TOP
|
特許
|
意匠
|
商標
特許ウォッチ
Twitter
他の特許を見る
10個以上の画像は省略されています。
公開番号
2025135985
公報種別
公開特許公報(A)
公開日
2025-09-19
出願番号
2024034105
出願日
2024-03-06
発明の名称
多層基板
出願人
古河電気工業株式会社
,
古河AS株式会社
代理人
アインゼル・フェリックス=ラインハルト
,
個人
,
個人
主分類
H05K
1/02 20060101AFI20250911BHJP(他に分類されない電気技術)
要約
【課題】基板のサイズの増大やレイアウトの制約を抑えつつ、電源ICで生じるノイズの電源ラインへの伝搬やEMI放射を抑制することが可能な多層基板を提供する。
【解決手段】上記課題は、電源IC(10)に接続された電源ライン(20)を有する多層基板(1、2、3、4)であって、電源ライン(20)は、電源IC(10)の動作周波数の基本波を遮断するように構成された帯域フィルタ(12)と、電源IC(10)の動作周波数の高調波を遮断するように構成されたオープンスタブ(26)または分岐配線(27)とを有し、オープンスタブ(26)または分岐配線(27)は、第1のビア(14~18)と、多層基板(1、2、3、4)の内層に設けられた配線(28、29)とを有することを特徴とする多層基板(1、2、3、4)により解決することができる。
【選択図】図1
特許請求の範囲
【請求項1】
電源ICに接続された電源ラインを有する多層基板であって、
前記電源ラインは、
前記電源ICの動作周波数の基本波を遮断するように構成された帯域フィルタと、
前記電源ICの動作周波数の高調波を遮断するように構成されたオープンスタブまたは分岐配線と、
を有し、
前記オープンスタブまたは分岐配線は、第1のビアと、前記多層基板の内層に設けられた配線とを有する
ことを特徴とする多層基板。
続きを表示(約 740 文字)
【請求項2】
前記オープンスタブは、前記電源ICの動作周波数の高調波の波長λの1/4の電気長を有することを特徴とする請求項1に記載の多層基板。
【請求項3】
前記分岐配線は、前記電源ICの動作周波数の高調波の波長λの1/2の電気長を有することを特徴とする請求項1に記載の多層基板。
【請求項4】
前記オープンスタブまたは分岐配線が設けられる層の上層および下層のうちの少なくとも一方は、グランドと接続されていることを特徴とする請求項1に記載の多層基板。
【請求項5】
前記第1のビアの周囲に配置され、グランドと接続されている第2のビアをさらに有することを特徴とする請求項1に記載の多層基板。
【請求項6】
複数の前記第2のビアを有し、
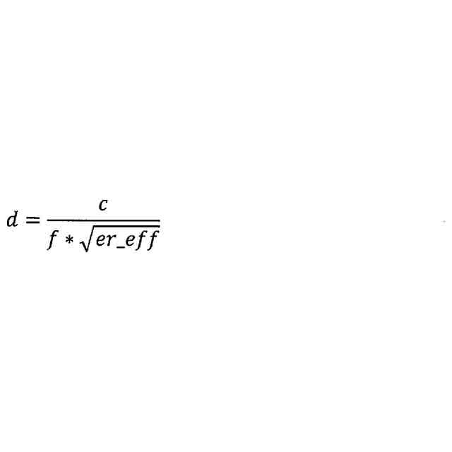
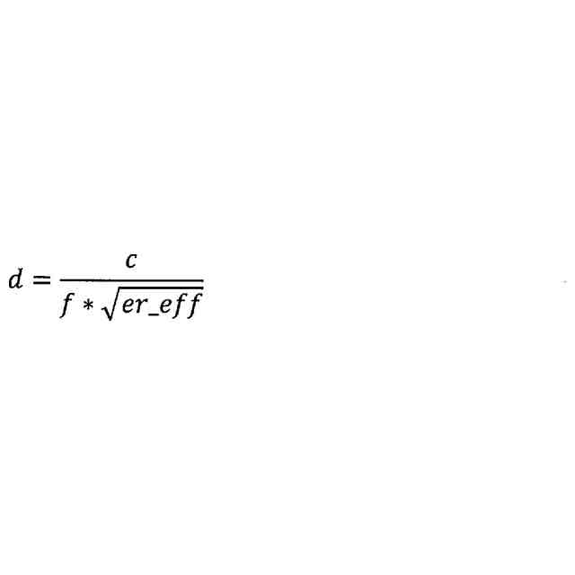
隣り合う前記第2のビアの間の距離dは、
TIFF
2025135985000004.tif
17
169
であり、ここでcは光速であり、fは前記電源ICの動作周波数の高調波の周波数であり、er_effは、前記多層基板の絶縁層の比誘電率である
ことを特徴とする請求項5に記載の多層基板。
【請求項7】
前記オープンスタブまたは分岐配線が、複数の第1のビアを有することを特徴とする請求項1に記載の多層基板。
【請求項8】
前記帯域フィルタが、LRCフィルタを有することを特徴とする請求項1に記載の多層基板。
【請求項9】
前記帯域フィルタが、第3のビアと前記多層基板の内層に設けられた配線とを有するオープンスタブまたは分岐配線を有することを特徴とする請求項1に記載の多層基板。
発明の詳細な説明
【技術分野】
【0001】
本発明は、多層基板に関し、特に電源ICに接続された電源ラインを有する多層基板に関する。
続きを表示(約 1,600 文字)
【背景技術】
【0002】
近年、電子回路の高速化や小型化に伴い、電子機器の内部で発生する電磁ノイズの影響が課題となっている。特に、プリント基板に実装された電源ICがスイッチングする際に、電源プレーンに流れ込むノイズが、電源プレーンとグランドプレーン間の平行平板共振によって放射されることで、他の電子機器に誤動作や受信妨害といった悪影響が及ぼされる。この対策として、デカップリングコンデンサを電源端子と電源プレーン間に配置する技術があるが、部品点数の増加によるコストの増加や、基板サイズの増大、高周波ノイズを遮断しきれないといった問題があった。
【先行技術文献】
【特許文献】
【0003】
特開2004-140210号公報
特開2011-35222号公報
特開2014-204297号公報
特開2008-113402号公報
【発明の概要】
【発明が解決しようとする課題】
【0004】
このような問題に対して、特許文献1~4に記載されているような技術、すなわちオープンスタブでノイズ成分を逆相で打ち消すことにより、部品点数を増加させることなく、ノイズを低減する技術がある。しかしながら、オープンスタブを電源ラインと同一面内において、垂直方向に設置するために面積が必要となり、基板のサイズの増大やレイアウトの制約が生じるといった課題があった。さらに、ノイズ経路が基板の表層で広がることで、ノイズ伝搬が増大し、EMI放射しやすくなるという課題も生じてしまう。
【0005】
本発明は、基板のサイズの増大やレイアウトの制約を抑えつつ、電源ICで生じるノイズの電源ラインへの伝搬やEMI放射を抑制することが可能な多層基板を提供することを目的とする。
【課題を解決するための手段】
【0006】
上記課題は、電源ICに接続された電源ラインを有する多層基板であって、電源ラインは、電源ICの動作周波数の基本波を遮断するように構成された帯域フィルタと、電源ICの動作周波数の高調波を遮断するように構成されたオープンスタブまたは分岐配線とを有し、オープンスタブまたは分岐配線は、第1のビアと、多層基板の内層に設けられた配線とを有することを特徴とする多層基板により解決することができる。
【0007】
すなわち、帯域フィルタと、オープンスタブまたは分岐配線とにより、電源ICの動作周波数の基本波および高調波に起因するノイズが、電源ラインを伝搬することを抑制することが可能となる。また、オープンスタブまたは分岐配線をビアと内層配線とで構成することにより、基板のサイズの増大やレイアウトの制約を抑制し、さらに基板表層でのノイズの広がりを抑制してEMI放射を抑制することが可能となる。
【0008】
オープンスタブは、電源ICの動作周波数の高調波の波長λの1/4の電気長を有することが、また分岐配線は、電源ICの動作周波数の高調波の波長λの1/2の電気長を有することが望ましい。かかる構成により、上述した電気長のオープンスタブや分岐配線により、電源ラインを伝搬するノイズを逆相の波で打ち消すことが可能となる。
【0009】
また、オープンスタブまたは分岐配線が設けられる層の上層および下層のうちの少なくとも一方は、グランドと接続されていることが望ましい。グランドに接続された上層や下層のシールド効果により、ノイズ伝搬を抑制することが可能となる。
【0010】
また、第1のビアの周囲に配置され、グランドと接続されている第2のビアをさらに有することが望ましい。これにより、オープンスタブや分岐配線で打ち消されなかったノイズがビアで放射することを抑制することが可能となる。
(【0011】以降は省略されています)
この特許をJ-PlatPat(特許庁公式サイト)で参照する
関連特許
古河電気工業株式会社
回路基板
1日前
古河電気工業株式会社
排水構造
4日前
古河電気工業株式会社
回路基板
4日前
古河電気工業株式会社
回路基板
1日前
古河電気工業株式会社
多層基板
18日前
古河電気工業株式会社
固定構造体
5日前
古河電気工業株式会社
電気接続箱
4日前
古河電気工業株式会社
グロメット
29日前
古河電気工業株式会社
グロメット
29日前
古河電気工業株式会社
電気接続箱
20日前
古河電気工業株式会社
超電導モータ
1か月前
古河電気工業株式会社
電源システム
20日前
古河電気工業株式会社
複合ケーブル
1か月前
古河電気工業株式会社
複合ケーブル
4日前
古河電気工業株式会社
通信用ケーブル
18日前
古河電気工業株式会社
通信用ケーブル
8日前
古河電気工業株式会社
架橋樹脂発泡体
8日前
古河電気工業株式会社
マルチコアファイバ
26日前
古河電気工業株式会社
バッテリーポスト端子組立体
4日前
古河電気工業株式会社
銅系導体、撚線導体および電線
27日前
古河電気工業株式会社
端子カバー構造及び電気接続箱
5日前
古河電池株式会社
双極型蓄電池
12日前
古河電気工業株式会社
筐体、プロテクタ及び電気接続箱
27日前
古河電気工業株式会社
検出装置、検出方法及びプログラム
5日前
個人
RoFネットワークシステム
19日前
個人
光ファイバおよび光通信システム
26日前
株式会社古河テクノマテリアル
耐火構造
29日前
古河電気工業株式会社
固定部材及び固定部材付ワイヤーハーネス
26日前
古河電気工業株式会社
プログラム、無線通信システム及び通信方法
8日前
古河電気工業株式会社
光半導体素子、および光半導体素子の製造方法
1か月前
古河電気工業株式会社
センサユニット、電力ケーブル及び測定システム
5日前
古河電気工業株式会社
波長可変レーザ装置及び波長可変レーザ装置の制御方法
28日前
古河電気工業株式会社
マルチコアファイバおよびマルチコアファイバの製造方法
4日前
古河電気工業株式会社
シールド電線の端末構造、端子付き電線およびコネクタ付き電線
27日前
古河電気工業株式会社
シールド電線の端末構造、端子付き電線およびコネクタ付き電線
27日前
古河電気工業株式会社
シールド電線の端末構造、端子付き電線およびコネクタ付き電線
27日前
続きを見る
他の特許を見る