TOP
|
特許
|
意匠
|
商標
特許ウォッチ
Twitter
他の特許を見る
10個以上の画像は省略されています。
公開番号
2025136309
公報種別
公開特許公報(A)
公開日
2025-09-19
出願番号
2024034779
出願日
2024-03-07
発明の名称
電力監視システムおよび電力監視方法
出願人
株式会社日立製作所
代理人
弁理士法人信友国際特許事務所
主分類
G01R
22/06 20060101AFI20250911BHJP(測定;試験)
要約
【課題】複数個所の電力計測・監視のためのデバイス設置にかかる停電時間の短縮などを図る。
【解決手段】第1の電圧センサ10および第1の電流センサ11と、各センサの出力を得る第1の電力検出ユニット100と、第2の電流センサ12と、第2の電流センサ12の出力を入力し、第1の電力検出ユニット100と時刻情報を同期して作動する第2の電力検出ユニット200と、各電力検出ユニット100、200の出力から第2の電力検出ユニット200の設置地点における電圧を推定する電圧推定器と、電圧推定器の出力をもとに第2の電力検出ユニットの設置される地点での電力を算出する電力算出器と、を備えるデータ分析蓄積ユニット2と、を備える。電力検出ユニット100、200は、それぞれのユニットが持つ時刻を同期して、処理する。
【選択図】図1
特許請求の範囲
【請求項1】
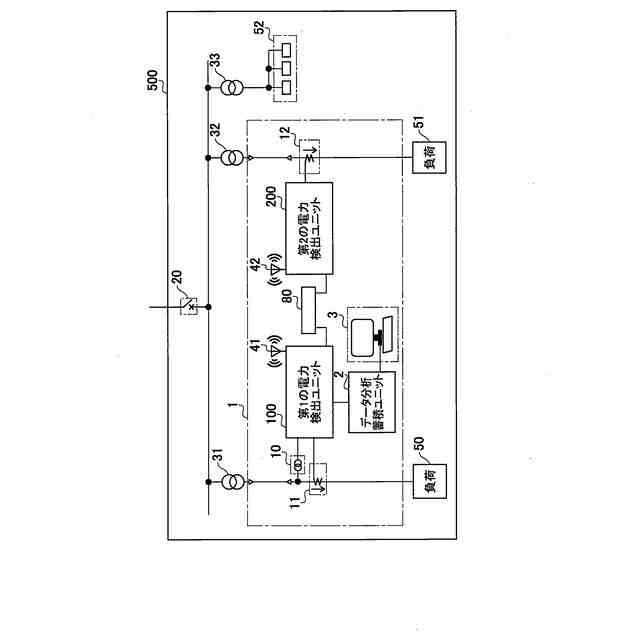
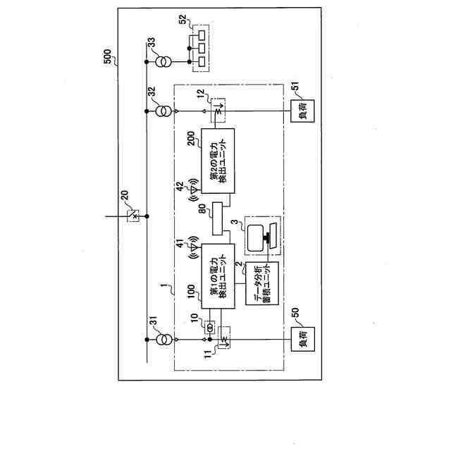
同一建屋内の複数個所の電力を検出する電力監視システムであって、
第1の電力検出対象機器が下位に接続される地点の電圧および電流を検出する第1の電圧センサおよび第1の電流センサと、
前記第1の電圧センサの出力信号と前記第1の電流センサの出力信号を入力する第1の電力検出ユニットと、
第2の電力検出対象機器が下位に接続される地点の電流を検出する第2の電流センサと、
前記第2の電流センサの出力信号を入力し、前記第1の電力検出ユニットと時刻情報を同期して作動する第2の電力検出ユニットと、
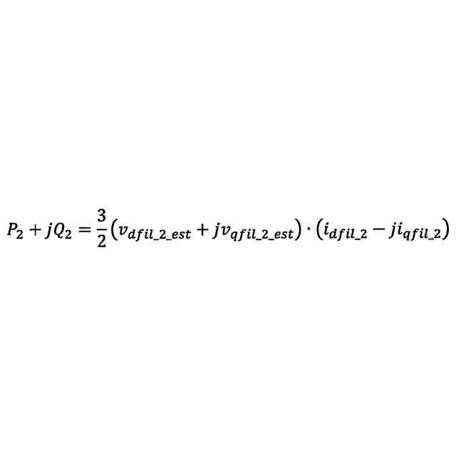
前記第1の電力検出ユニットの出力と前記第2の電力検出ユニットの出力から前記第2の電力検出ユニットの設置地点における電圧を推定する電圧推定器と、
前記電圧推定器の出力をもとに前記第2の電力検出ユニットの設置される地点での電力を算出する電力算出器と、を備えるデータ分析蓄積ユニットと、を備え、
前記第1の電力検出ユニットと前記第2の電力検出ユニットは、それぞれのユニットが持つ時刻を同期する機能を有し、
前記第2の電力検出ユニットは、当該ユニットが持つ時刻に基づき算出した基準正弦波で前記第2の電流センサの出力を回転座標変換して、その変換結果を前記第1の電力検出ユニットに伝送し、
前記第1の電力検出ユニットは、前記第1の電圧センサおよび前記第1の電流センサの出力を回転座標変換し、該回転座標変換した値と前記第2の電力検出ユニットで算出した電流変換結果を前記データ分析蓄積ユニットに送信し、
前記データ分析蓄積ユニットは、入力した電圧・電流と当該建屋内のインピーダンス情報を含む回路図情報をもとに前記第2の電力検出ユニットが電流を計測する地点の電圧座標変換値を推定する
電力監視システム。
続きを表示(約 2,300 文字)
【請求項2】
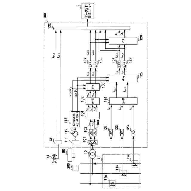
前記第1の電力検出ユニットは、
算出した基準正弦波である第1の基準正弦波と前記第1の電圧センサの出力を基に、前記第1の電圧センサが検出した交流電圧を回転座標変換する第1の回転座標変換器と、
前記第1の回転座標変換器により座標変換した値に対してローパス特性を有するデジタルフィルタ演算を施す第1のローパスフィルタと、
前記第1の基準正弦波と前記第1の電流センサの出力を基に、前記第1の電流センサが検出した交流電流を回転座標変換する第2の回転座標変換器と、
前記第2の回転座標変換器により座標変換した値に対してローパス特性を有するデジタルフィルタ演算を施す第2のローパスフィルタと、
前記第2のローパスフィルタの出力を前記データ分析蓄積ユニットに送信する第1のインターフェースを備え、
前記第2の電力検出ユニットは、
前記第1の電力検出ユニットの時刻と同期する時刻情報に基づき算出した基準正弦波を生成する第2の基準正弦波発生器と、
前記第2の基準正弦波の出力である第2の基準正弦波と前記第2の電流センサの出力を基に、前記第2の電流センサの検出した交流電流を回転座標変換する第3の回転座標変換器と、
前記第3の回転座標変換器により座標変換した値に対してローパス特性を有するデジタルフィルタ演算を施す第3のローパスフィルタと、
前記第3のローパスフィルタの出力を前記第1の電力検出ユニットに送信する第2のインターフェースと、を備える
請求項1に記載の電力監視システム。
【請求項3】
前記第1の電力検出ユニットと前記第2の電力検出ユニットとは、共通のスイッチングハブに接続され、前記スイッチングハブを介した時刻同期により、それぞれの電力検出ユニットが基準正弦波を生成する際の時刻情報の同期を行う
請求項1に記載の電力監視システム。
【請求項4】
前記時刻情報の同期は、200μ秒未満の同期である
請求項3に記載の電力監視システム。
【請求項5】
前記第1の電力検出ユニットと前記第2の電力検出ユニットとは、それぞれ測位用衛星信号を受信して、受信信号に含まれる時刻情報を得る測位用衛星信号受信ユニットを備え、
前記測位用衛星信号受信ユニットで得た時刻情報により、それぞれの電力検出ユニットが基準正弦波を生成する
請求項1に記載の電力監視システム。
【請求項6】
前記データ分析蓄積ユニットは、前記第1の電力検出ユニットと前記第2の電力検出ユニットが設置される建屋とは異なる建屋に設置され、
前記第1の電力検出ユニットと前記第2の電力検出ユニットにより算出された電圧および電流の回転座標変換値を含む情報が、ネットワークを介して前記データ分析蓄積ユニットに送信され、
前記データ分析蓄積ユニットは、前記ネットワークを介して受信したデータを基に電圧推定を行うことで、前記第2の電力検出ユニットの設置地点における電力を算出し、算出した電力を含む情報を、前記ネットワークを介して前記第1の電力検出ユニットと前記第2の電力検出ユニットが設置される建屋の管理者端末に送信する
請求項1に記載の電力監視システム。
【請求項7】
前記管理者端末に電力を含む情報を送信することで、電力監視報告サービスを実行する
請求項6に記載の電力監視システム。
【請求項8】
前記第2の電流センサは、クランプ式の電流センサである
請求項1~7のいずれか1項に記載の電力監視システム。
【請求項9】
同一建屋内の複数個所の電力を検出する電力監視方法であって、
第1の電力検出対象機器が下位に接続される地点の電圧および電流を検出する第1の電圧検出処理と、
前記地点の電流を検出する第1の電流検出処理と、
前記第1の電圧検出処理による電圧検出信号と前記第1の電流検出処理による電流検出信号を入力として電力を検出する第1の電力検出処理と、
第2の電力検出対象機器が下位に接続される地点の電流を検出する第2の電流検出処理と、
前記第2の電流検出処理による電流検出信号を入力し、前記第1の電力検出処理と時刻情報を同期して作動して電力を検出する第2の電力検出処理と、
前記第1の電力検出処理による検出電力と前記第2の電力検出処理による検出電力から前記第2の電力検出処理を行う地点における電圧を推定し、推定した電力をもとに前記第2の電力検出処理を行う地点での電力を算出するデータ分析処理と、を含む電力監視方法であり、
前記第1の電力検出処理と前記第2の電力検出処理とで、時刻同期を行い、
前記第2の電力検出処理では、前記時刻同期で得た時刻に基づき算出した基準正弦波で前記第2の電流検出処理の出力を回転座標変換して、その変換結果を前記第1の電力検出処理に伝送し、
前記第1の電力検出処理では、前記第1の電圧検出処理および前記第1の電流検出処理の出力を回転座標変換し、該回転座標変換した値と前記第2の電力検出処理で算出した電流変換結果を前記データ分析処理に送信し、
前記データ分析処理では、入力した電圧・電流と当該建屋内のインピーダンス情報を含む回路図情報をもとに前記第2の電力検出処理により電流を計測する地点の電圧座標変換値を推定する
電力監視方法。
発明の詳細な説明
【技術分野】
【0001】
本発明は、電力監視システムおよび電力監視方法に関する。
続きを表示(約 2,800 文字)
【背景技術】
【0002】
燃油価格高騰による電力料金上昇が懸念される中、複数設備や機器を備える建屋内において、どの設備や機器が、どのタイミングに、どれほどの電力を消費しているかを可視化するニーズが存在する。しかし、電力計測には電圧と電流の計測が必要であり、作業安全性確保のため、電力計測点を増設する場合には当該設置工事区域の上位ブレーカを開とし、下位系統を停電状態として作業する必要がある。そのため、建屋内で電力計測点を増設する作業は、簡単には実行できないという問題がある。また、電力計測点を増設する作業は、建屋内で実行中の事業への影響を避けるため、作業を操業日以外に設定することが多く、その場合は休祝日施工料金や工事立ち合い者の日当のコストも発生し、安易に計測ポイントを増設できない。
【0003】
特許文献1には、建屋内の複数機器の電力検出を、電圧を計測するポイントを一か所とし、複数の電流センサを設置して、該電圧計測情報と該複数の電流センサの電流計測情報を一つの計測ユニットに集約し、各機器の消費電力を算出する技術が記載されている。この特許文献1に記載された技術は、建屋として一般家屋を想定している。
【先行技術文献】
【特許文献】
【0004】
特許4881467号公報
【発明の概要】
【発明が解決しようとする課題】
【0005】
中規模以上のオフィスビル、複数テナントを収容する商業ビルのような建屋の場合、受電点は6.6[kV]などの高圧系統であり、電力を消費する設備は100[V]、200[V]、400[V]など電圧階級の異なる低圧機器となる場合が多い。このような複数の電圧を必要とする場合の電圧変換は、建屋に備えられる変圧器により実現される。この場合、電圧を計測する箇所と電力を計測する箇所は異なる電圧階級となり、特許文献1に開示される一般家屋を想定した手法では電力計測ができない。
【0006】
また、大規模なオフィスビルや商業ビルの場合、計測箇所が離れた場所に設置されることが想定され、複数の電流センサの出力信号線を電力の計測ユニットまで敷設するためには配線工事が発生し、さらなる費用増加が発生する。
【0007】
本発明は、これらの点に鑑みて、複数個所の電力計測・監視のためのデバイス設置にかかる停電時間の短縮などを図ることができる電力監視システムおよび電力監視方法を提供することを目的とする。
【課題を解決するための手段】
【0008】
上記課題を解決するために、例えば請求の範囲に記載の構成を採用する。
本願は、上記課題を解決する手段を複数含んでいるが、その一例を挙げるならば、同一建屋内の複数個所の電力を検出する電力監視システムであって、第1の電力検出対象機器が下位に接続される地点の電圧および電流を検出する第1の電圧センサおよび第1の電流センサと、第1の電圧センサの出力信号と第1の電流センサの出力信号を入力する第1の電力検出ユニットと、第2の電力検出対象機器が下位に接続される地点の電流を検出する第2の電流センサと、第2の電流センサの出力信号を入力し、第1の電力検出ユニットと時刻情報を同期して作動する第2の電力検出ユニットと、第1の電力検出ユニットの出力と第2の電力検出ユニットの出力から第2の電力検出ユニットの設置地点における電圧を推定する電圧推定器と、電圧推定器の出力をもとに第2の電力検出ユニットの設置される地点での電力を算出する電力算出器と、を備えるデータ分析蓄積ユニットと、を備える。
ここで、第1の電力検出ユニットと第2の電力検出ユニットは、それぞれのユニットが持つ時刻を同期する機能を有する。
そして、第2の電力検出ユニットは、当該ユニットが持つ時刻に基づき算出した基準正弦波で第2の電流センサの出力を回転座標変換して、その変換結果を第1の電力検出ユニットに伝送する。
第1の電力検出ユニットは、第1の電圧センサおよび第1の電流センサの出力を回転座標変換し、この回転座標変換した値と第2の電力検出ユニットで算出した電流変換結果をデータ分析蓄積ユニットに送信する。
データ分析蓄積ユニットは、入力した電圧・電流と当該建屋内のインピーダンス情報を含む回路図情報をもとに第2の電力検出ユニットが電流を計測する地点の電圧座標変換値を推定する。
【発明の効果】
【0009】
本発明によれば、低圧回路における電力計測箇所を増設した場合、電圧センサの追加敷設が不要となり、複数個所の電力計測・監視が簡単に行えるようになる。
上記した以外の課題、構成及び効果は、以下の実施形態の説明により明らかにされる。
【図面の簡単な説明】
【0010】
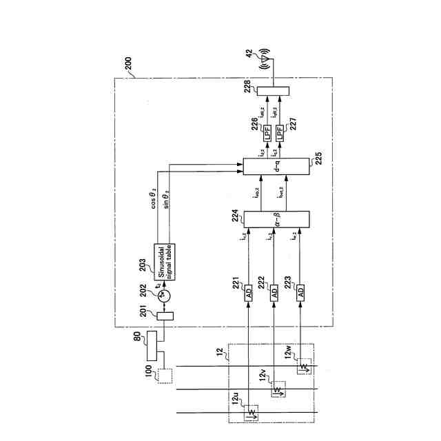
本発明の第1の実施の形態例による電力監視システムの例を示す構成図である。
本発明の第1の実施の形態例による電力監視システムの第1の電力検出ユニットの例を示す構成図である。
本発明の第1の実施の形態例による電力監視システムの第2の電力検出ユニットの例を示す構成図である。
本発明の第1の実施の形態例による電力監視システムのデータ分析蓄積ユニットの例を示す構成図である。
本発明の第1の実施の形態例による電力監視システムの電圧推定器の例を示す構成図である。
本発明の第1の実施の形態例による電力監視システムが扱うインピーダンスマップ情報の例を示す図である。
本発明の第1の実施の形態例による電力監視システムの動作例を示す図である。
本発明の第2の実施の形態例による電力監視システムの例を示す構成図である。
本発明の第2の実施の形態例による電力監視システムのGPS受信機の例を示す構成図である。
本発明の第2の実施の形態例による電力監視システムの第1の電力検出ユニットの例を示す構成図である。
本発明の第2の実施の形態例による電力監視システムの第2の電力検出ユニットの例を示す構成図である。
本発明の第2の実施の形態例による同期処理の例を示す図である。
本発明の第3の実施の形態例による電力監視システムの例を示す構成図である。
本発明の第3の実施の形態例による電力監視システムの第1の電力検出ユニットの例を示す構成図である。
本発明の第3の実施の形態例による電力監視システムのデータ分析蓄積ユニットの例を示す構成図である。
【発明を実施するための形態】
(【0011】以降は省略されています)
この特許をJ-PlatPat(特許庁公式サイト)で参照する
関連特許
株式会社日立製作所
鉄道車両
6日前
株式会社日立製作所
半導体装置
14日前
株式会社日立製作所
形状制御システム
今日
株式会社日立製作所
ガス濃度測定装置
6日前
株式会社日立製作所
計画装置および計画方法
12日前
株式会社日立製作所
管理システムおよび管理方法
2日前
株式会社日立製作所
訓練システムおよび訓練方法
2日前
株式会社日立製作所
費用対効果算出方法および装置
今日
株式会社日立製作所
状態検知装置及び状態検知方法
14日前
株式会社日立製作所
情報処理装置及び情報処理方法
2日前
株式会社日立製作所
電力変換器およびインバータ装置
2日前
株式会社日立製作所
異常検知システム及び異常検知方法
12日前
株式会社日立製作所
建物管理システム及び建物管理方法
12日前
株式会社日立製作所
計算機システム及びデータ検索方法
2日前
株式会社日立製作所
Webページ更新管理装置及び方法
6日前
株式会社日立製作所
音声分析システム及び音声分析方法
6日前
株式会社日立製作所
昇降機システム及び昇降機制御方法
2日前
株式会社日立製作所
物流計画システム及び物流計画方法
今日
株式会社日立製作所
通貨管理システム、及び通貨管理方法
6日前
株式会社日立製作所
データ出力装置およびデータ出力方法
2日前
株式会社日立製作所
電力監視システムおよび電力監視方法
12日前
株式会社日立製作所
計算機システム及びタスクの割当制御方法
12日前
株式会社日立製作所
支援装置、支援方法、及び支援プログラム
12日前
株式会社日立製作所
サービス管理システム及びサービス管理方法
12日前
株式会社日立製作所
ビル設備制御システム及びビル設備制御方法
2日前
株式会社日立製作所
作業認識支援システム及び作業認識支援方法
2日前
株式会社日立製作所
統合装置、統合方法、および統合プログラム
2日前
株式会社日立製作所
電力運用管理システム及び電力運用管理方法
12日前
株式会社日立製作所
ドキュメント生成装置、ドキュメント生成方法
2日前
株式会社日立製作所
二次電池用制御装置および二次電池の制御方法
2日前
株式会社日立製作所
仮想化システム及び仮想化システムの制御方法
今日
株式会社日立製作所
仮想化システム及び仮想化システムの制御方法
今日
株式会社日立製作所
在室人数計測システムおよび在室人数計測方法
2日前
株式会社日立製作所
テスト支援システム、および、テスト支援方法
今日
株式会社日立製作所
磁場発生装置およびそれを用いた磁気冷凍装置
2日前
株式会社日立製作所
電力需給調整システムおよび電力需給調整方法
12日前
続きを見る
他の特許を見る