TOP
|
特許
|
意匠
|
商標
特許ウォッチ
Twitter
他の特許を見る
公開番号
2025156038
公報種別
公開特許公報(A)
公開日
2025-10-14
出願番号
2025043528
出願日
2025-03-18
発明の名称
クロロプレン系重合体ラテックス、接着剤組成物、浸漬成形体形成用組成物、浸漬成形体、及びクロロプレン系重合体ラテックスの製造方法
出願人
デンカ株式会社
代理人
SK弁理士法人
,
個人
,
個人
主分類
C08F
36/18 20060101AFI20251002BHJP(有機高分子化合物;その製造または化学的加工;それに基づく組成物)
要約
【課題】適度な機械的安定性を有するクロロプレン系重合体ラテックスを提供する。
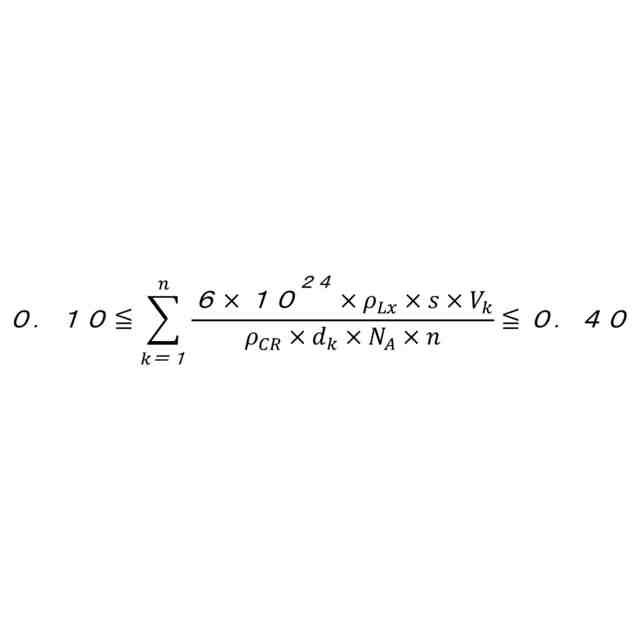
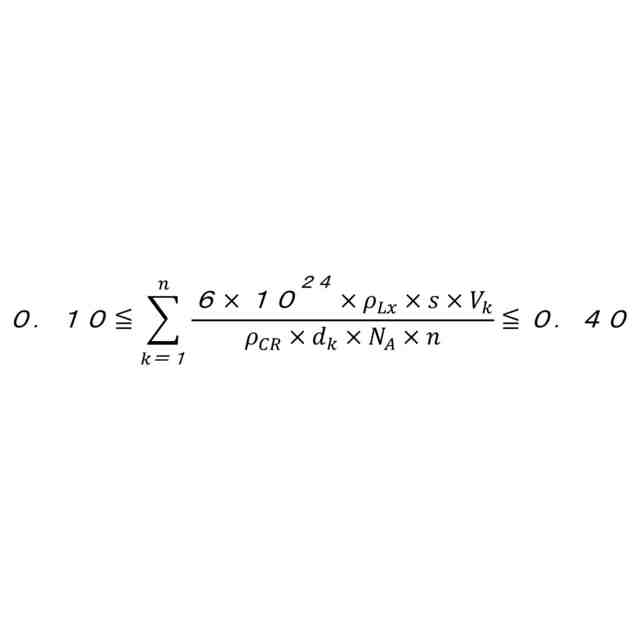
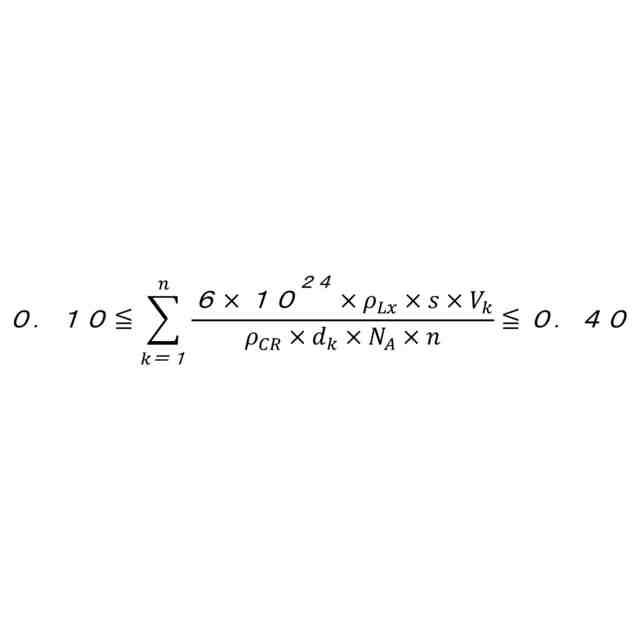
【解決手段】本発明によれば、クロロプレン系重合体及び乳化剤を含むミセルを含むクロロプレン系重合体ラテックスであって、動的光散乱により、1nm~10,000nmの範囲で、前記ミセルの体積基準の粒度分布を測定し、ヒストグラムを得、前記ヒストグラムは、横軸が常用対数で表された粒子径であって、前記横軸を1nm~10,000nmの範囲で45等分した45の階級を有し、縦軸が体積分布であって、粒子径がk番目に小さい階級kの粒子径の階級値をdk nm、階級kの体積分布をV
k
%、前記クロロプレン系重合体ラテックスの固形分濃度をs%、前記クロロプレン系重合体ラテックスの比重をρ
Lx
g/cm
3
、前記クロロプレン系重合体の比重をρ
CR
g/cm
3
、前記クロロプレン系重合体ラテックス1Lに含まれる乳化剤量をn mol、アボガドロ数をN
A
とした場合に、以下の式を満たす、クロロプレン系重合体ラテックスが提供される。
【数1】
<com:Image com:imageContentCategory="Drawing"> <com:ImageFormatCategory>JPEG</com:ImageFormatCategory> <com:FileName>2025156038000009.jpg</com:FileName> <com:HeightMeasure com:measureUnitCode="Mm">14</com:HeightMeasure> <com:WidthMeasure com:measureUnitCode="Mm">128</com:WidthMeasure> </com:Image> 【選択図】なし
特許請求の範囲
【請求項1】
クロロプレン系重合体及び乳化剤を含むミセルを含むクロロプレン系重合体ラテックスであって、
動的光散乱により、1nm~10,000nmの範囲で、前記ミセルの体積基準の粒度分布を測定し、ヒストグラムを得、
前記ヒストグラムは、横軸が常用対数で表された粒子径であって、前記横軸を1nm~10,000nmの範囲で45等分した45の階級を有し、縦軸が体積分布であって、
粒子径がk番目に小さい階級kの粒子径の階級値をd
k
nm
階級kの体積分布をV
k
、
前記クロロプレン系重合体ラテックスの固形分割合をS、
前記クロロプレン系重合体ラテックスの比重をρ
Lx
g/cm
3
、
前記クロロプレン系重合体の比重をρ
CR
g/cm
3
前記クロロプレン系重合体ラテックス1Lに含まれる乳化剤量をn mol、
アボガドロ数をN
A
とした場合に、
以下の式を満たす、クロロプレン系重合体ラテックス。
JPEG
2025156038000008.jpg
14
128
続きを表示(約 990 文字)
【請求項2】
請求項1に記載のクロロプレン系重合体ラテックスであって、前記粒度分布から得られる、D50が、80~700nmである、クロロプレン系重合体ラテックス。
【請求項3】
請求項1又は請求項2に記載のクロロプレン系重合体ラテックスであって、前記クロロプレン系重合体100質量部に対する前記乳化剤の含有量が、0.5~10.0質量部である、クロロプレン系重合体ラテックス。
【請求項4】
請求項1又は請求項2に記載のクロロプレン系重合体ラテックスであって、荷重10.0kg、回転数1000rpmの条件で10分間測定した機械的安定性が0.1~20.0%である、クロロプレン系重合体ラテックス。
【請求項5】
請求項1又は請求項2に記載のクロロプレン系重合体ラテックスであって、前記クロロプレン系重合体ラテックス1L当たりの前記ミセル表面積が、30000~100000m
2
である、クロロプレン系重合体ラテックス。
【請求項6】
請求項1又は請求項2に記載のクロロプレン系重合体ラテックスを含む、接着剤組成物。
【請求項7】
請求項1又は請求項2に記載のクロロプレン系重合体ラテックスを含む、浸漬成形体形成用組成物。
【請求項8】
請求項7に記載の浸漬成形体形成用組成物の、浸漬成形体。
【請求項9】
クロロプレン系重合体及び乳化剤を含むミセルを含むクロロプレン系重合体ラテックスの製造方法であって、
前記製造方法は、単量体液滴微細化工程、重合工程、及び乳化剤追加添加工程を含み、
前記単量体液滴微細化工程では、初期添加乳化剤の存在下、クロロプレン単量体を含む原料単量体を含む液滴を、前記原料単量体の液滴と被衝突媒体と衝突させることによって前記液滴の平均粒子径が300nm以下となるまで微細化し、
前記重合工程では、前記クロロプレン単量体を含む原料単量体を重合してクロロプレン系重合体を得、
前記乳化剤追加添加工程では、前記単量体液滴微細化工程の後、追加添加乳化剤を追加添加し、
前記初期添加乳化剤及び前記追加添加乳化剤の合計100質量%に対する前記追加添加乳化剤の量は、60質量%超である、製造方法。
発明の詳細な説明
【技術分野】
【0001】
本発明は、クロロプレン系重合体ラテックス、接着剤組成物、浸漬成形体形成用組成物、浸漬成形体、及びクロロプレン系重合体ラテックスの製造方法に関する。
続きを表示(約 3,000 文字)
【背景技術】
【0002】
クロロプレン系ゴムは、機械特性や耐オゾン性、耐薬品性に優れており、その特性を活かして自動車部品、接着剤、各種工業用ゴム部品など広範囲な分野に用いられている。
例えば、特許文献1には、界面活性剤の存在下であって、当該界面活性剤が臨界ミセル濃度(CMC)未満添加された水性媒体中で、クロロプレン又は、クロロプレン及びクロロプレンと共重合可能なモノマーを重合させるクロロプレン系重合体の製造方法が開示されている。
【先行技術文献】
【特許文献】
【0003】
WO2011/004860
【発明の概要】
【発明が解決しようとする課題】
【0004】
しかしながら、適度な機械的安定性を有するクロロプレン系重合体ラテックスを得ることは困難であった。
【0005】
本発明は、このような事情に鑑みてなされたものであり、適度な機械的安定性を有するクロロプレン系重合体ラテックスを提供するものである。
【課題を解決するための手段】
【0006】
本発明によれば、クロロプレン系重合体及び乳化剤を含むミセルを含むクロロプレン系重合体ラテックスであって、動的光散乱により、1nm~10,000nmの範囲で、前記ミセルの体積基準の粒度分布を測定し、ヒストグラムを得、前記ヒストグラムは、横軸が常用対数で表された粒子径であって、前記横軸を1nm~10,000nmの範囲で45等分した45の階級を有し、縦軸が体積分布であって、粒子径がk番目に小さい階級kの粒子径の階級値をd
k
nm階級kの体積分布をV
k
、前記クロロプレン系重合体ラテックスの固形分割合をS、前記クロロプレン系重合体ラテックスの比重をρ
Lx
g/cm
3
、前記クロロプレン系重合体の比重をρ
CR
g/cm
3
前記クロロプレン系重合体ラテックス1Lに含まれる乳化剤量をn mol、アボガドロ数をN
A
とした場合に、以下の式を満たす、クロロプレン系重合体ラテックスが提供される。
【0007】
JPEG
2025156038000001.jpg
14
128
【0008】
本発明者は、鋭意検討を行ったところ、クロロプレン系重合体ラテックスにおいて、粒度分布から得られる特定の式で算出される、乳化剤量に対するミセル表面積の比を規定することで、適度な機械的安定性を有するクロロプレン系重合体ラテックスを見出し、本発明の完成に至った。
【0009】
以下、本発明の種々の実施形態を例示する。以下に示す実施形態は互いに組み合わせ可能である。
[1]クロロプレン系重合体及び乳化剤を含むミセルを含むクロロプレン系重合体ラテックスであって、動的光散乱により、1nm~10,000nmの範囲で、前記ミセルの体積基準の粒度分布を測定し、ヒストグラムを得、前記ヒストグラムは、横軸が常用対数で表された粒子径であって、前記横軸を1nm~10,000nmの範囲で45等分した45の階級を有し、縦軸が体積分布であって、粒子径がk番目に小さい階級kの粒子径の階級値をd
k
nm階級kの体積分布をV
k
、前記クロロプレン系重合体ラテックスの固形分割合をS、前記クロロプレン系重合体ラテックスの比重をρ
Lx
g/cm
3
、前記クロロプレン系重合体の比重をρ
CR
g/cm
3
、前記クロロプレン系重合体ラテックス1Lに含まれる乳化剤量をn mol、アボガドロ数をN
A
とした場合に、以下の式を満たす、クロロプレン系重合体ラテックス。
JPEG
2025156038000002.jpg
14
128
[2][1]に記載のクロロプレン系重合体ラテックスであって、前記粒度分布から得られる、D50が、80~700nmである、クロロプレン系重合体ラテックス。
[3][1]又は[2]に記載のクロロプレン系重合体ラテックスであって、前記クロロプレン系重合体100質量部に対する前記乳化剤の含有量が、0.5~10.0質量部である、クロロプレン系重合体ラテックス。
[4][1]~[3]のいずれかに記載のクロロプレン系重合体ラテックスであって、荷重10.0kg、回転数1000rpmの条件で10分間測定した機械的安定性が0.1~20.0%である、クロロプレン系重合体ラテックス。
[5][1]~[4]のいずれかに記載のクロロプレン系重合体ラテックスであって、前記クロロプレン系重合体ラテックス1L当たりの前記ミセル表面積が、30000~100000m
2
である、クロロプレン系重合体ラテックス。
[6][1]~[5]のいずれかに記載のクロロプレン系重合体ラテックスを含む、接着剤組成物。
[7][1]~[3]のいずれかに記載のクロロプレン系重合体ラテックスを含む、浸漬成形体形成用組成物。
[8][7]に記載の浸漬成形体形成用組成物の、浸漬成形体。
[9]クロロプレン系重合体及び乳化剤を含むミセルを含むクロロプレン系重合体ラテックスの製造方法であって、前記製造方法は、単量体液滴微細化工程、重合工程、及び乳化剤追加添加工程を含み、前記単量体液滴微細化工程では、初期添加乳化剤の存在下、クロロプレン単量体を含む原料単量体を含む液滴を、前記原料単量体の液滴と被衝突媒体と衝突させることによって前記液滴の平均粒子径が300nm以下となるまで微細化し、前記重合工程では、前記クロロプレン単量体を含む原料単量体を重合してクロロプレン系重合体を得、前記乳化剤追加添加工程では、前記単量体液滴微細化工程の後、追加添加乳化剤を追加添加し、前記初期添加乳化剤及び前記追加添加乳化剤の合計100質量%に対する前記追加添加乳化剤の量は、60質量%超である、製造方法。
【発明の効果】
【0010】
本発明に係るクロロプレン系重合体ラテックスによれば、適度な機械的安定性を有するクロロプレン系重合体ラテックスを得ることができる。本発明の一実施形態では、上記クロロプレン系重合体ラテックスを接着剤組成物に用いることができる。また、本発明の一実施形態では、上記クロロプレン系重合体ラテックスを浸漬成形体形成用組成物に用いることができる。該クロロプレン系重合体ラテックスは、機械的特性に優れるため、接着剤組成物及び浸漬成形体形成用組成物は、製造工程中、保管中、輸送中の安定性に優れる。また、上記クロロプレン系重合体ラテックスを含む接着剤組成物は、目詰まりの発生が少なくスプレー塗布性に優れ、かつ、塗布後に速やかに乳化破壊し、初期接着強度に優れる。また、上記クロロプレン系重合体ラテックスを含む接着剤組成物は、安定性に優れ、かつ、浸漬成形性に優れる。
【発明を実施するための形態】
(【0011】以降は省略されています)
この特許をJ-PlatPat(特許庁公式サイト)で参照する
関連特許
デンカ株式会社
容器
21日前
デンカ株式会社
窓構造
13日前
デンカ株式会社
蛍光体
15日前
デンカ株式会社
モルタル材料
13日前
デンカ株式会社
繊維束、及び布
8日前
デンカ株式会社
窒化ケイ素粉末
8日前
デンカ株式会社
窒化ケイ素粉末
8日前
デンカ株式会社
窒化ケイ素粉末
13日前
デンカ株式会社
継手及び継手付管
15日前
デンカ株式会社
窓構造およびシート
13日前
デンカ株式会社
磁性ビーズの製造方法
20日前
デンカ株式会社
放熱部材および電子装置
13日前
デンカ株式会社
シート及び食品包装容器
13日前
デンカ株式会社
放熱部材および電子装置
13日前
デンカ株式会社
容器およびその製造方法
21日前
デンカ株式会社
蛍光体、及びインク組成物
13日前
デンカ株式会社
窒化ホウ素粉末の製造方法
14日前
デンカ株式会社
窒化ケイ素粉末の製造方法
13日前
デンカ株式会社
熱伝導性組成物及び電子機器
14日前
デンカ株式会社
積層シート及び食品包装容器
13日前
デンカ株式会社
セラミックス粉末の製造方法
13日前
デンカ株式会社
窒化ホウ素粉末、及び樹脂成形体
9日前
デンカ株式会社
窒化ホウ素粉末、及び樹脂成形体
9日前
デンカ株式会社
粉体急結材料及びコンクリート材料
14日前
デンカ株式会社
窒化ケイ素粉末、及びその製造方法
13日前
デンカ株式会社
窒化ケイ素粉末、及びその製造方法
13日前
デンカ株式会社
蛍光体粉末、複合体および発光装置
24日前
デンカ株式会社
蛍光体粉末、複合体および発光装置
14日前
デンカ株式会社
磁性ビーズおよび磁性ビーズの製造方法
20日前
デンカ株式会社
電子銃部品、電子銃、及び、電子線装置
14日前
デンカ株式会社
磁性ビーズおよび磁性ビーズの製造方法
20日前
デンカ株式会社
仮固定用組成物およびウエハの製造方法
14日前
デンカ株式会社
3Dプリンタフィラメント用樹脂組成物
21日前
デンカ株式会社
熱伝導性スペーサー及び熱伝導性組成物
14日前
デンカ株式会社
熱伝導性スペーサー及び熱伝導性組成物
14日前
デンカ株式会社
熱伝導性スペーサー及び熱伝導性組成物
14日前
続きを見る
他の特許を見る