株式会社
グリース組成物
5日前
コスモ石油ルブリカンツ株式会社
グリース組成物
4日前
日鉄ケミカル&マテリアル株式会社
精製木酢液の製造方法
7日前
本田技研工業株式会社
液体燃料製造システム、液体燃料の製造方法
5日前
本田技研工業株式会社
合成ガスの製造方法、及び燃料製造システム
7日前
続きを見る
他の特許を見る