TOP
|
特許
|
意匠
|
商標
特許ウォッチ
Twitter
他の特許を見る
10個以上の画像は省略されています。
公開番号
2025154447
公報種別
公開特許公報(A)
公開日
2025-10-10
出願番号
2024057451
出願日
2024-03-29
発明の名称
レジスト組成物、およびレジストパターン形成方法
出願人
東京応化工業株式会社
代理人
弁理士法人栄光事務所
主分類
G03F
7/004 20060101AFI20251002BHJP(写真;映画;光波以外の波を使用する類似技術;電子写真;ホログラフイ)
要約
【課題】微細な寸法のパターンを再現できる解像性と、感度と、CDUとがいずれも良好なレジストパターンを形成し得るレジスト組成物およびレジストパターン形成方法を提供する。
【解決手段】露光により酸を発生し、酸の作用により現像液に対する溶解性が変化するレジスト組成物であって、酸の作用により現像液に対する溶解性が変化する基材成分(A1)と、露光により酸を発生する酸発生剤成分(B)とを含有し、前記酸発生剤成分(B)は明細書中に記載の一般式(b-1)で表される化合物を含む、レジスト組成物。
【選択図】なし
特許請求の範囲
【請求項1】
露光により酸を発生し、酸の作用により現像液に対する溶解性が変化するレジスト組成物であって、
酸の作用により現像液に対する溶解性が変化する基材成分(A1)と、露光により酸を発生する酸発生剤成分(B)とを含有し、
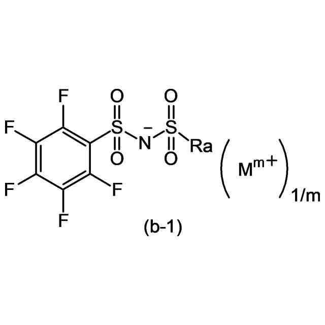
前記酸発生剤成分(B)は下記一般式(b-1)で表される化合物を含む、レジスト組成物。
TIFF
2025154447000080.tif
50
166
〔一般式(b-1)中、Raは、任意の有機基を表す。M
m+
はm価の有機カチオンを表す。〕
続きを表示(約 2,000 文字)
【請求項2】
アルカリ可溶性樹脂(A2)を含む基材成分(A2)と、露光により酸を発生する酸発生剤成分(B)と、架橋剤(C)とを含有し、
前記アルカリ可溶性樹脂(A2)は、下記一般式(a10-1)で表される構成単位(a10)を有し、
前記酸発生剤成分(B)は、下記一般式(b-1)で表される化合物を含み、
前記架橋剤(C)は、メラミン系架橋剤、尿素系架橋剤、アルキレン尿素系架橋剤、グリコールウリル系架橋剤、およびエポキシ系架橋剤からなる群から選ばれる少なくとも1種の架橋剤を含む、レジスト組成物。
TIFF
2025154447000081.tif
59
166
〔一般式(a10-1)中、Rは、水素原子、炭素原子数1~5のアルキル基又は炭素原子数1~5のハロゲン化アルキル基である。Ya
x1
は、単結合又は2価の連結基である。Wa
x1
は、(n
ax1
+1)価の芳香族炭化水素基である。n
ax1
は、1以上の整数である。〕
TIFF
2025154447000082.tif
50
166
〔一般式(b-1)中、Raは、任意の有機基を表す。M
m+
はm価の有機カチオンを表す。〕
【請求項3】
前記一般式(b-1)で表される化合物が、下記一般式(b-2)で表される化合物である、請求項1又は2に記載のレジスト組成物。
TIFF
2025154447000083.tif
55
166
〔一般式(b-2)中、Raは、任意の有機基を表す。Rb
01
~Rb
03
は、それぞれ独立に、置換基を有していてもよいアリール基、置換基を有していてもよいアルキル基、又は、置換基を有していてもよいアルケニル基であり、炭素原子の一部がヘテロ原子で置換されていてもよい。Rb
02
及びRb
03
は結合して式中のイオウ原子と共に環を形成してもよい。Lb
01
は単結合又は2価の連結基である。〕
【請求項4】
前記一般式(b-2)で表される化合物が、下記一般式(b-3)で表される化合物である、請求項3に記載のレジスト組成物。
TIFF
2025154447000084.tif
67
166
〔一般式(b-3)中、R
1
~R
5
は、それぞれ独立に、水素原子、ハロゲン原子、又は置換基を有していてもよい炭化水素基である。R
1
~R
5
のうちいずれか2以上が互いに結合して環を形成していてもよい。Rb
01
~Rb
03
は、それぞれ独立に、置換基を有していてもよいアリール基、置換基を有していてもよいアルキル基、又は、置換基を有していてもよいアルケニル基であり、炭素原子の一部がヘテロ原子で置換されていてもよい。Rb
02
及びRb
03
は結合して式中のイオウ原子と共に環を形成してもよい。Lb
01
は単結合又は2価の連結基である。〕
【請求項5】
前記一般式(b-3)で表される化合物が、下記一般式(b-4)で表される化合物である、請求項4に記載のレジスト組成物。
TIFF
2025154447000085.tif
62
166
〔一般式(b-4)中、R
1
~R
5
は、それぞれ独立に、水素原子、ハロゲン原子、又は置換基を有していてもよい炭化水素基である。R
1
~R
5
のうちいずれか2以上が互いに結合して環を形成していてもよい。Rb
01
は、置換基を有していてもよいアリール基、置換基を有していてもよいアルキル基、又は、置換基を有していてもよいアルケニル基であり、炭素原子の一部がヘテロ原子で置換されていてもよい。Yb
01
は式中のイオウ原子と共に脂肪族環を形成する基である。式中のイオウ原子とYb
01
とが形成する脂肪族環はエーテル結合を含んでいてもよく、置換基を有していてもよい。Lb
01
は単結合又は2価の連結基である。〕
【請求項6】
支持体上に、請求項1又は2に記載のレジスト組成物を用いてレジスト膜を形成する工程、前記レジスト膜を露光する工程、および前記レジスト膜を現像してレジストパターンを形成する工程を含む、レジストパターン形成方法。
発明の詳細な説明
【技術分野】
【0001】
本発明は、レジスト組成物、およびレジストパターン形成方法に関する。
続きを表示(約 1,600 文字)
【背景技術】
【0002】
リソグラフィー技術においては、例えば基板の上にレジスト材料からなるレジスト膜を形成し、該レジスト膜に対して選択的露光を行い、現像処理を施すことにより、前記レジスト膜に所定形状のレジストパターンを形成する工程が行われる。レジスト膜の露光部が現像液に溶解する特性に変化するレジスト材料をポジ型、露光部が現像液に溶解しない特性に変化するレジスト材料をネガ型という。
近年、半導体素子や液晶表示素子の製造においては、リソグラフィー技術の進歩により急速にパターンの微細化が進んでいる。
微細化の手法としては、一般に、露光光源の短波長化(高エネルギー化)が行われている。具体的には、従来は、g線、i線に代表される紫外線が用いられていたが、現在では、KrFエキシマレーザーや、ArFエキシマレーザーを用いた半導体素子の量産が開始されている。また、これらエキシマレーザーより短波長(高エネルギー)のEUV(極紫外線)や、EB(電子線)、X線などについても検討が行われている。
【0003】
このような状況において、レジスト材料には、これらの露光光源またはエネルギー源に対する感度、微細な寸法のパターンを再現できる解像性等のリソグラフィー特性が求められる。
【0004】
このような要求を満たすレジスト材料として、従来、露光により酸を発生する酸発生剤成分と、酸の作用により現像液に対する溶解性が変化する基材成分と、を含有する化学増幅型レジスト組成物が用いられている。
【0005】
例えば、特許文献1では、解像性、DOF(Depth of Focus :焦点深度)、及びパターン形状がいずれも良好なレジストパターンを形成することができるレジスト組成物およびレジストパターン形成方方法が検討されている。そして、特許文献1では、特定のモル吸光係数を有する酸発生剤成分を用いて、特定構造を有する構成単位を複数有する高分子化合物を採用したレジスト組成物等が記載されている。
【先行技術文献】
【特許文献】
【0006】
国際公開第2023/127692号
【発明の概要】
【発明が解決しようとする課題】
【0007】
リソグラフィー技術のさらなる進歩、レジストパターンの微細化がますます進むなか、レジスト組成物には、高い感度と、微細な寸法のパターンを再現できる解像性と、優れたCDU(Critical Dimention Uniformity:パターン寸法の均一性)等のリソグラフィー特性が要求される。
【0008】
本発明は、上記事情に鑑みてなされたものであって、感度と、解像性と、CDUとがいずれも良好なレジストパターンを形成し得るレジスト組成物およびレジストパターン形成方法を提供することを課題とする。
【課題を解決するための手段】
【0009】
本発明者等は、上記課題を解決するために鋭意検討を重ねた結果、以下の構成により、感度と、解像性と、CDUとがいずれも良好なレジストパターンを形成し得るレジスト組成物およびレジストパターン形成方法が得られることを見出し、本発明を完成するに至った。
【0010】
すなわち、本発明は以下の通りである。
本発明の第1の実施形態に係るレジスト組成物は、露光により酸を発生し、酸の作用により現像液に対する溶解性が変化するレジスト組成物であって、
酸の作用により現像液に対する溶解性が変化する基材成分(A1)と、露光により酸を発生する酸発生剤成分(B)とを含有し、
前記酸発生剤成分(B)は下記一般式(b-1)で表される化合物を含む、レジスト組成物である。
(【0011】以降は省略されています)
この特許をJ-PlatPat(特許庁公式サイト)で参照する
関連特許
個人
雨用レンズカバー
1日前
沖電気工業株式会社
画像形成装置
1日前
古野電気株式会社
装置
1日前
コニカミノルタ株式会社
画像形成装置
1日前
古野電気株式会社
監視装置
1日前
三洋化成工業株式会社
画像形成材料用バインダー
1日前
キヤノン株式会社
電子写真装置
1日前
キヤノン株式会社
現像装置
1日前
キヤノン株式会社
画像形成装置
1日前
コニカミノルタ株式会社
画像形成装置
1日前
キヤノン株式会社
検知装置、画像形成装置
1日前
花王株式会社
トナー用結着樹脂組成物
1日前
キヤノン株式会社
検知装置、画像形成装置
1日前
ニデックプレシジョン株式会社
羽根駆動装置
1日前
キヤノン株式会社
トナー、カートリッジ、及び画像形成装置
1日前
株式会社リコー
光源装置、画像投影装置および調整方法
1日前
京セラドキュメントソリューションズ株式会社
画像形成装置および機能選択方法
1日前
キヤノン株式会社
電子写真部材、プロセスカートリッジ及び電子写真画像形成装置
1日前
キヤノン株式会社
電子写真部材、プロセスカートリッジ、及び電子写真画像形成装置
1日前
キヤノン株式会社
電子写真部材、プロセスカートリッジ、及び電子写真画像形成装置
1日前
キヤノン株式会社
画像形成装置
1日前
京セラドキュメントソリューションズ株式会社
非磁性一成分トナー及び画像形成装置
1日前
サンアプロ株式会社
光酸発生剤、硬化性組成物及びレジスト組成物
1日前
京セラドキュメントソリューションズ株式会社
非磁性一成分トナー及び画像形成装置
1日前
東京応化工業株式会社
レジスト組成物、レジストパターン形成方法、化合物、及び酸拡散制御剤
1日前
住友化学株式会社
酸発生剤、塩、樹脂、レジスト組成物及びレジストパターンの製造方法
1日前
HOYA株式会社
フォトマスク、及び表示装置の製造方法
1日前
東京応化工業株式会社
レジスト組成物及びレジストパターン形成方法
1日前
住友化学株式会社
カルボン酸発生剤、カルボン酸塩、樹脂、レジスト組成物及びレジストパターンの製造方法
1日前
キヤノン株式会社
画像形成装置、画像形成装置の制御方法及びプログラム
1日前
日産化学株式会社
ジオール構造を末端に有する重合生成物を含む薬液耐性保護膜形成組成物
1日前
JSR株式会社
感放射線性組成物、硬化膜及びその製造方法、液晶表示装置並びに有機EL表示装置
1日前
旭化成株式会社
感光性樹脂組成物、並びにこれを用いたポリイミド硬化膜の製造方法及びポリイミド硬化膜
1日前
東京エレクトロン株式会社
スピンオン膜の平坦化
1日前
他の特許を見る