TOP
|
特許
|
意匠
|
商標
特許ウォッチ
Twitter
他の特許を見る
10個以上の画像は省略されています。
公開番号
2025098954
公報種別
公開特許公報(A)
公開日
2025-07-02
出願番号
2024208862
出願日
2024-11-29
発明の名称
オートファジー活性化剤
出願人
オルト株式会社
,
学校法人早稲田大学
代理人
弁理士法人アルガ特許事務所
主分類
A61K
36/39 20060101AFI20250625BHJP(医学または獣医学;衛生学)
要約
【課題】原料の入手性、オートファジー活性化効果、安全性などに優れるオートファジー活性化剤を提供する。
【解決手段】焼酎粕、焼酎粕乳酸発酵物及びそれらの抽出物から選ばれる1種以上を有効成分とする、オートファジー活性化剤。
【選択図】なし
特許請求の範囲
【請求項1】
焼酎粕、焼酎粕乳酸発酵物及びそれらの抽出物から選ばれる1種以上を有効成分とする、オートファジー活性化剤。
続きを表示(約 700 文字)
【請求項2】
有効成分が、焼酎粕抽出物及び焼酎粕乳酸発酵物抽出物から選ばれる1種以上である、請求項1記載のオートファジー活性化剤。
【請求項3】
有効成分が、焼酎粕抽出物又は焼酎粕乳酸発酵物抽出物中の分子量3000以下のアグマチン含有画分及び分子量10,000以上のタンパク質含有画分から選ばれる1種以上である請求項1記載のオートファジー活性化剤。
【請求項4】
オートファジー活性化作用が、mTORキナーゼを介するオートファジー活性化作用である請求項1記載のオートファジー活性化剤。
【請求項5】
焼酎粕、焼酎粕乳酸発酵物及びそれらの抽出物から選ばれる1種以上を含有する、オートファジー活性化用食品組成物又はオートファジー活性化用化粧料組成物。
【請求項6】
有効成分が、焼酎粕抽出物及び焼酎粕乳酸発酵物抽出物から選ばれる1種以上である、請求項5記載のオートファジー活性化用食品組成物又はオートファジー活性化用化粧料組成物。
【請求項7】
有効成分が、焼酎粕抽出物又は焼酎粕乳酸発酵物抽出物中の分子量3000以下のアグマチン含有画分及び分子量10,000以上のタンパク質含有画分から選ばれる1種以上である請求項5記載のオートファジー活性化用食品組成物又はオートファジー活性化用化粧料組成物。
【請求項8】
オートファジー活性化作用が、mTORキナーゼによるリン酸化を介するオートファジー活性化作用である請求項5記載のオートファジー活性化用食品組成物又はオートファジー活性化用化粧料組成物。
発明の詳細な説明
【技術分野】
【0001】
本発明は、オートファジー活性化剤に関する。
続きを表示(約 2,800 文字)
【背景技術】
【0002】
オートファジーは、細胞が持っている、細胞内のタンパク質を分解する仕組みの一つであり、細胞内での異常なタンパク質の蓄積を防いだり、過剰にタンパク質合成したときや栄養環境が悪化したときにタンパク質のリサイクルを行ったり、細胞質内に侵入した病原微生物を排除したりすることで生体の恒常性維持に関与している。
オートファジー機能が低下することにより生じるとされる疾患として、アルツハイマー病、パーキンソン病、ハンチントン病などの神経変性疾患、心筋梗塞、心筋症、アテローム性動脈硬化症などの心血管疾患、筋ジストロフィー、変形性関節症、サルコペニアなどの筋損失性疾患、アルコール性脂肪肝、肝硬変、急性肝不全などの肝機能障害、慢性閉塞性肺疾患、特発性肺線維症、肺高血圧症などの肺疾患、急性腎障害、糖尿病性腎臓病、糸球体腎炎などの腎疾患などが知られている(非特許文献1)。
【0003】
オートファジー活性化剤としては、セージなどの植物抽出物、ヘパリン類似物質、グリチルリチン酸塩などの成分、アグリモールB、アガリクス茸抽出物、モロコシソウなどが報告されている(特許文献1~5)。
【先行技術文献】
【特許文献】
【0004】
特開2021-172640号公報
特開2021-172461号公報
特開2022-187483号公報
特開2023-104643号公報
特開2023-152905号公報
【非特許文献】
【0005】
The EMBO Juornal 40:e108863(2021);1-63
【発明の概要】
【発明が解決しようとする課題】
【0006】
しかしながら、従来報告されているオートファジー活性化剤の効果は十分満足できるものではなく、原料の入手性、オートファジー活性化効果、安全性などにおいてさらに優れた成分が望まれている。
従って、本発明の課題は、原料の入手性、オートファジー活性化効果、安全性などに優れるオートファジー活性化剤を提供することにある。
【課題を解決するための手段】
【0007】
そこで、本発明者は、焼酎粕及びその乳酸発酵物に着目し、種々の生理活性を検討してきたところ、全く意外にも、これらに優れたオートファジー活性化効果があることを見出し、本発明を完成した。
【0008】
すなわち、本発明は、次の発明[1]~[8]を提供するものである。
[1]焼酎粕、焼酎粕乳酸発酵物及びそれらの抽出物から選ばれる1種以上を有効成分とする、オートファジー活性化剤。
[2]有効成分が、焼酎粕抽出物及び焼酎粕乳酸発酵物抽出物から選ばれる1種以上である、[1]記載のオートファジー活性化剤。
[3]有効成分が、焼酎粕抽出物又は焼酎粕乳酸発酵物抽出物中の分子量3,000以下のアグマチン含有画分及び分子量10,000以上のタンパク質含有画分から選ばれる1種以上である[1]記載のオートファジー活性化剤。
[4]オートファジー活性化作用が、mTORキナーゼによるリン酸化を介するオートファジー活性化作用である[1]記載のオートファジー活性化剤。
[5]焼酎粕、焼酎粕乳酸発酵物及びそれらの抽出物から選ばれる1種以上を含有する、オートファジー活性化用食品組成物又はオートファジー活性化用化粧料組成物。
[6]有効成分が、焼酎粕抽出物及び焼酎粕乳酸発酵物抽出物から選ばれる1種以上である、[5]記載のオートファジー活性化用食品組成物又はオートファジー活性化用化粧料組成物。
[7]有効成分が、焼酎粕抽出物又は焼酎粕乳酸発酵物抽出物中の分子量3,000以下のアグマチン含有画分及び分子量10,000以上のタンパク質含有画分から選ばれる1種以上である[5]記載のオートファジー活性化用食品組成物又はオートファジー活性化用化粧料組成物。
[8]オートファジー活性化作用が、mTORキナーゼによるリン酸化を介するオートファジー活性化作用である[5]記載のオートファジー活性化用食品組成物又はオートファジー活性化用化粧料組成物。
【発明の効果】
【0009】
焼酎粕は、従来廃棄されるか動物の飼料、農地還元などに使用される程度しか利用されず、SDGsなどの観点からも他の利用が望まれてきたものであるが、本発明により、新たな利用が図られる。また、オートファジーの活性化は、前記のように種々の疾患の予防又は治療に有効であり、本発明のオートファジー活性化剤は医薬、食品及び化粧料として広く利用できる。
【図面の簡単な説明】
【0010】
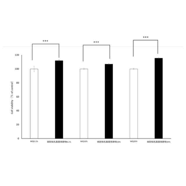
焼酎粕のHeLa細胞生存率に対する作用を示す。
焼酎粕乳酸発酵物のHeLa細胞生存率に対する作用を示す。
焼酎粕のHeLa細胞に対するオートファジー活性化作用を示す。
焼酎粕乳酸発酵物のHeLa細胞に対するオートファジー活性化作用を示す。
焼酎粕のCaco-2細胞及びHaCaT細胞生存率に対する作用を示す。
焼酎粕乳酸発酵物のCaco-2細胞及びHaCaT細胞生存率に対する作用を示す。
焼酎粕のCaco-2細胞及びHaCaT細胞に対するオートファジー活性化作用を示す。
焼酎粕乳酸発酵物のCaco-2細胞及びHaCaT細胞に対するオートファジー活性化作用を示す。
焼酎粕がCaco-2細胞におけるmTORC1活性に与える影響を示す。
焼酎粕乳酸発酵物がCaco-2細胞におけるmTORC1活性に与える影響を示す。
焼酎粕及び焼酎粕乳酸発酵物のCaco-2細胞に対するオートファジー活性化作用とmTORC活性との関係を示す。
焼酎粕の各画分のオートファジー活性化作用を示す。
焼酎粕乳酸発酵物の各画分のオートファジー活性化作用を示す。
アグマチンのCaco-2細胞に対するオートファジー活性化作用を示す。
被験成分の各画分に含まれるタンパク質量を示す。
被験成分の各画分に含まれるタンパク質量とオートファジー活性化作用の相関性を示す。
被験成分の除タンパク質結果を示す。
被験成分の除タンパク質がオートファジー活性化作用に与える影響を示す。
被験成分の熱処理がオートファジー活性化作用に与える影響を示す。
被験成分のProteinase K処理がオートファジー活性化作用に与える影響を示す。
被験成分によるオートファジーを介した酸化ストレス保護作用を示す。
【発明を実施するための形態】
(【0011】以降は省略されています)
この特許をJ-PlatPat(特許庁公式サイト)で参照する
関連特許
オルト株式会社
オートファジー活性化剤
4か月前
個人
貼付剤
10日前
個人
短下肢装具
3か月前
個人
前腕誘導装置
3か月前
個人
嚥下鍛錬装置
4か月前
個人
白内障治療法
7か月前
個人
排尿補助器具
23日前
個人
洗井間専家。
7か月前
個人
ホバーアイロン
7か月前
個人
汚れ防止シート
1か月前
個人
アイマスク装置
2か月前
個人
腰ベルト
13日前
個人
歯の修復用材料
4か月前
個人
バッグ式オムツ
4か月前
個人
ウォート指圧法
21日前
個人
胸骨圧迫補助具
2か月前
個人
矯正椅子
5か月前
個人
車椅子持ち上げ器
7か月前
個人
哺乳瓶冷まし容器
3か月前
個人
シャンプー
6か月前
三生医薬株式会社
錠剤
7か月前
個人
陣痛緩和具
4か月前
個人
美容セット
1日前
個人
歯の保護用シール
5か月前
個人
湿布連続貼り機。
2か月前
株式会社八光
剥離吸引管
5か月前
個人
治療用酸化防御装置
1か月前
株式会社コーセー
化粧料
20日前
個人
エア誘導コルセット
2か月前
株式会社大野
骨壷
4か月前
個人
服薬支援装置
7か月前
個人
性行為補助具
3か月前
個人
シリンダ式歩行補助具
3か月前
株式会社コロナ
サウナ装置
6か月前
株式会社ニデック
眼科装置
27日前
株式会社松風
口腔用組成物
3か月前
続きを見る
他の特許を見る