TOP
|
特許
|
意匠
|
商標
特許ウォッチ
Twitter
他の特許を見る
10個以上の画像は省略されています。
公開番号
2025158998
公報種別
公開特許公報(A)
公開日
2025-10-17
出願番号
2025126294,2022573059
出願日
2025-07-29,2021-12-24
発明の名称
樹脂組成物、プリプレグ、積層板、樹脂フィルム、プリント配線板及び半導体パッケージ
出願人
株式会社レゾナック
代理人
弁理士法人大谷特許事務所
主分類
C08L
39/04 20060101AFI20251009BHJP(有機高分子化合物;その製造または化学的加工;それに基づく組成物)
要約
【課題】10GHz帯以上の高周波数帯における誘電特性及び導体に対する接着性に優れる樹脂組成物、該樹脂組成物を用いたプリプレグ、積層板、樹脂フィルム、プリント配線板及び半導体パッケージを提供する。
【解決手段】(A)分子構造中に芳香族環と脂肪族環との縮合環を含み、N-置換マレイミド基を2個以上有するマレイミド化合物及びその誘導体からなる群から選択される1種以上と、(B)25℃における引張弾性率が10GPa以下である樹脂と、を含有する、樹脂組成物、該樹脂組成物を用いたプリプレグ、積層板、樹脂フィルム、プリント配線板及び半導体パッケージである。
特許請求の範囲
【請求項1】
(A)分子構造中に芳香族環と脂肪族環との縮合環を含み、N-置換マレイミド基を2個以上有するマレイミド化合物及びその誘導体からなる群から選択される1種以上と、
(B)25℃における引張弾性率が10GPa以下である樹脂と、
を含有する、樹脂組成物。
続きを表示(約 1,000 文字)
【請求項2】
前記縮合環が、インダン環である、請求項1に記載の樹脂組成物。
【請求項3】
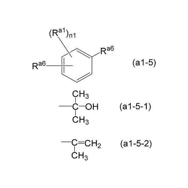
前記インダン環が、下記一般式(a1-1)で表される2価の基として前記(A)成分に含まれる、請求項2に記載の樹脂組成物。
JPEG
2025158998000032.jpg
31
81
(式中、R
a1
は、炭素数1~10のアルキル基、炭素数1~10のアルキルオキシ基、炭素数1~10のアルキルチオ基、炭素数6~10のアリール基、炭素数6~10のアリールオキシ基、炭素数6~10のアリールチオ基、炭素数3~10のシクロアルキル基、ハロゲン原子、水酸基又はメルカプト基であり、n1は0~3の整数である。R
a2
~R
a4
は、各々独立に、炭素数1~10のアルキル基である。*は結合部位を表す。)
【請求項4】
前記(B)成分が、ポリオレフィン系樹脂、ポリフェニレンエーテル系樹脂、シリコーン系樹脂及びエポキシ樹脂からなる群から選択される1種以上を含有する、請求項1~3のいずれか1項に記載の樹脂組成物。
【請求項5】
前記(B)成分が、前記ポリオレフィン系樹脂として、(b1)側鎖にビニル基を有する共役ジエンポリマーを、(b2)N-置換マレイミド基を2個以上有するマレイミド化合物で変性してなる変性共役ジエンポリマーを含有する、請求項4に記載の樹脂組成物。
【請求項6】
前記(B)成分が、前記ポリオレフィン系樹脂として、スチレン系エラストマーを含有する、請求項4又は5に記載の樹脂組成物。
【請求項7】
請求項1~6のいずれか1項に記載の樹脂組成物又は前記樹脂組成物の半硬化物を含有するプリプレグ。
【請求項8】
請求項1~6のいずれか1項に記載の樹脂組成物の硬化物又は請求項7に記載のプリプレグの硬化物と、金属箔と、を有する積層板。
【請求項9】
請求項1~6のいずれか1項に記載の樹脂組成物又は前記樹脂組成物の半硬化物を含有する樹脂フィルム。
【請求項10】
請求項1~6のいずれか1項に記載の樹脂組成物の硬化物、請求項7に記載のプリプレグの硬化物、及び請求項8に記載の積層板からなる群から選択される1種以上を有するプリント配線板。
(【請求項11】以降は省略されています)
発明の詳細な説明
【技術分野】
【0001】
本実施形態は、樹脂組成物、プリプレグ、積層板、樹脂フィルム、プリント配線板及び半導体パッケージに関する。
続きを表示(約 3,200 文字)
【背景技術】
【0002】
携帯電話に代表される移動体通信機器、その基地局装置、サーバー、ルーター等のネットワークインフラ機器、大型コンピューターなどの電子機器では、使用する信号の高速化及び大容量化が年々進んでいる。これに伴い、これらの電子機器に搭載するプリント配線板の基板材料には、高周波信号の伝送損失を低減できる誘電特性[以下、「高周波特性」と称する場合がある。]、すなわち、低比誘電率及び低誘電正接が求められている。
近年、上述した電子機器の他にも、自動車、交通システム関連等のITS(Intelligent Transport Systems)分野及び室内の近距離通信分野でも、高周波無線信号を扱う新規システムの実用化又は実用計画が進んでいる。そのため、今後、これらの分野で使用するプリント配線板に対しても、高周波特性に優れる基板材料の必要性が高まると予想される。
【0003】
特許文献1には、誘電正接が低く、低熱膨張であり、配線の埋め込み性及び平坦性に優れる熱硬化性樹脂組成物を提供することを課題として、無機充填材、N-置換マレイミド基を少なくとも2個有するマレイミド化合物由来の構造単位とジアミン化合物由来の構造単位とを有するポリイミド化合物を含有する熱硬化性樹脂組成物において、酸無水物で変性されているポリブタジエン系エラストマーを配合する技術が開示されている。
【先行技術文献】
【特許文献】
【0004】
特開2018-012747号公報
【発明の概要】
【発明が解決しようとする課題】
【0005】
ところで、近年、基板材料は、6GHzを超える周波数帯の電波が使用される第五世代移動通信システム(5G)アンテナ及び30~300GHzの周波数帯の電波が使用されるミリ波レーダーへの適用が要求されている。そのためには、10GHz帯以上における誘電特性がより一層改善された樹脂組成物の開発が必要である。
伝送損失を低減する方法として、絶縁層と該絶縁層上に形成された導体との接触面積を低減する方法も有効である。しかしながら、絶縁層と導体との接触面積の低下は、絶縁層と導体との接着性の低下の原因となり得る。そのため、誘電特性と導体に対する接着性とを高度に両立させることは困難であった。
特許文献1に開示されている熱硬化性樹脂組成物は、誘電特性に優れているものの、より一層優れた誘電特性と、導体に対する接着性との両立という点については改善の余地がある。
【0006】
本実施形態は、このような現状に鑑み、10GHz帯以上の高周波数帯における誘電特性及び導体に対する接着性に優れる樹脂組成物、該樹脂組成物を用いたプリプレグ、積層板、樹脂フィルム、プリント配線板及び半導体パッケージを提供することを課題とする。
【課題を解決するための手段】
【0007】
本発明者等は上記の課題を解決すべく検討を進めた結果、下記の本実施形態により当該課題を解決できることを見出した。
すなわち、本実施形態は、下記[1]~[11]に関する。
[1](A)分子構造中に芳香族環と脂肪族環との縮合環を含み、N-置換マレイミド基を2個以上有するマレイミド化合物及びその誘導体からなる群から選択される1種以上と、
(B)25℃における引張弾性率が10GPa以下である樹脂と、
を含有する、樹脂組成物。
[2]前記縮合環が、インダン環である、上記[1]に記載の樹脂組成物。
[3]前記インダン環が、下記一般式(a1-1)で表される2価の基として前記(A)成分に含まれる、上記[2]に記載の樹脂組成物。
JPEG
2025158998000001.jpg
34
85
(式中、R
a1
は、炭素数1~10のアルキル基、炭素数1~10のアルキルオキシ基、炭素数1~10のアルキルチオ基、炭素数6~10のアリール基、炭素数6~10のアリールオキシ基、炭素数6~10のアリールチオ基、炭素数3~10のシクロアルキル基、ハロゲン原子、水酸基又はメルカプト基であり、n1は0~3の整数である。R
a2
~R
a4
は、各々独立に、炭素数1~10のアルキル基である。*は結合部位を表す。)
[4]前記(B)成分が、ポリオレフィン系樹脂、ポリフェニレンエーテル系樹脂、シリコーン系樹脂及びエポキシ樹脂からなる群から選択される1種以上を含有する、上記[1]~[3]のいずれかに記載の樹脂組成物。
[5]前記(B)成分が、前記ポリオレフィン系樹脂として、(b1)側鎖にビニル基を有する共役ジエンポリマーを、(b2)N-置換マレイミド基を2個以上有するマレイミド化合物で変性してなる変性共役ジエンポリマーを含有する、上記[4]に記載の樹脂組成物。
[6]前記(B)成分が、前記ポリオレフィン系樹脂として、スチレン系エラストマーを含有する、上記[4]又は[5]に記載の樹脂組成物。
[7]上記[1]~[6]のいずれかに記載の樹脂組成物又は前記樹脂組成物の半硬化物を含有するプリプレグ。
[8]上記[1]~[6]のいずれかに記載の樹脂組成物の硬化物又は上記[7]に記載のプリプレグの硬化物と、金属箔と、を有する積層板。
[9]上記[1]~[6]のいずれかに記載の樹脂組成物又は前記樹脂組成物の半硬化物を含有する樹脂フィルム。
[10]上記[1]~[6]のいずれかに記載の樹脂組成物の硬化物、上記[7]に記載のプリプレグの硬化物、及び上記[8]に記載の積層板からなる群から選択される1種以上を有するプリント配線板。
[11]上記[10]に記載のプリント配線板と、半導体素子と、を有する半導体パッケージ。
【発明の効果】
【0008】
本実施形態によれば、10GHz帯以上の高周波数帯における誘電特性及び導体に対する接着性に優れる樹脂組成物、該樹脂組成物を用いたプリプレグ、積層板、樹脂フィルム、プリント配線板及び半導体パッケージを提供することができる。
【発明を実施するための形態】
【0009】
本明細書において、「~」を用いて示された数値範囲は、「~」の前後に記載される数値をそれぞれ最小値及び最大値として含む範囲を示す。
本明細書中に記載されている数値範囲の下限値及び上限値は、それぞれ他の数値範囲の下限値又は上限値と任意に組み合わせられる。
本明細書中に記載されている数値範囲において、その数値範囲の上限値又は下限値は、実施例に示されている値に置き換えてもよい。
本明細書に例示する各成分及び材料は、特に断らない限り、1種を単独で使用してもよいし、2種以上を併用してもよい。
本明細書において、樹脂組成物中の各成分の含有量は、樹脂組成物中に各成分に該当する物質が複数存在する場合、特に断らない限り、樹脂組成物中に存在する当該複数の物質の合計量を意味する。
本明細書における記載事項を任意に組み合わせた態様も本実施形態に含まれる。
本明細書に記載されている作用機序は推測であって、本実施形態に係る樹脂組成物の効果を奏する機序を限定するものではない。
【0010】
本明細書における「相容」という用語は、必ずしも分子単位で相溶していなくとも、ナノ単位又はミクロ単位で、或いは外観上、樹脂同士が混和していることを意味する。
(【0011】以降は省略されています)
この特許をJ-PlatPat(特許庁公式サイト)で参照する
関連特許
株式会社レゾナック
ブレーキ用パッド、金属含有組成物、ブレーキ及びブレーキ用パッドの製造方法
9日前
株式会社レゾナック
研磨液、研磨方法、部品の製造方法、及び、半導体部品の製造方法
2日前
株式会社レゾナック
感光性樹脂組成物、ドライフィルム、プリント配線板、及びプリント配線板の製造方法
5日前
株式会社レゾナック
樹脂組成物、プリプレグ、積層板、樹脂フィルム、プリント配線板及び半導体パッケージ
2日前
東ソー株式会社
ペレット
4日前
ユニチカ株式会社
透明シート
1か月前
株式会社カネカ
硬化性組成物
3か月前
ユニチカ株式会社
透明シート
20日前
株式会社コバヤシ
成形体
17日前
東レ株式会社
熱硬化性樹脂組成物
2か月前
東ソー株式会社
ゴム用接着性改質剤
5日前
東レ株式会社
ポリエステルフィルム
3か月前
丸住製紙株式会社
変性パルプ
20日前
東レ株式会社
引抜成形品の製造方法
1か月前
住友精化株式会社
吸水剤の製造方法
1か月前
東レ株式会社
ポリエステルフィルム
24日前
東レ株式会社
ポリエステルフィルム
2日前
東ソー株式会社
樹脂組成物および蓋材
1か月前
横浜ゴム株式会社
重荷重タイヤ
16日前
花王株式会社
樹脂組成物
3か月前
東レ株式会社
ポリオレフィン微多孔膜
2か月前
東ソー株式会社
樹脂組成物および蓋材
1か月前
東レ株式会社
ポリプロピレンフィルム
16日前
日本特殊陶業株式会社
樹脂成形体
1か月前
UBE株式会社
衝撃吸収材
20日前
株式会社コバヤシ
光硬化性組成物
2か月前
アイカ工業株式会社
光硬化性樹脂組成物
16日前
株式会社スリーボンド
硬化性樹脂組成物
16日前
住友ベークライト株式会社
ポリマー
5日前
住友化学株式会社
樹脂組成物
16日前
住友ベークライト株式会社
ポリマー
5日前
株式会社カネカ
シーリング材
9日前
ノリタケ株式会社
担体構造体
10日前
株式会社カネカ
硬化性組成物
1か月前
株式会社カネカ
硬化性組成物
1か月前
株式会社大阪ソーダ
熱可塑性材料用組成物
3か月前
続きを見る
他の特許を見る