TOP
|
特許
|
意匠
|
商標
特許ウォッチ
Twitter
他の特許を見る
10個以上の画像は省略されています。
公開番号
2025117022
公報種別
公開特許公報(A)
公開日
2025-08-12
出願番号
2024011654
出願日
2024-01-30
発明の名称
土壌の浄化方法
出願人
鹿島建設株式会社
代理人
個人
,
個人
,
個人
,
個人
主分類
B09C
1/08 20060101AFI20250804BHJP(固体廃棄物の処理;汚染土壌の再生)
要約
【課題】土壌中の汚染物質を原位置で分解する土壌の浄化方法であって、中性領域でのフェントン反応の持続性が高められた浄化方法を提供する。
【解決手段】土壌にキレート剤と過酸化水素とを注入する。キレート剤は、一つの水酸基と、その一つの水酸基以外に鉄原子に配位可能な配位点を二つ以上有するアミノカルボン酸化合物又はその塩である。このキレート剤によって形成される鉄錯体は強固であり、三価の鉄イオンが遊離しにくくなる。このため、水酸化鉄(III)の沈殿による透水性の低下が起こりにくい。
【選択図】図2
特許請求の範囲
【請求項1】
土壌中の汚染物質を原位置で分解する土壌の浄化方法であって、
前記土壌に、キレート剤と過酸化水素とを注入し、
前記キレート剤は、一つの水酸基と、前記一つの水酸基以外に鉄原子に配位可能な配位点を二つ以上有するアミノカルボン酸化合物又はその塩である、浄化方法。
続きを表示(約 560 文字)
【請求項2】
前記一つの水酸基は、カルボニル基のα炭素に結合している、請求項1記載の浄化方法。
【請求項3】
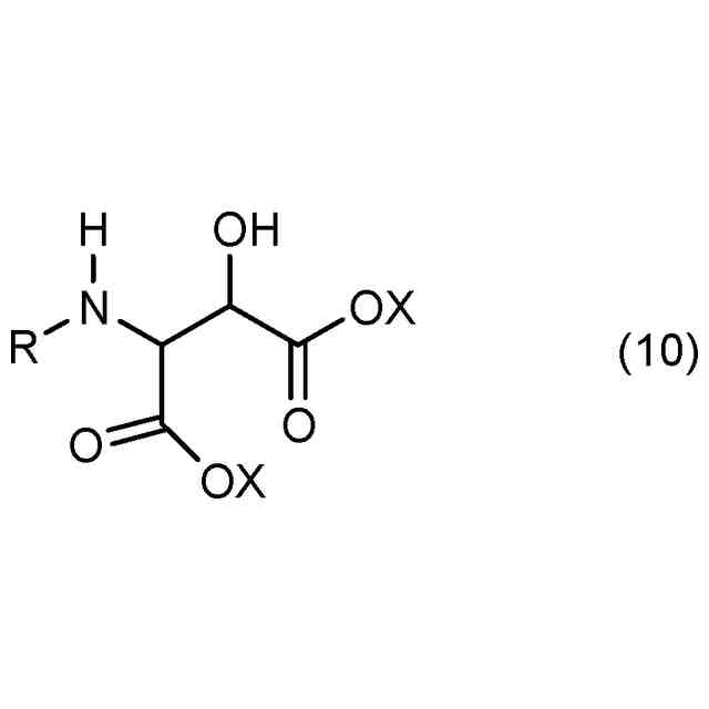
前記キレート剤は、下記式(10)で表される化合物である、請求項1記載の浄化方法。
TIFF
2025117022000009.tif
24
149
(式中、Rは炭素数が1~8の置換基であり、Xは水素又はアルカリ金属である。)
【請求項4】
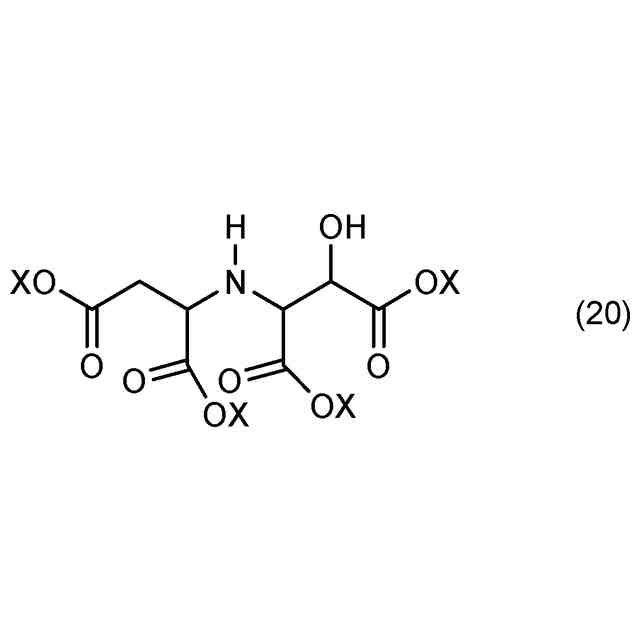
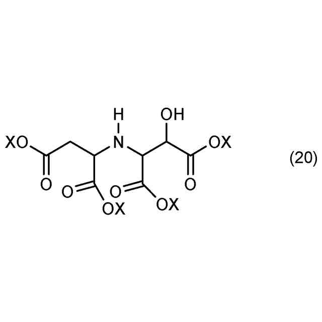
前記キレート剤は、下記式(20)で表される化合物である、請求項1記載の浄化方法。
TIFF
2025117022000010.tif
25
149
(式中、Xは水素又はアルカリ金属である。)
【請求項5】
前記キレート剤は、生分解性である、請求項1記載の浄化方法。
【請求項6】
前記キレート剤と前記過酸化水素とを、井戸に注入する、請求項1記載の浄化方法。
【請求項7】
前記キレート剤を先に前記土壌に注入し、所定時間経過後に、前記過酸化水素を前記土壌に注入する、請求項1記載の浄化方法。
【請求項8】
前記キレート剤と前記過酸化水素とを、同時に前記土壌に注入する、請求項1記載の浄化方法。
発明の詳細な説明
【技術分野】
【0001】
本発明は、土壌の浄化方法に関する。
続きを表示(約 1,600 文字)
【背景技術】
【0002】
従来、土壌中の汚染物質を原位置で分解して土壌を浄化する技術として、フェントン反応を用いる技術が知られている(例えば特許文献1)。土壌に過酸化水素を注入すると、土壌中に元々存在する、または薬剤として注入した二価の鉄イオンが酸化されて三価の鉄イオンになるとともに、過酸化水素がヒドロキシイオンとヒドロキシラジカルになる。活性が高いヒドロキシラジカルは汚染物質と反応して汚染物質を分解する。他方、三価の鉄イオンは何らの手当てがなければ水酸化鉄(III)として沈殿するが、三価の鉄イオンをキレート剤で捕捉することで沈殿を防止する。三価の鉄イオンはやがて過酸化水素等により二価の鉄イオンに戻る。この例ではキレート剤を併用しているので、水酸化鉄(III)が形成されやすいpHが中性の領域でも継続して進行することができる。
【先行技術文献】
【特許文献】
【0003】
特許第4785067号公報
【発明の概要】
【発明が解決しようとする課題】
【0004】
その後、この技術は浄化の持続性に問題が生じ得ることが分かってきた。例えば、過酸化水素とキレート剤(併せて「薬剤」と呼ぶ。)を地上から地下に向けて土壌に差し込んだ注入管を用いて注入した場合、キレート剤を用いているにもかかわらず、薬剤が注入管の周辺に十分に拡散するよりも早く水酸化鉄(III)が沈殿し、土壌の透水性が低下して薬剤の拡散を妨げる場合がある。薬剤の注入に井戸を用いた場合は、水酸化鉄(III)によるストレーナーの目詰まりも生じ得る。これらの場合、薬剤による浄化の範囲が注入管又は井戸のごく周辺に限られる。
【0005】
そこで本発明は、土壌中の汚染物質を原位置で分解する土壌の浄化方法であって、中性領域でのフェントン反応の持続性が高められた浄化方法を提供することを目的とする。
【課題を解決するための手段】
【0006】
中性領域でのフェントン反応を利用する浄化方法について本発明者らが検討したところ、キレート剤として用いている有機化合物、又は、キレート剤と三価の鉄イオンとの錯体が、ヒドロキシラジカルによって分解されて水酸化鉄(III)が沈殿している可能性が考えられた。本発明者らが鋭意検討した結果、ある種のキレート剤を用いると、キレート剤がヒドロキシラジカルによってある程度分解されても三価の鉄を鉄イオンとして保持することができ、土壌の浄化作用を持続させることができることが分かった。また、キレート剤の分解がさらに進み水酸化鉄(III)が生成しても、生成した水酸化鉄(III)は分散性が高く、沈殿することなく水中に長時間保持することができ、土壌の目詰まりを抑制できることが分かった。
【0007】
本発明は、土壌中の汚染物質を原位置で分解する土壌の浄化方法であって、土壌に、キレート剤と過酸化水素とを注入し、キレート剤は、一つの水酸基と、一つの水酸基以外に鉄原子に配位可能な配位点を二つ以上有するアミノカルボン酸化合物又はその塩である、浄化方法を提供する。
【0008】
ここで用いるキレート剤によれば、アミノカルボン酸化合物がその二つ以上有する配位点により三価の鉄イオンとキレートを形成することに加え、水酸基も鉄原子に配位することができると考えられる。これにより錯体が安定し、三価の鉄イオンが遊離しにくくなる。その結果、薬剤を注入した土壌において水酸化鉄(III)の沈殿による透水性の低下が起こりにくく、薬剤の浸透範囲が広がって広範囲の土壌を浄化することができる。
【0009】
キレート剤が有する一つの水酸基は、カルボニル基のα炭素に結合していてもよい。
【0010】
キレート剤は、下記式(10)で表される化合物であってもよい。
(【0011】以降は省略されています)
この特許をJ-PlatPat(特許庁公式サイト)で参照する
関連特許
鹿島建設株式会社
壁体
1か月前
鹿島建設株式会社
積層体
1か月前
鹿島建設株式会社
定着構造
1か月前
鹿島建設株式会社
熱回収方法
21日前
鹿島建設株式会社
部材形成方法
1か月前
鹿島建設株式会社
空調システム
今日
鹿島建設株式会社
柱建て込み方法
7日前
鹿島建設株式会社
土壌の浄化方法
1か月前
鹿島建設株式会社
壁体の構築方法
1か月前
鹿島建設株式会社
トンネル掘削機
24日前
鹿島建設株式会社
形状検出システム
1か月前
鹿島建設株式会社
高度測位システム
27日前
鹿島建設株式会社
シール部材診断方法
1か月前
鹿島建設株式会社
計測装置及び計測方法
1か月前
鹿島建設株式会社
計測装置及び計測方法
24日前
鹿島建設株式会社
グラウチングシステム
14日前
鹿島建設株式会社
グラウチングシステム
14日前
鹿島建設株式会社
運搬台車および運搬方法
3日前
鹿島建設株式会社
ワイヤレス給電システム
3日前
鹿島建設株式会社
接続方法および接続構造
13日前
鹿島建設株式会社
壁体の構築方法および壁体
1か月前
鹿島建設株式会社
グレーチング用ドアストッパ
1か月前
鹿島建設株式会社
水処理システムおよび水処理方法
13日前
鹿島建設株式会社
環境制御システム及び環境制御方法
1か月前
鹿島建設株式会社
型枠固定機構および壁体の構築方法
1か月前
鹿島建設株式会社
帯水層蓄熱システム及び帯水層蓄熱方法
1か月前
鹿島建設株式会社
支保工の支持構造およびスラブの構築方法
1か月前
鹿島建設株式会社
測定装置、測定方法及び測定装置の校正方法
1か月前
鹿島建設株式会社
鉱物含有量測定方法及び鉱物含有量測定装置
13日前
鹿島建設株式会社
施工工程設定方法及び施工工程設定プログラム
1か月前
鹿島建設株式会社
仮設部材割付方法及び仮設部材割付プログラム
1か月前
鹿島建設株式会社
作業効率化支援方法及び作業効率化支援プログラム
1か月前
鹿島建設株式会社
洗掘防止部材設置システム、洗掘防止部材設置方法
1か月前
鹿島建設株式会社
風力発電用基礎構造、風力発電用基礎構造の施工方法
1か月前
鹿島建設株式会社
オンライン会議サーバ、及び、オンライン会議を提供する方法
14日前
株式会社ノザワ
中空部を有する炭酸化押出成形セメント板の製造方法
1か月前
続きを見る
他の特許を見る