TOP
|
特許
|
意匠
|
商標
特許ウォッチ
Twitter
他の特許を見る
10個以上の画像は省略されています。
公開番号
2025150335
公報種別
公開特許公報(A)
公開日
2025-10-09
出願番号
2024051159
出願日
2024-03-27
発明の名称
レジスト組成物、及びレジストパターン形成方法
出願人
東京応化工業株式会社
代理人
個人
,
個人
,
個人
,
個人
主分類
G03F
7/004 20060101AFI20251002BHJP(写真;映画;光波以外の波を使用する類似技術;電子写真;ホログラフイ)
要約
【課題】良好な形状のレジストパターンを形成可能なレジスト組成物等の提供。
【解決手段】露光により酸を発生し、かつ、酸の作用により現像液に対する溶解性が変化するレジスト組成物。酸の作用により現像液に対する溶解性が変化する樹脂成分(A1)と、式(d01)で表される化合物(D01)と、式(d02-1)又は(d02-2)で表される化合物(D02)と、を含有する。前記樹脂成分(A1)は、式(a10-1)で表される構成単位(a10)を有する。下記式中、Rx
01
~Rx
03
は鎖状の炭化水素基;Ry
01
~Ry
03
は炭化水素基;Rz
01
及びRz
02
は炭化水素基又は水素原子;Rz
03
は炭化水素基;Ya
x1
は単結合又は2価の連結基;Wa
x1
は芳香族炭化水素基;n
ax1
は1以上の整数。
<com:Image com:imageContentCategory="Drawing"> <com:ImageFormatCategory>TIFF</com:ImageFormatCategory> <com:FileName>2025150335000096.tif</com:FileName> <com:HeightMeasure com:measureUnitCode="Mm">44</com:HeightMeasure> <com:WidthMeasure com:measureUnitCode="Mm">170</com:WidthMeasure> </com:Image>
【選択図】なし
特許請求の範囲
【請求項1】
露光により酸を発生し、かつ、酸の作用により現像液に対する溶解性が変化するレジスト組成物であって、
酸の作用により現像液に対する溶解性が変化する樹脂成分(A1)と、
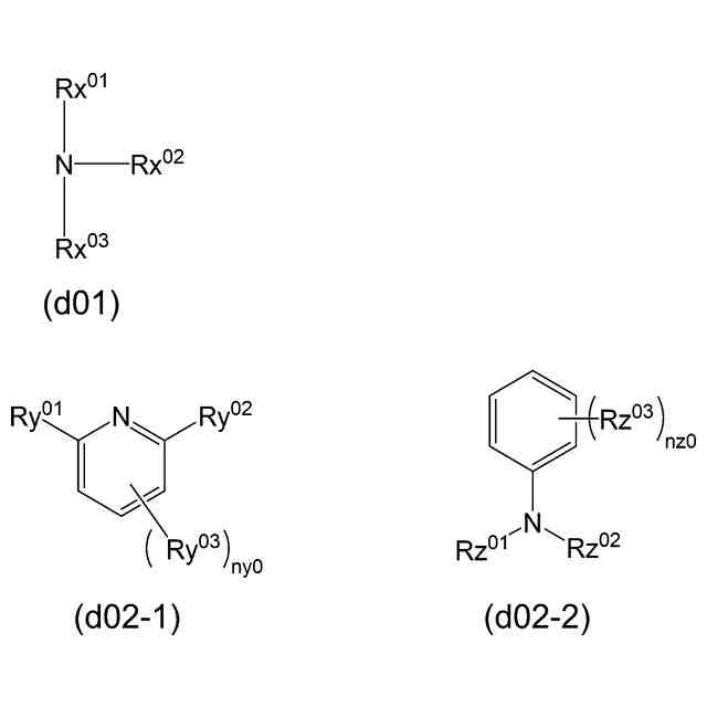
下記一般式(d01)で表される化合物(D01)と、
下記一般式(d02-1)又は(d02-2)で表される少なくとも1種の化合物(D02)と、を含有し、
前記樹脂成分(A1)が、下記一般式(a10-1)で表される構成単位(a10)を有する、
レジスト組成物。
TIFF
2025150335000094.tif
101
170
[式中、Rx
01
~Rx
03
は、それぞれ独立に、置換基を有してもよい鎖状の炭化水素基を表す。Ry
01
~Ry
03
は、それぞれ独立に、置換基を有してもよい炭化水素基を表す。ny0は、0~3の整数を表す。Rz
01
及びRz
02
は、それぞれ独立に、置換基を有してもよい炭化水素基、又は水素原子を表す。Rz
03
は、置換基を有してもよい炭化水素基を表す。nz0は、0~5の整数を表す。]
TIFF
2025150335000095.tif
50
170
[式中、Rは、水素原子、炭素原子数1~5のアルキル基又は炭素原子数1~5のハロゲン化アルキル基を表す。Ya
x1
は、単結合又は2価の連結基を表す。Wa
x1
は、置換基を有してもよい芳香族炭化水素基を表す。n
ax1
は、1以上の整数を表す。]
続きを表示(約 340 文字)
【請求項2】
前記樹脂成分(A1)が、酸の作用により極性が増大する酸分解性基を含む構成単位(a1)をさらに有する、請求項1に記載のレジスト組成物。
【請求項3】
露光により酸を発生する酸発生剤成分(B)をさらに含有する、請求項1又は2に記載のレジスト組成物。
【請求項4】
前記化合物(D01)と前記化合物(D02)との質量比が、1:1~1:3である、請求項1又は2に記載のレジスト組成物。
【請求項5】
支持体上に、請求項1又は2に記載のレジスト組成物を用いてレジスト膜を形成する工程、前記レジスト膜を露光する工程、及び前記露光後のレジスト膜を現像してレジストパターンを形成する工程を有する、レジストパターン形成方法。
発明の詳細な説明
【技術分野】
【0001】
本発明は、レジスト組成物、及びレジストパターン形成方法に関する。
続きを表示(約 1,900 文字)
【背景技術】
【0002】
近年、半導体素子や液晶表示素子の製造においては、リソグラフィー技術の進歩により急速にパターンの微細化が進んでいる。微細化の手法としては、一般に、露光光源の短波長化(高エネルギー化)が行われている。具体的には、従来は、g線、i線に代表される紫外線が用いられていたが、現在では、KrFエキシマレーザー、又はArFエキシマレーザーを用いた半導体素子の量産が行われている。これらのエキシマレーザーより短波長(高エネルギー)のEUV(極端紫外線)、EB(電子線)、及びX線などについても検討が行われている。
【0003】
レジスト材料には、これらの露光光源に対する感度、微細な寸法のパターンを再現できる解像性等のリソグラフィー特性が求められる。
このような要求を満たすレジスト材料として、従来、酸の作用により現像液に対する溶解性が変化する基材成分と、露光により酸を発生する酸発生剤成分と、を含有する化学増幅型レジスト組成物が用いられている。
【0004】
レジストパターンの形成においては、露光により酸発生剤成分から発生する酸の挙動がリソグラフィー特性に大きな影響を与える一要素とされる。これに対し、酸発生剤成分とともに、露光により該酸発生剤成分から発生する酸の拡散を制御する酸拡散制御剤を併有する化学増幅型レジスト組成物が提案されている。
例えば特許文献1には、酸拡散制御剤としてアミン化合物を含有する化学増幅型ポジ型レジスト組成物が開示されている。
【先行技術文献】
【特許文献】
【0005】
特開2004-347852号
【発明の概要】
【発明が解決しようとする課題】
【0006】
現在、LSIの高集積化と通信の高速度化に伴い、メモリ容量の増大化が求められ、パターンの更なる微細化が急速に進んでいる。これに対し、微細化に加えて、セルを積み上げていく積層化によってメモリの大容量化を図る、3次元構造デバイスの開発が進められている。3次元構造デバイスの製造においては、被加工物表面に、従来よりも高膜厚の厚膜レジスト膜を成膜し、レジストパターンを形成してエッチング等を行う。3次元構造が主流となっているNANDメモリー市場では、レジスト膜のさらなる厚膜化が求められている。
【0007】
厚膜レジスト膜では、膜厚が厚くなるほど、露光の光が底部に届きにくくなる。このため、厚膜レジスト膜では、露光部と未露光部との界面において、基板近傍に裾引き形状(スカム)が発生しやすい。また、厚膜レジスト膜では、基板付近ほど露光感度が低下するため、ターゲット寸法まで解像すると、レジストパターンの形状がテーパー形状となりやすい。
【0008】
本発明は、上記事情に鑑みてなされたものであって、スカム発生を抑制することができ、良好な形状のレジストパターンを形成可能な、レジスト組成物、及び前記レジスト組成物を用いたレジストパターンの形成方法を提供することを課題とする。
【課題を解決するための手段】
【0009】
上記の課題を解決するために、本発明は以下の構成を採用した。
すなわち、本発明の第1の態様は、露光により酸を発生し、かつ、酸の作用により現像液に対する溶解性が変化するレジスト組成物であって、酸の作用により現像液に対する溶解性が変化する樹脂成分(A1)と、下記一般式(d01)で表される化合物(D01)と、下記一般式(d02-1)又は(d02-2)で表される少なくとも1種の化合物(D02)と、を含有し、前記樹脂成分(A1)が、下記一般式(a10-1)で表される構成単位(a10)を有する、レジスト組成物である。
【0010】
TIFF
2025150335000001.tif
101
170
[式中、Rx
01
~Rx
03
は、それぞれ独立に、置換基を有してもよい鎖状の炭化水素基を表す。Ry
01
~Ry
03
は、それぞれ独立に、置換基を有してもよい炭化水素基を表す。ny0は、0~3の整数を表す。Rz
01
及びRz
02
は、それぞれ独立に、置換基を有してもよい炭化水素基、又は水素原子を表す。Rz
03
は、置換基を有してもよい炭化水素基を表す。nz0は、0~5の整数を表す。]
(【0011】以降は省略されています)
この特許をJ-PlatPat(特許庁公式サイト)で参照する
関連特許
東京応化工業株式会社
発電装置
17日前
東京応化工業株式会社
ろ過処理方法、及び多孔質膜
3日前
東京応化工業株式会社
レジスト組成物、及びレジストパターン形成方法
3日前
東京応化工業株式会社
レジスト組成物、およびレジストパターン形成方法
2日前
東京応化工業株式会社
処理液、半導体基板の処理方法、及び半導体の製造方法
1か月前
東京応化工業株式会社
処理液、半導体基板の処理方法、及び半導体の製造方法
1か月前
東京応化工業株式会社
化合物
17日前
東京応化工業株式会社
レジスト組成物、レジストパターン形成方法、及び光酸発生剤
17日前
東京応化工業株式会社
処理液、これを用いた基板の処理方法、及び半導体基板の製造方法
3日前
東京応化工業株式会社
レジスト組成物、レジストパターン形成方法、共重合体及び化合物
24日前
東京応化工業株式会社
レジスト組成物、レジストパターン形成方法、化合物、及び酸発生剤
17日前
東京応化工業株式会社
レジスト組成物、レジストパターン形成方法、化合物、及び酸発生剤
17日前
東京応化工業株式会社
レジスト組成物、レジストパターン形成方法、化合物、および酸発生剤
2日前
東京応化工業株式会社
レジスト組成物、レジストパターン形成方法、化合物、及び酸拡散制御剤
23日前
東京応化工業株式会社
中空構造体、感光性組成物、感光性組成物の製造方法、感光性組成物の検査方法
1か月前
東京応化工業株式会社
感光性組成物、感光性膜、下層膜、相分離構造を有する構造体の製造方法、及び化合物
1か月前
東京応化工業株式会社
相分離構造形成用樹脂組成物、相分離構造を含む構造体の製造方法、及びブロックコポリマー
23日前
東京応化工業株式会社
ワニス組成物、及びポリイミド膜の製造方法
1か月前
東京応化工業株式会社
ネガ型感光性樹脂フィルム、積層フィルム、ドライフィルム、硬化物、中空構造体、プリント配線板
1か月前
東京応化工業株式会社
レジスト組成物、レジストパターン形成方法、重合体、化合物、ラジカル重合開始剤及び連鎖移動剤
13日前
東京応化工業株式会社
レジスト組成物、レジストパターン形成方法、化合物、ラジカル重合開始剤、連鎖移動剤及び重合体
2日前
東京応化工業株式会社
レジスト組成物、レジストパターン形成方法、化合物、及び酸発生剤
17日前
東京応化工業株式会社
ネガ型感光性樹脂組成物、樹脂膜の製造方法、パターン化された樹脂膜の製造方法、パターン化されたポリイミド樹脂膜の製造方法、及びポリイミド樹脂前駆体
24日前
株式会社シグマ
絞りユニット
24日前
キヤノン株式会社
撮像装置
17日前
平和精機工業株式会社
雲台
1か月前
キヤノン株式会社
撮像装置
1か月前
キヤノン株式会社
撮像装置
23日前
日本精機株式会社
車両用投射装置
3日前
株式会社リコー
画像形成装置
13日前
株式会社リコー
画像形成装置
1か月前
株式会社リコー
画像形成装置
1か月前
株式会社オプトル
プロジェクタ
16日前
キヤノン株式会社
トナー
9日前
キヤノン株式会社
画像形成装置
1か月前
キヤノン株式会社
トナー
4日前
続きを見る
他の特許を見る