TOP
|
特許
|
意匠
|
商標
特許ウォッチ
Twitter
他の特許を見る
10個以上の画像は省略されています。
公開番号
2025126852
公報種別
公開特許公報(A)
公開日
2025-08-29
出願番号
2024023284
出願日
2024-02-19
発明の名称
単一光子生成装置、及び単一光子生成方法
出願人
NTT株式会社
代理人
弁理士法人ITOH
,
個人
,
個人
,
個人
主分類
H01S
3/00 20060101AFI20250822BHJP(基本的電気素子)
要約
【課題】共振器を用いて単一光子生成を行う際に、生成される単一光子が混合状態になる割合を低くする。
【解決手段】単一光子生成装置は、第1基底準位、第1励起準位、第2基底準位、及び第2励起準位を持つ4準位原子をトラップした共振器を備え、前記第1基底準位と前記第2励起準位との間の遷移と結合している第1レーザー光と、前記第1励起準位と前記第2励起準位との間の遷移と結合している第2レーザー光とを、前記4準位原子に照射することにより、単一光子生成を行うように構成される。
【選択図】図2
特許請求の範囲
【請求項1】
第1基底準位、第1励起準位、第2基底準位、及び第2励起準位を持つ4準位原子をトラップした共振器を備え、
前記第1基底準位と前記第2励起準位との間の遷移と結合している第1レーザー光と、前記第1励起準位と前記第2励起準位との間の遷移と結合している第2レーザー光とを、前記4準位原子に照射することにより、単一光子生成を行うように構成された
単一光子生成装置。
続きを表示(約 430 文字)
【請求項2】
前記4準位原子の状態が、前記第1基底準位から前記第2基底準位に遷移することにより、前記単一光子生成が行われる
請求項1に記載の単一光子生成装置。
【請求項3】
前記第1励起準位と前記第2励起準位との間の遷移と、前記第2レーザー光との間の結合定数を大きくすることにより、混合状態の単一光子が生成される割合を低くするようにした
請求項1又は2に記載の単一光子生成装置。
【請求項4】
第1基底準位、第1励起準位、第2基底準位、及び第2励起準位を持つ4準位原子をトラップした共振器を備える単一光子生成装置における単一光子生成方法であって、
前記第1基底準位と前記第2励起準位との間の遷移と結合している第1レーザー光と、前記第1励起準位と前記第2励起準位との間の遷移と結合している第2レーザー光とを、前記4準位原子に照射することにより、単一光子生成を行う
単一光子生成方法。
発明の詳細な説明
【技術分野】
【0001】
本発明は、単一光子状態の生成(以後単一光子生成と呼ぶ)に関連するものである。
続きを表示(約 1,300 文字)
【背景技術】
【0002】
単一光子生成は、光を利用した量子通信や量子暗号、量子計算において光の量子性を最大限引き出すために不可欠な要素の1つである。単一光子生成を行うための1つの手法として、共振器量子電磁力学(QED: quantum electrodynamics)を利用する方法がある。この方法では、共振器中にトラップされた原子が励起状態から基底状態に遷移するときに単一光子が共振器に放出され、さらに共振器に接続された導波路に光子を取り出すことで、導波路上にコヒーレントな単一光子のパルスを生成できる。
【0003】
共振器を用いて単一光子生成を行う方法の中でも、原子中の3つのエネルギー準位(3準位原子と呼ぶ)を用いる方法は、単一光子のパルス形状を整形することが可能なため、有望な単一光子生成手法として期待されている。この方法は例えば非特許文献1に開示されている。
【先行技術文献】
【非特許文献】
【0004】
G. S. Vasilev, D. Ljunggren, and A. Kuhn, "Single photons made-to-measure", New J. Phys. 12, 063024 (2010).
【発明の概要】
【発明が解決しようとする課題】
【0005】
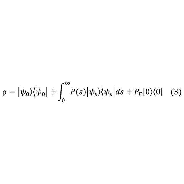
しかし、3準位原子による単一光子生成では、単一光子状態が純粋状態でなく混合状態になってしまい、量子的なコヒーレンスが悪化するという問題がある。
【0006】
本発明は上記の点に鑑みてなされたものであり、共振器を用いて単一光子生成を行う際に、生成される単一光子が混合状態になる割合を低くするための技術を提供することを目的とする。
【課題を解決するための手段】
【0007】
開示の技術によれば、第1基底準位、第1励起準位、第2基底準位、及び第2励起準位を持つ4準位原子をトラップした共振器を備え、
前記第1基底準位と前記第2励起準位との間の遷移と結合している第1レーザー光と、前記第1励起準位と前記第2励起準位との間の遷移と結合している第2レーザー光とを、前記4準位原子に照射することにより、単一光子生成を行うように構成された
単一光子生成装置が提供される。
【発明の効果】
【0008】
開示の技術によれば、共振器を用いて単一光子生成を行う際に、生成される単一光子が混合状態になる割合を低くすることが可能となる。
【図面の簡単な説明】
【0009】
3準位原子を用いた単一光子生成を示す図である。
4準位原子を用いた単一光子生成を示す図である。
量子計算システム300の構成図である。
コンピュータのハードウェア構成例を示す図である。
【発明を実施するための形態】
【0010】
以下、図面を参照して本発明の実施の形態(本実施の形態)を説明する。以下で説明する実施の形態は一例に過ぎず、本発明が適用される実施の形態は、以下の実施の形態に限られるわけではない。
(【0011】以降は省略されています)
この特許をJ-PlatPat(特許庁公式サイト)で参照する
関連特許
NTT株式会社
圧力センサ
25日前
NTT株式会社
光デバイス
1か月前
NTT株式会社
信号送信装置
1か月前
NTT株式会社
光信号処理装置
1か月前
NTT株式会社
復号装置及び復号方法
10日前
NTT株式会社
推定装置及び推定方法
18日前
NTT株式会社
解析装置および解析方法
24日前
NTT株式会社
通信システム、及び通信方法
1か月前
NTT株式会社
音声抽出装置及び音声抽出方法
1か月前
NTT株式会社
情報処理装置、及び情報処理方法
4日前
NTT株式会社
情報処理装置、及び情報処理方法
4日前
NTT株式会社
通信システム、方法及びプログラム
10日前
NTT株式会社
検索装置、検索方法及びプログラム
1か月前
NTT株式会社
秘匿計算システム及び秘匿計算方法
1か月前
NTT株式会社
映像処理装置、方法及びプログラム
14日前
NTT株式会社
秘匿計算システム及び秘匿計算方法
1か月前
NTT株式会社
交通量推定装置及び交通量推定方法
18日前
NTT株式会社
通信システム、方法及びプログラム
10日前
NTT株式会社
光ファイバの群遅延時間測定システム
24日前
NTT株式会社
情報処理装置、方法およびプログラム
1か月前
NTT株式会社
イオン伝送装置、及びイオン伝送方法
1か月前
NTT株式会社
座屈剥離構造の予測装置および予測方法
10日前
NTT株式会社
電子署名システム、方法及びプログラム
10日前
NTT株式会社
量子鍵配送システム及び量子鍵配送方法
5日前
NTT株式会社
データ解析装置、方法およびプログラム
1か月前
NTT株式会社
単一光子生成装置、及び単一光子生成方法
1か月前
NTT株式会社
微生物の土壌中での生存性を調節する方法
5日前
NTT株式会社
周期検出装置、周期検出方法及びプログラム
1か月前
NTT株式会社
測定装置、測定方法、及び、測定プログラム
6日前
NTT株式会社
推論装置、学習装置、推論方法、及びプログラム
24日前
NTT株式会社
推定装置、復元装置、推定方法、およびプログラム
3日前
NTT株式会社
情報処理システム、情報処理装置および情報処理方法
11日前
NTT株式会社
組合せ最適化方法、組合せ最適化装置、及びプログラム
14日前
NTT株式会社
通信品質予測装置、通信品質予測方法、及びプログラム
17日前
NTT株式会社
伝搬グラフ復元装置、伝搬グラフ復元方法、及びプログラム
10日前
NTT株式会社
基地局及び端末
1か月前
続きを見る
他の特許を見る