TOP
|
特許
|
意匠
|
商標
特許ウォッチ
Twitter
他の特許を見る
10個以上の画像は省略されています。
公開番号
2025146106
公報種別
公開特許公報(A)
公開日
2025-10-03
出願番号
2024046712
出願日
2024-03-22
発明の名称
通信システム、方法及びプログラム
出願人
NTT株式会社
,
国立大学法人 東京大学
代理人
弁理士法人ITOH
,
個人
,
個人
,
個人
主分類
G09C
1/00 20060101AFI20250926BHJP(教育;暗号方法;表示;広告;シール)
要約
【課題】データサイズと計算コストを抑えた同種写像に基づく公開鍵暗号を実現すること。
【解決手段】通信システムは、セキュリティパラメータλから決定される整数a'及びb'と、2
2λ
より大きく、かつ、平滑数でない整数d
A
=2
a'
+k・3
b'
及びd
1
=2
a'
-k・3
b'
(kは自然数)と、整数a=2a'、b=2b'、d
2
=3
b
と、素数p=2
a
・3f-1(fは自然数)と、E
0
[2
a
]の生成元P
0
、Q
0
とをシステムパラメータとする同種写像暗号を利用した暗号化通信を実現する通信システムであって、Z/2aZ上のランダムな2×2の正則な対角行列Aを選択し、d
A
とP
0
、Q
0
からRandIsogImagesによりd
A
-同種写像φ
A
:E
0
→E
A
とP
A
=φ
A
(P
0
)とQ
A
=φ
A
(Q
0
)を生成することにより、公開鍵pk=(E
A
,R
A
,S
A
)(ただし、R
A
及びS
A
は、(R
A
,S
A
)
Τ
=A(P
A
,Q
A
)
Τ
を満たす値)と、秘密鍵sk=Aとを生成する鍵生成部、を有する。
【選択図】図8
特許請求の範囲
【請求項1】
セキュリティパラメータλから決定される整数a'及びb'と、2
2λ
より大きく、かつ、平滑数でない整数d
A
=2
a'
+k・3
b'
及びd
1
=2
a'
-k・3
b'
(ただし、kは自然数)と、整数a=2a'、b=2b'、d
2
=3
b
と、素数p=2
a
・3f-1(ただし、fは自然数)と、有限体F
p^2
上の所定の楕円曲線E
0
のねじれ部分群E
0
[2
a
]の生成元P
0
、Q
0
とをシステムパラメータとする同種写像暗号を利用した暗号化通信を実現する通信システムであって、
Z/2aZ上のランダムな2×2の正則な対角行列Aを選択し、d
A
とP
0
、Q
0
からRandIsogImagesアルゴリズムによりランダムなd
A
-同種写像φ
A
:E
0
→E
A
とP
A
=φ
A
(P
0
)とQ
A
=φ
A
(Q
0
)を生成することにより、前記暗号化通信の暗号化に用いられる公開鍵pk=(E
A
,R
A
,S
A
)(ただし、R
A
及びS
A
は、(R
A
,S
A
)
Τ
=A(P
A
,Q
A
)
Τ
を満たす値)と、前記公開鍵pkにより暗号化された暗号文の復号に用いられる秘密鍵sk=Aとを生成する鍵生成部、
を有する通信システム。
続きを表示(約 4,300 文字)
【請求項2】
平文mと、前記公開鍵pk=(E
A
,R
A
,S
A
)とに基づいて、s
B
=2m+1∈(Z/2
a
Z)
*
を選択し、d
1
とP
0
、Q
0
から前記RandIsogImagesアルゴリズムによりランダムなd
1
-同種写像φ
1
:E
0
→E
1
とP
1
=φ
1
(P
0
)とQ
1
=φ
1
(Q
0
)を生成し、ランダムなd
2
-同種写像φ
2
:E
A
→E
2
を選択することにより、暗号文ct=(E
1
,R
1
,S
1
,E
2
,R
2
,S
2
)(ただし、R
1
及びS
1
は(R
1
,S
1
)
Τ
=B(P
1
,Q
1
)
Τ
を満たす値、R
2
及びS
2
は(R
2
,S
2
)
Τ
=B(φ
2
(R
A
),φ
2
(S
A
))
Τ
を満たす値、Bは2×2の正則な対角行列B=diag(s
B
,s
B
-1
))を生成する暗号化部、
【請求項3】
前記秘密鍵sk=Aと、前記暗号文ct=(E
1
,R
1
,S
1
,E
2
,R
2
,S
2
)とに基づいて、SIDH攻撃を実行するアルゴリズムであるAtk
N_1,N_2
(E
1
,E
2
,R
1
,S
1
,R
2
',S
2
')(ただし、R
2
'及びS
2
'は(R
2
',S
2
')
Τ
=kd
1
A
-1
(R
2
,S
2
)
Τ
を満たす値、N
1
=d
A
d
1
、N
2
=k
2
d
2
)により(ψ
1
,ψ
2
,E
A
')を生成し、B=diag(s
B
,s
B
-1
)かつk(R
2
,S
2
)
Τ
=B(ψ
2
(R
A
),ψ
2
(S
A
))
Τ
となる2×2の正則な対角行列Bを求め、平文m=(s
B
-1)/2(ただし、s
B
=min{s
B
,2
a
-s
B
})を生成する復号部、
を有する請求項2に記載の通信システム。
【請求項4】
前記RandIsogImagesアルゴリズムは、次数Dと、前記楕円曲線E
0
上の任意の有限個の点の集合Xとを入力として、次数Dの同種写像τ:E
0
→E
A
と、前記同種写像τに関する前記集合Xの像τ(X)とを出力するアルゴリズムである、請求項1乃至3の何れか一項に記載の通信システム。
【請求項5】
セキュリティパラメータλから決定される整数a'及びb'と、2
2λ
より大きく、かつ、平滑数でない整数d
A
=2
a'
+k・3
b'
及びd
1
=2
a'
-k・3
b'
(ただし、kは自然数)と、整数a=2a'、b=2b'、d
2
=3
b
と、素数p=2
a
・3f-1(ただし、fは自然数)と、有限体F
p^2
上の所定の楕円曲線E
0
のねじれ部分群E
0
[2
a
]の生成元P
0
、Q
0
とをシステムパラメータとする同種写像暗号を利用した暗号化通信を実現する通信システムに用いられる方法であって、
前記暗号化通信の受信者となる第1の装置が、
Z/2aZ上のランダムな2×2の正則な対角行列Aを選択し、d
A
とP
0
、Q
0
からRandIsogImagesアルゴリズムによりランダムなd
A
-同種写像φ
A
:E
0
→E
A
とP
A
=φ
A
(P
0
)とQ
A
=φ
A
(Q
0
)を生成することにより、前記暗号化通信の暗号化に用いられる公開鍵pk=(E
A
,R
A
,S
A
)(ただし、R
A
及びS
A
は、(R
A
,S
A
)
Τ
=A(P
A
,Q
A
)
Τ
を満たす値)と、前記公開鍵pkにより暗号化された暗号文の復号に用いられる秘密鍵sk=Aとを生成する鍵生成手順、
を実行する方法。
【請求項6】
前記暗号化通信の送信者となる第2の装置が、
平文mと、前記公開鍵pk=(E
A
,R
A
,S
A
)とに基づいて、s
B
=2m+1∈(Z/2
a
Z)
*
を選択し、d
1
とP
0
、Q
0
から前記RandIsogImagesアルゴリズムによりランダムなd
1
-同種写像φ
1
:E
0
→E
1
とP
1
=φ
1
(P
0
)とQ
1
=φ
1
(Q
0
)を生成し、ランダムなd
2
-同種写像φ
2
:E
A
→E
2
を選択することにより、暗号文ct=(E
1
,R
1
,S
1
,E
2
,R
2
,S
2
)(ただし、R
1
及びS
1
は(R
1
,S
1
)
Τ
=B(P
1
,Q
1
)
Τ
を満たす値、R
2
及びS
2
は(R
2
,S
2
)
Τ
=B(φ
2
(R
A
),φ
2
(S
A
))
Τ
を満たす値、Bは2×2の正則な対角行列B=diag(s
B
,s
B
【請求項7】
前記第1の装置が、
前記秘密鍵sk=Aと、前記暗号文ct=(E
1
,R
1
,S
1
,E
2
,R
2
,S
2
)とに基づいて、SIDH攻撃を実行するアルゴリズムであるAtk
N_1,N_2
(E
1
,E
2
,R
1
,S
1
,R
2
',S
2
')(ただし、R
2
'及びS
2
'は(R
2
',S
2
')
Τ
=kd
1
A
-1
(R
2
,S
2
)
Τ
を満たす値、N
1
=d
A
d
1
、N
2
=k
2
d
2
)により(ψ
1
,ψ
2
,E
A
')を生成し、B=diag(s
B
,s
B
-1
)かつk(R
2
,S
2
)
Τ
=B(ψ
2
(R
A
),ψ
2
(S
A
))
Τ
となる2×2の正則な対角行列Bを求め、平文m=(s
B
-1)/2(ただし、s
B
=min{s
B
,2
a
-s
B
})を生成する復号手順、
を実行する請求項6に記載の方法。
【請求項8】
コンピュータに、請求項5乃至7の何れか一項に記載の方法を実行させるプログラム。
発明の詳細な説明
【技術分野】
【0001】
本開示は、通信システム、方法及びプログラムに関する。
続きを表示(約 2,200 文字)
【背景技術】
【0002】
耐量子性を持つと考えられる暗号方式は耐量子計算機暗号等と呼ばれる。耐量子計算機暗号の候補の一つとして、同種写像暗号が知られている。同種写像に基づく公開鍵暗号方式の中でも代表的なものとしては、SIDH、SIKE、CSIDH等がある。しかしながら、SIDHとSIKEの安全性を破る攻撃手法が発見されたことにより、これらの方式はもはや安全ではなくなった。
【0003】
SIDHとSIKEの安全性を破る攻撃手法(以下、SIDH攻撃と呼ぶ。)の発見後、SIDH攻撃に耐性を持つFESTAと呼ばれる新たな暗号方式が提案された(非特許文献1)。FESTAは復号にSIDH攻撃を用いた公開鍵暗号方式であり、SIDH攻撃に耐性を持たせている。
【先行技術文献】
【非特許文献】
【0004】
Andrea Basso, Luciano Maino, and Giacomo Pope. "FESTA: Fast Encryption from Supersingular Torsion Attacks." Cryptology ePrint Archive, 2023. https://eprint.iacr.org/2023/660
【発明の概要】
【発明が解決しようとする課題】
【0005】
しかしながら、FESTAはSIDH攻撃への耐性が予想される一方で、公開鍵や暗号文といったデータのサイズがSIDHと比較してかなり大きい上、暗号化や復号に要する計算時間も大きいという課題がある。
【0006】
本開示は、上記の点に鑑みてなされたもので、データサイズと計算コストを抑えた同種写像に基づく公開鍵暗号を実現することを目的とする。
【課題を解決するための手段】
【0007】
本開示の一態様による通信システムは、セキュリティパラメータλから決定される整数a'及びb'と、2
2λ
より大きく、かつ、平滑数でない整数d
A
=2
a'
+k・3
b'
及びd
1
=2
a'
-k・3
b'
(ただし、kは自然数)と、整数a=2a'、b=2b'、d
2
=3
b
と、素数p=2
a
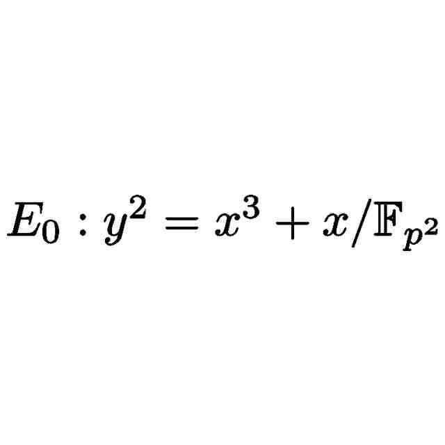
・3f-1(ただし、fは自然数)と、有限体F
p^2
上の所定の楕円曲線E
0
のねじれ部分群E
0
[2
a
]の生成元P
0
、Q
0
とをシステムパラメータとする同種写像暗号を利用した暗号化通信を実現する通信システムであって、Z/2aZ上のランダムな2×2の正則な対角行列Aを選択し、d
A
とP
0
、Q
0
からRandIsogImagesアルゴリズムによりランダムなd
A
-同種写像φ
A
:E
0
→E
A
とP
A
=φ
A
(P
0
)とQ
A
=φ
A
(Q
0
)を生成することにより、前記暗号化通信の暗号化に用いられる公開鍵pk=(E
A
,R
A
,S
A
)(ただし、R
A
及びS
A
は、(R
A
,S
A
)
Τ
=A(P
A
,Q
A
)
Τ
を満たす値)と、前記公開鍵pkにより暗号化された暗号文の復号に用いられる秘密鍵sk=Aとを生成する鍵生成部、を有する。
【発明の効果】
【0008】
データサイズと計算コストを抑えた同種写像に基づく公開鍵暗号を実現することができる。
【図面の簡単な説明】
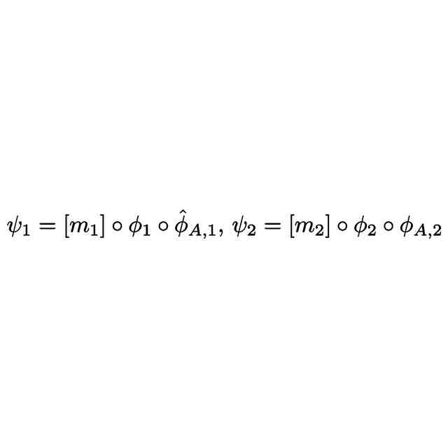
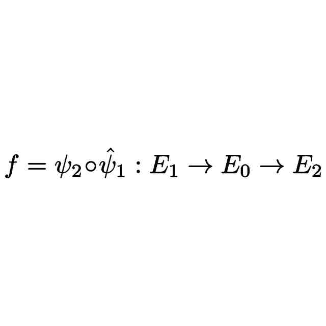
【0009】
同種写像の可換図式の一例を示す図である。
FESTAにおける楕円曲線と同種写像との関係の一例を示す図である。
FullRepIntで得られた自己準同型とSIDH攻撃で得られた同種写像との関係の一例を示す図である。
提案手法における楕円曲線と同種写像との関係の一例を示す図である。
本実施形態に係る暗号化通信システムの全体構成の一例を示す図である。
本実施形態に係る受信者装置の機能構成の一例を示す図である。
本実施形態に係る送信者装置の機能構成の一例を示す図である。
本実施形態に係る暗号化通信処理の一例を示すシーケンス図である。
コンピュータのハードウェア構成の一例を示す図である。
【発明を実施するための形態】
【0010】
以下、本発明の一実施形態について、図面を参照しながら詳細に説明する。
(【0011】以降は省略されています)
この特許をJ-PlatPat(特許庁公式サイト)で参照する
関連特許
NTT株式会社
復号装置及び復号方法
13日前
NTT株式会社
情報処理装置、及び情報処理方法
7日前
NTT株式会社
情報処理装置、及び情報処理方法
7日前
NTT株式会社
通信システム、方法及びプログラム
13日前
NTT株式会社
通信システム、方法及びプログラム
13日前
NTT株式会社
量子鍵配送システム及び量子鍵配送方法
8日前
NTT株式会社
電子署名システム、方法及びプログラム
13日前
NTT株式会社
座屈剥離構造の予測装置および予測方法
13日前
NTT株式会社
微生物の土壌中での生存性を調節する方法
8日前
NTT株式会社
測定装置、測定方法、及び、測定プログラム
9日前
NTT株式会社
推定装置、復元装置、推定方法、およびプログラム
6日前
NTT株式会社
情報処理システム、情報処理装置および情報処理方法
14日前
NTT株式会社
組合せ最適化方法、組合せ最適化装置、及びプログラム
17日前
NTT株式会社
伝搬グラフ復元装置、伝搬グラフ復元方法、及びプログラム
13日前
NTT株式会社
文生成装置、文生成学習装置、文生成方法、文生成学習方法及びプログラム
1日前
個人
回転式カード学習具
1か月前
個人
時刻表示機能つき手帳
2か月前
日本精機株式会社
表示装置
1か月前
日本精機株式会社
表示装置
21日前
個人
計算用教具
17日前
中国電力株式会社
標示旗
27日前
日本精機株式会社
車両用表示装置
2か月前
日本精機株式会社
車両用表示装置
2か月前
日本精機株式会社
車両用表示装置
2か月前
日本精機株式会社
車両用センサ装置
17日前
個人
モデルで薔薇の花嫁様を描く為
1か月前
個人
微細構造を模した理科学習教材
今日
トヨタ自動車株式会社
評価方法
2か月前
シャープ株式会社
表示装置
28日前
株式会社一弘社
情報表示板
1か月前
株式会社ウメラボ
学習支援システム
7日前
株式会社ウメラボ
学習支援システム
13日前
個人
音楽教材
1か月前
ニチレイマグネット株式会社
磁着式電飾装置
27日前
株式会社半導体エネルギー研究所
半導体装置
2か月前
リンテック株式会社
表示体
6日前
続きを見る
他の特許を見る