TOP
|
特許
|
意匠
|
商標
特許ウォッチ
Twitter
他の特許を見る
10個以上の画像は省略されています。
公開番号
2025146115
公報種別
公開特許公報(A)
公開日
2025-10-03
出願番号
2024046726
出願日
2024-03-22
発明の名称
電子署名システム、方法及びプログラム
出願人
NTT株式会社
,
国立大学法人 東京大学
代理人
弁理士法人ITOH
,
個人
,
個人
,
個人
主分類
G09C
1/00 20060101AFI20250926BHJP(教育;暗号方法;表示;広告;シール)
要約
【課題】データサイズと計算コストとを抑えた同種写像に基づく電子署名を実現すること。
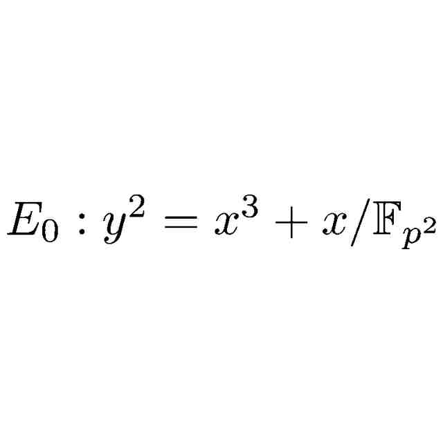
【解決手段】電子署名システムは、セキュリティパラメータλから決定される整数a及びbと、素数p=2
a
3
b
f-1(ただし、fは整数)と、有限体F
p^2
上の所定の楕円曲線E
0
と、前記楕円曲線E
0
に対応する極大整環O
0
とをシステムパラメータとする同種写像暗号を利用した電子署名を実現する電子署名システムであって、前記楕円曲線E
0
の2
a
3
b
のねじれ部分群E
0
[2
a
3
b
]の基底P
0
,Q
0
を選択し、前記素数pに応じた素数Nをランダムに選択し、ランダムなN-同種写像τ:E
0
→E
A
の点像τ(P
0
),τ(Q
0
)及び値域E
A
と、前記同種写像τに対応するイデアルI
τ
とを求めることにより、電子署名を作成するための秘密鍵sk=(τ,τ(P
0
),τ(Q
0
),I
τ
,N)と、前記電子署名を検証するための検証鍵vk=E
A
とを生成する鍵生成部、を有する。
【選択図】図4
特許請求の範囲
【請求項1】
セキュリティパラメータλから決定される整数a及びbと、素数p=2
a
3
b
f-1(ただし、fは整数)と、有限体F
p^2
上の所定の楕円曲線E
0
と、前記楕円曲線E
0
に対応する極大整環O
0
とをシステムパラメータとする同種写像暗号を利用した電子署名を実現する電子署名システムであって、
前記楕円曲線E
0
の2
a
3
b
のねじれ部分群E
0
[2
a
3
b
]の基底P
0
,Q
0
を選択し、前記素数pに応じた素数Nをランダムに選択し、ランダムなN-同種写像τ:E
0
→E
A
の点像τ(P
0
),τ(Q
0
)及び値域E
A
と、前記同種写像τに対応するイデアルI
τ
とを求めることにより、電子署名を作成するための秘密鍵sk=(τ,τ(P
0
),τ(Q
0
),I
τ
,N)と、前記電子署名を検証するための検証鍵vk=E
A
とを生成する鍵生成部、
を有する電子署名システム。
続きを表示(約 2,600 文字)
【請求項2】
ランダムな3
2b
-同種写像ψ:E
0
→E
1
に対応するイデアルI
ψ
と、ハッシュ値H(m,j(E
1
))(ただし、mは電子文書、j(E
1
)は楕円曲線E
1
のj-不変量)から一意に定まる3
b
-同種写像φ:E
1
→E
2
に対応するイデアルI
φ
とを求め、前記イデアルI
τ
の共役と前記イデアルI
ψ
と前記イデアルI
φ
との積を表すイデアルIと同値なイデアルJをランダムに選択し、前記イデアルJに対応する同種写像σ:E
A
→E
2
と、楕円曲線E
2
の2
a
のねじれ部分群E
2
[2
a
]の基底P,Qとを選択し、ランダムな2
a
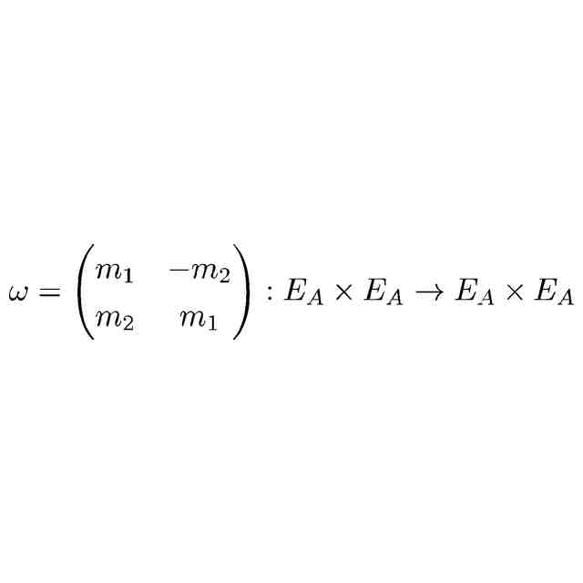
-q(ただし、q=degσ)次の同種写像ωの点像ω(^σ(P)),ω(^σ(Q))(ただし、^σは同種写像σの双対同種写像)及び値域Fを求めることにより、署名sig=(q,ω(^σ(P)),ω(^σ(Q)),F,E
1
)を作成する署名作成部、
を有する請求項1に記載の電子署名システム。
【請求項3】
前記同種写像ωの点像ω(^σ(P)),ω(^σ(Q))から2次元の同種写像計算によりq-同種写像σを求め、前記同種写像σがE
A
からE
2
への同種写像であるか否かを確認することにより、前記同種写像σがE
A
からE
2
への同種写像である場合は検証成功、前記同種写像σがE
A
からE
2
への同種写像でない場合は検証失敗を示す情報を出力する署名検証部、
を有する請求項2に記載の電子署名システム。
【請求項4】
前記署名作成部は、
RandIsogImagesを一般化したアルゴリズムにより、前記同種写像ωの点像ω(^σ(P)),ω(^σ(Q))及び値域Fを求める、請求項2又は3に記載の電子署名システム。
【請求項5】
セキュリティパラメータλから決定される整数a及びbと、素数p=2
a
3
b
f-1(ただし、fは整数)と、有限体F
p^2
上の所定の楕円曲線E
0
と、前記楕円曲線E
0
に対応する極大整環O
0
とをシステムパラメータとする同種写像暗号を利用した電子署名を実現する電子署名システムに用いられる方法であって、
前記電子署名の作成者となる第1の装置が、
前記楕円曲線E
0
の2
a
3
b
のねじれ部分群E
0
[2
a
3
b
]の基底P
0
,Q
0
を選択し、前記素数pに応じた素数Nをランダムに選択し、ランダムなN-同種写像τ:E
0
→E
A
の点像τ(P
0
),τ(Q
0
)及び値域E
A
と、前記同種写像τに対応するイデアルI
τ
とを求めることにより、電子署名を作成するための秘密鍵sk=(τ,τ(P
0
),τ(Q
0
),I
τ
,N)と、前記電子署名を検証するための検証鍵vk=E
A
とを生成する鍵生成手順、
を実行する方法。
【請求項6】
前記電子署名の検証者となる第2の装置が、
ランダムな3
2b
-同種写像ψ:E
0
→E
1
に対応するイデアルI
ψ
と、ハッシュ値H(m,j(E
1
))(ただし、mは電子文書、j(E
1
)は楕円曲線E
1
のj-不変量)から一意に定まる3
b
-同種写像φ:E
1
→E
2
に対応するイデアルI
φ
とを求め、前記イデアルI
τ
の共役と前記イデアルI
ψ
と前記イデアルI
φ
との積を表すイデアルIと同値なイデアルJをランダムに選択し、前記イデアルJに対応する同種写像σ:E
A
→E
2
と、楕円曲線E
2
の2
a
のねじれ部分群E
2
[2
a
]の基底P,Qとを選択し、ランダムな2
a
-q(ただし、q=degσ)次の同種写像ωの点像ω(^σ(P)),ω(^σ(Q))(ただし、^σは同種写像σの双対同種写像)及び値域Fを求めることにより、署名sig=(q,ω(^σ(P)),ω(^σ(Q)),F,E
1
)を作成する署名作成手順、
を実行する請求項5に記載の方法。
【請求項7】
前記第1の装置が、
前記同種写像ωの点像ω(^σ(P)),ω(^σ(Q))から2次元の同種写像計算によりq-同種写像σを求め、前記同種写像σがE
A
からE
2
への同種写像であるか否かを確認することにより、前記同種写像σがE
A
からE
2
への同種写像である場合は検証成功、前記同種写像σがE
A
からE
2
への同種写像でない場合は検証失敗を示す情報を出力する署名検証部、
を実行する請求項6に記載の方法。
【請求項8】
コンピュータに、請求項5乃至7の何れか一項に記載の方法を実行させるプログラム。
発明の詳細な説明
【技術分野】
【0001】
本開示は、電子署名システム、方法及びプログラムに関する。
続きを表示(約 1,700 文字)
【背景技術】
【0002】
耐量子性を持つと考えられる暗号方式は耐量子計算機暗号等と呼ばれる。耐量子計算機暗号の候補の一つとして、同種写像暗号が知られている。同種写像に基づく電子署名の中でも代表的なものとしては、SeaSign、SQISign等がある。特に、SQISignは、秘密鍵、検証鍵、署名のデータサイズがいずれも他の方式と比べて小さいため注目されている。
【0003】
また、近年、SIDHへの攻撃で用いられた高次元の同種写像を利用した新たな方式が多数提案されている。その中でもSQIsignHD(非特許文献1)は、SQIsignよりも更に短い署名長を持つことで注目されている。
【先行技術文献】
【非特許文献】
【0004】
Pierrick Dartois, Antonin Leroux, Damien Robert, BenjaminWesolowski. "SQIsignHD: New Dimensions in Cryptography." Cryptology ePrint Archive. https://eprint.iacr.org/2023/436. (2023).
【発明の概要】
【発明が解決しようとする課題】
【0005】
しかしながら、SQIsignHDはデータサイズが小さい一方で、署名検証の際に4次元の同種写像を計算する必要があるため、多くの計算時間を要するという課題がある。
【0006】
本開示は、上記の点に鑑みてなされたもので、データサイズと計算コストとを抑えた同種写像に基づく電子署名を実現することを目的とする。
【課題を解決するための手段】
【0007】
本開示の一態様による電子署名システムは、セキュリティパラメータλから決定される整数a及びbと、素数p=2
a
3
b
f-1(ただし、fは整数)と、有限体F
p^2
上の所定の楕円曲線E
0
と、前記楕円曲線E
0
に対応する極大整環O
0
とをシステムパラメータとする同種写像暗号を利用した電子署名を実現する電子署名システムであって、前記楕円曲線E
0
の2
a
3
b
のねじれ部分群E
0
[2
a
3
b
]の基底P
0
,Q
0
を選択し、前記素数pに応じた素数Nをランダムに選択し、ランダムなN-同種写像τ:E
0
→E
A
の点像τ(P
0
),τ(Q
0
)及び値域E
A
と、前記同種写像τに対応するイデアルI
τ
とを求めることにより、電子署名を作成するための秘密鍵sk=(τ,τ(P
0
),τ(Q
0
),I
τ
,N)と、前記電子署名を検証するための検証鍵vk=E
A
とを生成する鍵生成部、を有する。
【発明の効果】
【0008】
データサイズと計算コストとを抑えた同種写像に基づく電子署名を実現することができる。
【図面の簡単な説明】
【0009】
本実施形態に係る電子署名システムの全体構成の一例を示す図である。
本実施形態に係る署名者装置の機能構成の一例を示す図である。
本実施形態に係る検証者装置の機能構成の一例を示す図である。
本実施形態に係る署名作成・検証処理の一例を示すシーケンス図である。
コンピュータのハードウェア構成の一例を示す図である。
【発明を実施するための形態】
【0010】
以下、本発明の一実施形態について、図面を参照しながら詳細に説明する。
(【0011】以降は省略されています)
この特許をJ-PlatPat(特許庁公式サイト)で参照する
関連特許
NTT株式会社
光デバイス
22日前
NTT株式会社
圧力センサ
15日前
NTT株式会社
信号送信装置
23日前
NTT株式会社
光信号処理装置
24日前
NTT株式会社
推定装置及び推定方法
8日前
NTT株式会社
復号装置及び復号方法
今日
NTT株式会社
解析装置および解析方法
14日前
NTT株式会社
量子計算装置、及び制御装置
1か月前
NTT株式会社
通信システム、及び通信方法
1か月前
NTT株式会社
光増幅器及び光増幅器監視方法
1か月前
NTT株式会社
音声抽出装置及び音声抽出方法
1か月前
NTT株式会社
秘匿計算システム及び秘匿計算方法
22日前
NTT株式会社
交通量推定装置及び交通量推定方法
8日前
NTT株式会社
無線通信方法及び無線通信システム
1か月前
NTT株式会社
通信システム、方法及びプログラム
今日
NTT株式会社
検索装置、検索方法及びプログラム
22日前
NTT株式会社
通信システム、方法及びプログラム
今日
NTT株式会社
秘匿計算システム及び秘匿計算方法
22日前
NTT株式会社
映像処理装置、方法及びプログラム
4日前
NTT株式会社
情報処理装置、方法およびプログラム
22日前
NTT株式会社
イオン伝送装置、及びイオン伝送方法
24日前
NTT株式会社
光ファイバの群遅延時間測定システム
14日前
NTT株式会社
推論装置、推論方法、及びプログラム
1か月前
NTT株式会社
データ解析装置、方法およびプログラム
22日前
NTT株式会社
座屈剥離構造の予測装置および予測方法
今日
NTT株式会社
電子署名システム、方法及びプログラム
今日
NTT株式会社
単一光子生成装置、及び単一光子生成方法
1か月前
NTT株式会社
生成システム、生成装置、および生成方法
1か月前
NTT株式会社
情報処理装置、情報処理方法及びプログラム
1か月前
NTT株式会社
周期検出装置、周期検出方法及びプログラム
1か月前
NTT株式会社
情報処理装置、情報処理方法及びプログラム
1か月前
NTT株式会社
通信制御システム、通信制御方法及びプログラム
1か月前
NTT株式会社
推論装置、学習装置、推論方法、及びプログラム
14日前
NTT株式会社
修辞構造解析装置、修辞構造解析方法及びプログラム
1か月前
NTT株式会社
情報処理システム、情報処理装置および情報処理方法
1日前
NTT株式会社
画像処理装置、画像処理方法及び画像処理プログラム
1か月前
続きを見る
他の特許を見る