TOP
|
特許
|
意匠
|
商標
特許ウォッチ
Twitter
他の特許を見る
10個以上の画像は省略されています。
公開番号
2025125324
公報種別
公開特許公報(A)
公開日
2025-08-27
出願番号
2024021303
出願日
2024-02-15
発明の名称
樹脂組成物、フィルム、偏光シート、および、サングラス
出願人
三菱瓦斯化学株式会社
,
MGCフィルシート株式会社
代理人
弁理士法人特許事務所サイクス
主分類
C08L
77/06 20060101AFI20250820BHJP(有機高分子化合物;その製造または化学的加工;それに基づく組成物)
要約
【課題】透明性に優れ、かつ、フィルムの製造の際のロール汚れを効果的に抑制できるフィルムを提供可能な樹脂組成物、ならびに、フィルム、偏光シート、および、サングラスの提供。
【解決手段】脂環式ジアミン単位と炭素数7~20の脂肪族ジカルボン酸単位を含むポリアミド樹脂と、ポリアルキレングリコールとを含み、前記ポリアルキレングリコールは、エチレングリコール単位および/またはプロピレングリコール単位を合計で全単位の50モル%以上の割合で含み、かつ、数平均分子量が100~3500である、樹脂組成物。
【選択図】図1
特許請求の範囲
【請求項1】
脂環式ジアミン単位と炭素数7~20の脂肪族ジカルボン酸単位を含むポリアミド樹脂と、ポリアルキレングリコールとを含み、
前記ポリアルキレングリコールは、エチレングリコール単位および/またはプロピレングリコール単位を合計で全単位の50モル%以上の割合で含み、かつ、数平均分子量が100~3500である、樹脂組成物。
続きを表示(約 1,000 文字)
【請求項2】
前記炭素数7~20の脂肪族ジカルボン酸単位が、セバシン酸単位および/またはドデカン二酸単位を含む、請求項1に記載の樹脂組成物。
【請求項3】
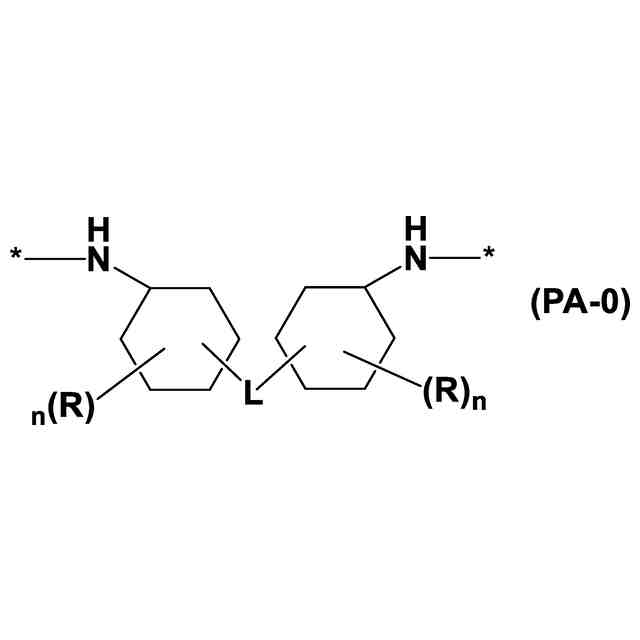
前記脂環式ジアミン単位を構成する脂環式ジアミンが、置換または無置換のシクロヘキサン環を2つ含む、請求項1または2に記載の樹脂組成物。
【請求項4】
前記脂環式ジアミン単位が、式(PA-1)で表される単位を含む、請求項1または2に記載の樹脂組成物。
TIFF
2025125324000014.tif
42
170
(式(PA-1)中、R
1
は、それぞれ独立に、炭素数1~5のアルキル基であり、n1は、それぞれ独立に、0~3の整数である。*は他の単位または末端基との結合部位である。)
【請求項5】
前記樹脂組成物に含まれるポリアルキレングリコールの含有量が、0.01~5質量%である、請求項1~4のいずれか1項に記載の樹脂組成物。
【請求項6】
前記炭素数7~20の脂肪族ジカルボン酸単位が、セバシン酸単位および/またはドデカン二酸単位を含み、
前記脂環式ジアミン単位が、式(PA-1)で表される単位を含み、
前記樹脂組成物に含まれるポリアルキレングリコールの含有量が、0.01~5質量%である、請求項1~5のいずれか1項に記載の樹脂組成物。
TIFF
2025125324000015.tif
42
170
(式(PA-1)中、R
1
は、それぞれ独立に、炭素数1~5のアルキル基であり、n1は、それぞれ独立に、0~3の整数である。*は他の単位または末端基との結合部位である。)
【請求項7】
前記ポリアミド樹脂が非晶性樹脂である、請求項1~6のいずれか1項に記載の樹脂組成物。
【請求項8】
前記樹脂組成物を300μm厚さのフィルムに成形した時のヘイズが3.0%以下である、請求項1~7のいずれか1項に記載の樹脂組成物。
【請求項9】
前記樹脂組成物を300μm厚さのフィルムに成形した時の全光線透過率が80%以上である、請求項1~8のいずれか1項に記載の樹脂組成物。
【請求項10】
偏光シートの保護フィルム用である、請求項1~9のいずれか1項に記載の樹脂組成物。
(【請求項11】以降は省略されています)
発明の詳細な説明
【技術分野】
【0001】
本発明は、樹脂組成物、フィルム、偏光シート、および、サングラスに関する。特に、ポリアミド樹脂を主要成分とする樹脂組成物等に関する。
続きを表示(約 4,200 文字)
【背景技術】
【0002】
ポリアミド樹脂は、剛性、強度などの機械特性や耐熱性などに優れているため、電気・電子、自動車、機械、建材など多岐に渡り利用されている(特許文献1~3)。
【先行技術文献】
【特許文献】
【0003】
特開2015-129271号公報
特開2013-001906号公報
特開2012-131977号公報
【発明の概要】
【発明が解決しようとする課題】
【0004】
上述の通り、ポリアミド樹脂は多岐にわたる分野で利用されているが、一般的に透明性が劣る樹脂であり、透明性が要求される用途には用いられてこなかった。
かかる状況下、本発明者は、ポリアミド樹脂を偏光膜の保護フィルムなどの透明な用途に用いることを検討した。しかしながら、ポリアミド樹脂をフィルム状に成形する場合、フィルムの製造の際に、ロールに汚れが発生する場合がある。
本発明は、かかる課題を解決することを目的とするものであって、透明性に優れ、かつ、フィルムの製造の際のロール汚れを効果的に抑制できるフィルムを提供可能な樹脂組成物、ならびに、フィルム、偏光シート、および、サングラスを提供することを目的とする。
【課題を解決するための手段】
【0005】
上記課題のもと、本発明者が検討を行った結果、所定のポリアミド樹脂に、エチレングリコール単位および/またはプロピレングリコール単位を合計で全単位の50モル%以上の割合で含み、かつ、数平均分子量が100~3500であるポリアルキレングリコールを配合することにより、上記課題を解決しうることを見出した。
具体的には、下記手段により、上記課題は解決された。
<1>脂環式ジアミン単位と炭素数7~20の脂肪族ジカルボン酸単位を含むポリアミド樹脂と、ポリアルキレングリコールとを含み、
前記ポリアルキレングリコールは、エチレングリコール単位および/またはプロピレングリコール単位を合計で全単位の50モル%以上の割合で含み、かつ、数平均分子量が100~3500である、樹脂組成物。
<2>前記炭素数7~20の脂肪族ジカルボン酸単位が、セバシン酸単位および/またはドデカン二酸単位を含む、<1>に記載の樹脂組成物。
<3>前記脂環式ジアミン単位を構成する脂環式ジアミンが、置換または無置換のシクロヘキサン環を2つ含む、<1>または<2>に記載の樹脂組成物。
<4>前記脂環式ジアミン単位が、式(PA-1)で表される単位を含む、<1>または<2>に記載の樹脂組成物。
TIFF
2025125324000002.tif
42
170
(式(PA-1)中、R
1
は、それぞれ独立に、炭素数1~5のアルキル基であり、n1は、それぞれ独立に、0~3の整数である。*は他の単位または末端基との結合部位である。)
<5>前記樹脂組成物に含まれるポリアルキレングリコールの含有量が、0.01~5質量%である、<1>~<4>のいずれか1つに記載の樹脂組成物。
<6>前記炭素数7~20の脂肪族ジカルボン酸単位が、セバシン酸単位および/またはドデカン二酸単位を含み、
前記脂環式ジアミン単位が、式(PA-1)で表される単位を含み、
前記樹脂組成物に含まれるポリアルキレングリコールの含有量が、0.01~5質量%である、<1>~<5>のいずれか1つに記載の樹脂組成物。
TIFF
2025125324000003.tif
42
170
(式(PA-1)中、R
1
は、それぞれ独立に、炭素数1~5のアルキル基であり、n1は、それぞれ独立に、0~3の整数である。*は他の単位または末端基との結合部位である。)
<7>前記ポリアミド樹脂が非晶性樹脂である、<1>~<6>のいずれか1つに記載の樹脂組成物。
<8>前記樹脂組成物を300μm厚さのフィルムに成形した時のヘイズが3.0%以下である、<1>~<7>のいずれか1つに記載の樹脂組成物。
<9>前記樹脂組成物を300μm厚さのフィルムに成形した時の全光線透過率が80%以上である、<1>~<8>のいずれか1つに記載の樹脂組成物。
<10>偏光シートの保護フィルム用である、<1>~<9>のいずれか1つに記載の樹脂組成物。
<11><1>~<10>のいずれか1つに記載の樹脂組成物から形成されたフィルム。
<12><11>に記載のフィルムと、偏光膜を含む、偏光シート。
<13><12>に記載の偏光シートを含む、サングラス。
【発明の効果】
【0006】
透明性に優れ、かつ、フィルムの製造の際のロール汚れを効果的に抑制できるフィルムを提供可能な樹脂組成物、ならびに、フィルム、偏光シート、および、サングラスを提供可能になった。
【図面の簡単な説明】
【0007】
本実施形態の熱曲げ成形品の層構成の一例を説明するための概略図である。
【発明を実施するための形態】
【0008】
以下、本発明を実施するための形態(以下、単に「本実施形態」という)について詳細に説明する。なお、以下の本実施形態は、本発明を説明するための例示であり、本発明は本実施形態のみに限定されない。
なお、本明細書において「~」とはその前後に記載される数値を下限値および上限値として含む意味で使用される。また、本明細書における数値の上限値と下限値は、前記上限値と下限値のいずれの組み合わせについても、本実施形態の一例として挙げられる。
本明細書において、各種物性値および特性値は、特に述べない限り、23℃におけるものとする。
本明細書における基(原子団)の表記において、置換および無置換を記していない表記は、置換基を有さない基(原子団)と共に置換基を有する基(原子団)をも包含する。例えば、「アルキル基」とは、置換基を有さないアルキル基(無置換アルキル基)のみならず、置換基を有するアルキル基(置換アルキル基)をも包含する。本明細書では、置換および無置換を記していない表記は、無置換の方が好ましい。
本明細書における置換基の例としては、ハロゲン原子、シアノ基、ニトロ基、ヒドロキシ基、アルキル基、アルコキシ基、アリール基、アリールオキシ基、複素環基、複素環オキシ基、アルケニル基、アルキルスルファニル基、アリールスルファニル基、アシル基またはアミノ基であることが好ましく、ハロゲン原子、アルキル基、アルコキシ基、アリール基、アリールオキシ基、アルケニル基、または、アシル基であることがより好ましく、アルキル基、アリール基、アリールオキシ基またはアルケニル基であることがさらに好ましく、アルキル基であることが一層好ましい。これらの置換基の式量は、15以上であることが好ましく、また、200以下であることが好ましい。式量とは、例えば、メチル基(-CH
3
)であれば、15である。これらの置換基はさらに置換基を有していてもよいが、置換基を有していない方が好ましい。
【0009】
本明細書におけるフィルムは、長さと幅に対して、厚さが薄く、概ね、平らな成形品をいい、シートも含む趣旨である。また、本明細書における「フィルム」は、単層であっても多層であってもよいが、単層が好ましい。
本明細書で示す規格で説明される測定方法等が年度によって異なる場合、特に述べない限り、2024年1月1日時点における規格に基づくものとする。本明細書で示す規格で説明される測定方法等が2024年1月1日時点で廃止となっている場合、廃止時点の規格に基づくものとする。
図1は、縮尺度などは実際と整合していないこともある。
【0010】
本実施形態の樹脂組成物は、脂環式ジアミン単位と炭素数7~20の脂肪族ジカルボン酸単位を含むポリアミド樹脂と、ポリアルキレングリコールとを含み、前記ポリアルキレングリコールは、エチレングリコール単位および/またはプロピレングリコール単位を合計で全単位の50モル%以上の割合で含み、かつ、数平均分子量が100~3500であることを特徴とする。
このような構成とすることにより、透明性に優れ、かつ、フィルムの製造の際のロール汚れを効果的に抑制できるフィルムを提供可能な樹脂組成物が得られる。ロール汚れは、例えば、押出成形する際にポリアミド樹脂がダイ内で滞留し、金属壁面へ付着することで、ポリアミド樹脂が分解してしまうことが原因だと推測される。本発明者らが検討を行ったところ、ポリアルキレングリコールとして、エチレングリコール単位および/またはプロピレングリコール単位を合計で全単位の50モル%以上の割合で含み、かつ、数平均分子量が100~3500であるポリアルキレングリコールを用いることにより、ポリアミド樹脂がダイ内で滞留することを効果的に抑制でき、結果としてロール汚れを効果的に抑制できることがわかった。これは、エチレングリコール単位および/またはプロピレングリコール単位を合計で全単位の50モル%以上の割合で含むことにより、ポリアミド樹脂との適度な相溶性を達成でき、数平均分子量が100~3500であるポリアルキレングリコールを含むことにより、樹脂組成物中において、ポリアルキレングリコールが有するアルキレン鎖がダイ内の金属壁面側に存在しやすくなったためと推測される。このような特徴を持つポリアルキレングリコールを用いることで、透明性を維持しつつ、フィルムの製造の際のロール汚れを効果的に抑制できるフィルムを提供可能な樹脂組成物が得られたと推測される。
以下、本実施形態の詳細について説明する。
(【0011】以降は省略されています)
この特許をJ-PlatPat(特許庁公式サイト)で参照する
関連特許
三菱瓦斯化学株式会社
細胞老化抑制剤
5日前
三菱瓦斯化学株式会社
切削加工補助材及び切削加工方法
4日前
三菱瓦斯化学株式会社
化合物の製造方法、および、化合物
19日前
三菱瓦斯化学株式会社
イミダゾピロロキノリンアルカリ金属塩の製造方法
5日前
三菱瓦斯化学株式会社
フィルム、多層体、および、透明導電性フィルム
7日前
東ソー株式会社
摺動部材
4か月前
東ソー株式会社
ゴム組成物
4か月前
ユニチカ株式会社
透明シート
1か月前
ユニチカ株式会社
透明シート
8日前
株式会社カネカ
硬化性組成物
2か月前
株式会社コバヤシ
成形体
5日前
ユニチカ株式会社
ビスマレイミド
4か月前
東レ株式会社
熱硬化性樹脂組成物
1か月前
東レ株式会社
引抜成形品の製造方法
1か月前
東レ株式会社
ポリエステルフィルム
12日前
丸住製紙株式会社
変性パルプ
8日前
住友精化株式会社
吸水剤の製造方法
18日前
東レ株式会社
ポリエステルフィルム
3か月前
東ソー株式会社
樹脂組成物および蓋材
26日前
花王株式会社
樹脂組成物
2か月前
横浜ゴム株式会社
重荷重タイヤ
4日前
東ソー株式会社
樹脂組成物および蓋材
26日前
東レ株式会社
ポリプロピレンフィルム
4日前
東レ株式会社
ポリオレフィン微多孔膜
2か月前
愛知電機株式会社
加熱処理設備
3か月前
株式会社スリーボンド
硬化性樹脂組成物
4日前
株式会社コバヤシ
光硬化性組成物
2か月前
UBE株式会社
衝撃吸収材
8日前
日本特殊陶業株式会社
樹脂成形体
18日前
アイカ工業株式会社
光硬化性樹脂組成物
4日前
アイカ工業株式会社
光硬化性樹脂組成物
4か月前
富士フイルム株式会社
組成物
3か月前
株式会社カネカ
硬化性組成物
18日前
株式会社大阪ソーダ
熱可塑性材料用組成物
2か月前
株式会社カネカ
硬化性組成物
1か月前
住友化学株式会社
樹脂組成物
4日前
続きを見る
他の特許を見る