TOP
|
特許
|
意匠
|
商標
特許ウォッチ
Twitter
他の特許を見る
10個以上の画像は省略されています。
公開番号
2025157472
公報種別
公開特許公報(A)
公開日
2025-10-15
出願番号
2025122193
出願日
2025-07-22
発明の名称
包装体および梱包体
出願人
株式会社ADEKA
代理人
個人
,
個人
,
個人
,
個人
主分類
C08L
23/10 20060101AFI20251007BHJP(有機高分子化合物;その製造または化学的加工;それに基づく組成物)
要約
【課題】トリアジン骨格を有する化合物を含む組成物の包装体および梱包体を提供すること。
【解決手段】袋と、下記一般式(1)で表される基を含む化合物を含む組成物と、を備え、組成物が袋の内部に封入されている包装体。
<com:Image com:imageContentCategory="Drawing"> <com:ImageFormatCategory>JPEG</com:ImageFormatCategory> <com:FileName>2025157472000023.jpg</com:FileName> <com:HeightMeasure com:measureUnitCode="Mm">44</com:HeightMeasure> <com:WidthMeasure com:measureUnitCode="Mm">102</com:WidthMeasure> </com:Image>
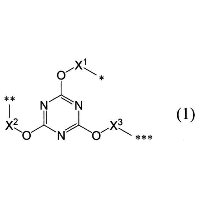
(一般式(1)中、X
1
、X
2
およびX
3
はそれぞれ独立に、無置換の若しくは置換基を有するフェニレン基を表し、*、**および***は、他の原子と結合する部位を表す。)
【選択図】なし
特許請求の範囲
【請求項1】
袋と、
下記一般式(1)で表される基を含む化合物を含む組成物と、
を備え、
前記組成物が前記袋の内部に封入されている包装体。
JPEG
2025157472000022.jpg
44
102
(一般式(1)中、X
1
、X
2
およびX
3
はそれぞれ独立に、無置換の若しくは置換基を有するフェニレン基を表し、*、**および***は、他の原子と結合する部位を表す。)
続きを表示(約 330 文字)
【請求項2】
前記袋が合成樹脂からなる、請求項1記載の包装体。
【請求項3】
前記合成樹脂がポリエチレン系樹脂である、請求項2記載の包装体。
【請求項4】
前記袋が重袋である、請求項1~3のうちいずれか一項記載の包装体。
【請求項5】
前記袋がフレキシブルコンテナバッグである、請求項1~3のうちいずれか一項記載の包装体。
【請求項6】
包装容器と、
請求項1~3のうちいずれか一項記載の包装体と、
を備え、
前記包装体が前記包装容器に収容されている梱包体。
【請求項7】
前記包装容器が段ボール箱またはドラム缶である、請求項6記載の梱包体。
発明の詳細な説明
【技術分野】
【0001】
本発明は、包装体および梱包体に関する。
続きを表示(約 850 文字)
【背景技術】
【0002】
これまで合成樹脂の添加剤として種々の化合物が検討されている。例えば、下記特許文献1には、合成樹脂用の添加剤としてトリアジン骨格を有する化合物が開示されている。
【先行技術文献】
【特許文献】
【0003】
特開昭54―4950号公報
【発明の概要】
【発明が解決しようとする課題】
【0004】
本発明の目的は、トリアジン骨格を有する化合物を含む組成物の包装体および梱包体を提供することである。
【課題を解決するための手段】
【0005】
本発明の包装体は、袋と、下記一般式(1)で表される基を含む化合物を含む組成物と、を備え、前記組成物が前記袋の内部に封入されているものである。
【0006】
JPEG
2025157472000001.jpg
44
102
(一般式(1)中、X
1
、X
2
およびX
3
はそれぞれ独立に、無置換の若しくは置換基を有するフェニレン基を表し、*、**および***は、他の原子と結合する部位を表す。)
【0007】
また、本発明の梱包体は、包装容器と、上記の包装体と、を備え、前記包装体が前記包装容器に収容されているものである。
【発明の効果】
【0008】
本発明によれば、トリアジン骨格を有する化合物を含む組成物の包装体および梱包体を提供することができる。
【発明を実施するための形態】
【0009】
以下、本発明の実施形態について詳細に説明する。
【0010】
<包装体>
本実施形態の包装体は、袋と、下記一般式(1)で表される基を含む化合物を含む組成物と、を備え、組成物が袋の内部に封入されているものである。
(【0011】以降は省略されています)
この特許をJ-PlatPat(特許庁公式サイト)で参照する
関連特許
株式会社ADEKA
包装体および梱包体
6日前
東ソー株式会社
ペレット
6日前
株式会社カネカ
硬化性組成物
3か月前
ユニチカ株式会社
透明シート
22日前
ユニチカ株式会社
透明シート
2か月前
株式会社コバヤシ
成形体
19日前
東レ株式会社
熱硬化性樹脂組成物
2か月前
東レ株式会社
ポリエステルフィルム
4日前
住友精化株式会社
吸水剤の製造方法
1か月前
東レ株式会社
ポリエステルフィルム
3か月前
東レ株式会社
引抜成形品の製造方法
1か月前
東レ株式会社
ポリエステルフィルム
26日前
東ソー株式会社
ゴム用接着性改質剤
7日前
丸住製紙株式会社
変性パルプ
22日前
横浜ゴム株式会社
重荷重タイヤ
18日前
花王株式会社
樹脂組成物
3か月前
東レ株式会社
ポリプロピレンフィルム
18日前
東ソー株式会社
樹脂組成物および蓋材
1か月前
東レ株式会社
ポリオレフィン微多孔膜
2か月前
東ソー株式会社
樹脂組成物および蓋材
1か月前
株式会社スリーボンド
硬化性樹脂組成物
18日前
日本特殊陶業株式会社
樹脂成形体
1か月前
株式会社コバヤシ
光硬化性組成物
2か月前
UBE株式会社
衝撃吸収材
22日前
アイカ工業株式会社
光硬化性樹脂組成物
18日前
株式会社カネカ
硬化性組成物
1か月前
住友ベークライト株式会社
ポリマー
7日前
住友ベークライト株式会社
ポリマー
7日前
ノリタケ株式会社
担体構造体
12日前
住友化学株式会社
樹脂組成物
18日前
株式会社カネカ
シーリング材
11日前
株式会社カネカ
硬化性組成物
1か月前
株式会社大阪ソーダ
熱可塑性材料用組成物
3か月前
三洋化成工業株式会社
熱成形用樹脂組成物
14日前
株式会社村田製作所
樹脂組成物
2か月前
伯東株式会社
ビニル化合物中の重合防止方法
2か月前
続きを見る
他の特許を見る