TOP
|
特許
|
意匠
|
商標
特許ウォッチ
Twitter
他の特許を見る
10個以上の画像は省略されています。
公開番号
2025151086
公報種別
公開特許公報(A)
公開日
2025-10-09
出願番号
2024052326
出願日
2024-03-27
発明の名称
マレイミド樹脂
出願人
味の素株式会社
代理人
弁理士法人酒井国際特許事務所
主分類
C08G
18/67 20060101AFI20251002BHJP(有機高分子化合物;その製造または化学的加工;それに基づく組成物)
要約
【課題】優れた誘電特性及び耐熱性を示す硬化物をもたらすマレイミド樹脂を提供する。
【解決手段】下記式(X-n)で表されるマレイミド樹脂。
<com:Image com:imageContentCategory="Drawing"> <com:ImageFormatCategory>TIFF</com:ImageFormatCategory> <com:FileName>2025151086000029.tif</com:FileName> <com:HeightMeasure com:measureUnitCode="Mm">31</com:HeightMeasure> <com:WidthMeasure com:measureUnitCode="Mm">170</com:WidthMeasure> </com:Image>
(式(X-n)中、nは3以上の整数を表す。環Arは、それぞれ独立に、炭素原子数1~10のアルキル基及び炭素原子数1~10のアリール基から選ばれる置換基を有していてもよい炭素原子数6~10の芳香族炭素環を表す。A
n
は、ポリイソシアネートからn個のイソシアネート基(-NCO)を除いたn価の有機基を表す。)
【選択図】なし
特許請求の範囲
【請求項1】
下記式(X-n)で表されるマレイミド樹脂。
TIFF
2025151086000024.tif
31
170
(式(X-n)中、nは3以上の整数を表す。環Arは、それぞれ独立に、炭素原子数1~10のアルキル基及び炭素原子数1~10のアリール基から選ばれる置換基を有していてもよい炭素原子数6~10の芳香族炭素環を表す。A
n
は、ポリイソシアネートからn個のイソシアネート基(-NCO)を除いたn価の有機基を表す。)
続きを表示(約 1,300 文字)
【請求項2】
式(X-n)中、A
n
が、下記式(Y-1)で表されるジイソシアネートが結合して形成されるポリイソシアネートからn個のイソシアネート基(-NCO)を除いたn価の有機基である、請求項1に記載のマレイミド樹脂。
TIFF
2025151086000025.tif
7
170
(式(Y-1)中、Rは2価の有機基を表す。)
【請求項3】
式(Y-1)中、Rが、炭素原子数1~6のアルキル基及び炭素原子数1~10のアリール基から選ばれる置換基を有していてもよい炭素原子数1~20のアルキレン基、炭素原子数1~6のアルキル基及び炭素原子数1~10のアリール基から選ばれる置換基を有していてもよい炭素原子数1~20のアリーレン基、又はこれらの組み合わせからなる炭素原子数2~30の2価の基である、請求項2に記載のマレイミド樹脂。
【請求項4】
式(X-n)中、A
n
が、上記式(Y-1)で表される2n-3個のジイソシアネートが結合して形成されるポリイソシアネートからn個のイソシアネート基(-NCO)を除いたn価の有機基である、請求項2に記載のマレイミド樹脂。
【請求項5】
式(X-n)中、nが3~10の整数である、請求項1に記載のマレイミド樹脂。
【請求項6】
式(X-n)中、環Arがベンゼン環である、請求項1に記載のマレイミド樹脂。
【請求項7】
マレイミド基当量が、100~1000g/eq.である、請求項1に記載のマレイミド樹脂。
【請求項8】
式(X-n)中、n=3であり、A
n
が下記式(A
3
-1)で表される3価の有機基である、請求項1に記載のマレイミド樹脂。
TIFF
2025151086000026.tif
32
170
(式(A
3
-1)中、R
1
はそれぞれ独立に、2価の有機基を表す。*は結合手を表す。)
【請求項9】
式(A
3
-1)中、R
1
がそれぞれ独立に、炭素原子数1~6のアルキル基及び炭素原子数1~10のアリール基から選ばれる置換基を有していてもよい炭素原子数1~20のアルキレン基、炭素原子数1~6のアルキル基及び炭素原子数1~10のアリール基から選ばれる置換基を有していてもよい炭素原子数1~20のアリーレン基、又はこれらの組み合わせからなる炭素原子数2~30の2価の基である、請求項8に記載のマレイミド樹脂。
【請求項10】
式(X-n)中、n=3であり、A
n
が下記式(A
3
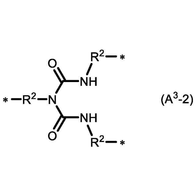
-2)で表される3価の有機基である、請求項1に記載のマレイミド樹脂。
TIFF
2025151086000027.tif
30
170
(式(A
3
-2)中、R
2
はそれぞれ独立に、2価の有機基を表す。*は結合手を表す。)
(【請求項11】以降は省略されています)
発明の詳細な説明
【技術分野】
【0001】
本発明は、マレイミド樹脂に関する。さらには、当該マレイミド樹脂を用いて得られる、硬化性樹脂、樹脂組成物、樹脂シート、プリプレグ、硬化物、回路基板、半導体チップパッケージ、及び半導体装置、並びにマレイミド樹脂の製造方法に関する。
続きを表示(約 3,700 文字)
【背景技術】
【0002】
マレイミド樹脂、エポキシ樹脂等の硬化性樹脂とその硬化剤を含む樹脂組成物は、絶縁性、耐熱性、密着性などに優れる硬化物をもたらすことから、半導体チップパッケージやプリント配線板などの電子部品材料として広く使われてきた。例えば、特許文献1には、融点が40℃以下である特定構造のマレイミド化合物、エポキシ化合物、シアン酸エステル化合物及び無機充填材を含有する熱硬化性樹脂組成物が記載されている。
【先行技術文献】
【特許文献】
【0003】
特開2016-010964号公報
【発明の概要】
【発明が解決しようとする課題】
【0004】
一方、第5世代移動通信システム(5G)などの高速通信では、高周波環境で作動させる際の伝送損失が問題になる。そのため誘電特性(低誘電率、低誘電正接)に優れた絶縁材料が必要となる。また、高周波環境での作動時は電子部品の発熱量が増大する傾向にあり、高速通信用途に使用される絶縁材料には耐熱性のさらなる向上も求められている。
【0005】
特許文献1に記載の樹脂組成物は、従来の樹脂組成物樹脂と比較すると、硬化物のガラス転移温度(耐熱性)は向上しているが、それでも満足できる水準にはなく、誘電特性については言及がない。
【0006】
本発明は、上記課題に鑑みてなされたものであって、優れた誘電特性及び耐熱性を示す硬化物をもたらすマレイミド樹脂を提供することを目的とする。
【課題を解決するための手段】
【0007】
本発明者らが鋭意検討した結果、下記構成を有するマレイミド樹脂によれば上記課題を解決できることを見出し、本発明を完成させた。
【0008】
すなわち、本発明は以下の内容を含む。
[1] 下記式(X-n)で表されるマレイミド樹脂。
TIFF
2025151086000001.tif
31
170
(式(X-n)中、nは3以上の整数を表す。環Arは、それぞれ独立に、炭素原子数1~10のアルキル基及び炭素原子数1~10のアリール基から選ばれる置換基を有していてもよい炭素原子数6~10の芳香族炭素環を表す。A
n
は、ポリイソシアネートからn個のイソシアネート基(-NCO)を除いたn価の有機基を表す。)
[2] 式(X-n)中、A
n
が、下記式(Y-1)で表されるジイソシアネートが結合して形成されるポリイソシアネートからn個のイソシアネート基(-NCO)を除いたn価の有機基である、[1]に記載のマレイミド樹脂。
TIFF
2025151086000002.tif
7
170
(式(Y-1)中、Rは2価の有機基を表す。)
[3] 式(Y-1)中、Rが、炭素原子数1~6のアルキル基及び炭素原子数1~10のアリール基から選ばれる置換基を有していてもよい炭素原子数1~20のアルキレン基、炭素原子数1~6のアルキル基及び炭素原子数1~10のアリール基から選ばれる置換基を有していてもよい炭素原子数1~20のアリーレン基、又はこれらの組み合わせからなる炭素原子数2~30の2価の基である、[2]に記載のマレイミド樹脂。
[4] 式(X-n)中、A
n
が、上記式(Y-1)で表される2n-3個のジイソシアネートが結合して形成されるポリイソシアネートからn個のイソシアネート基(-NCO)を除いたn価の有機基である、[2]又は[3]に記載のマレイミド樹脂。
[5] 式(X-n)中、nが3~10の整数である、[1]~[4]のいずれかに記載のマレイミド樹脂。
[6] 式(X-n)中、環Arがベンゼン環である、[1]~[5]のいずれかに記載のマレイミド樹脂。
[7] マレイミド基当量が、100~1000g/eq.である、[1]~[6]のいずれかに記載のマレイミド樹脂。
[8] 式(X-n)中、n=3であり、A
n
が下記式(A
3
-1)で表される3価の有機基である、[1]~[7]のいずれかに記載のマレイミド樹脂。
TIFF
2025151086000003.tif
32
170
(式(A
3
-1)中、R
1
はそれぞれ独立に、2価の有機基を表す。*は結合手を表す。)
[9] 式(A
3
-1)中、R
1
がそれぞれ独立に、炭素原子数1~6のアルキル基及び炭素原子数1~10のアリール基から選ばれる置換基を有していてもよい炭素原子数1~20のアルキレン基、炭素原子数1~6のアルキル基及び炭素原子数1~10のアリール基から選ばれる置換基を有していてもよい炭素原子数1~20のアリーレン基、又はこれらの組み合わせからなる炭素原子数2~30の2価の基である、[8]に記載のマレイミド樹脂。
[10] 式(X-n)中、n=3であり、A
n
が下記式(A
3
-2)で表される3価の有機基である、[1]~[7]のいずれかに記載のマレイミド樹脂。
TIFF
2025151086000004.tif
30
170
(式(A
3
-2)中、R
2
はそれぞれ独立に、2価の有機基を表す。*は結合手を表す。)
[11] 式(A
3
-2)中、R
2
がそれぞれ独立に、炭素原子数1~6のアルキル基及び炭素原子数1~10のアリール基から選ばれる置換基を有していてもよい炭素原子数1~20のアルキレン基、炭素原子数1~6のアルキル基及び炭素原子数1~10のアリール基から選ばれる置換基を有していてもよい炭素原子数1~20のアリーレン基、又はこれらの組み合わせからなる炭素原子数2~30の2価の基である、[10]に記載のマレイミド樹脂。
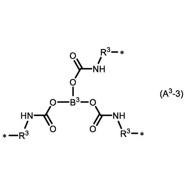
[12] 式(X-n)中、n=3であり、A
n
が下記式(A
3
-3)で表される3価の有機基である、[1]~[7]のいずれかに記載のマレイミド樹脂。
TIFF
2025151086000005.tif
38
170
(式(A
3
-3)中、B
3
は3価の有機基を表す。R
3
はそれぞれ独立に、2価の有機基を表す。*は結合手を表す。)
[13] 式(A
3
-3)中、R
3
がそれぞれ独立に、炭素原子数1~6のアルキル基及び炭素原子数1~10のアリール基から選ばれる置換基を有していてもよい炭素原子数1~20のアルキレン基、炭素原子数1~6のアルキル基及び炭素原子数1~10のアリール基から選ばれる置換基を有していてもよい炭素原子数1~20のアリーレン基、又はこれらの組み合わせからなる炭素原子数2~30の2価の基である、[12]に記載のマレイミド樹脂。
[14] 式(A
3
-3)中、B
3
が、炭素原子数1~20の3価の飽和脂肪族炭化水素基である、[12]又は[13]に記載のマレイミド樹脂。
[15] 3官能以上のポリイソシアネートと、N-(ヒドロキシアリール)マレイミドを、触媒下で反応させる工程を含む、マレイミド樹脂の製造方法。
[16] 生成物のマレイミド樹脂が、[1]~[14]のいずれかに記載のマレイミド樹脂である、[15]に記載のマレイミド樹脂の製造方法。
[17] [1]~[14]のいずれかに記載のマレイミド樹脂を含む、硬化性樹脂。
[18] [1]~[14]のいずれかに記載のマレイミド樹脂を含有する、樹脂組成物。
【発明の効果】
【0009】
本発明によれば、優れた誘電特性及び耐熱性を示す硬化物をもたらすマレイミド樹脂、当該マレイミド樹脂を用いて得られる硬化性樹脂、樹脂組成物、樹脂シート、プリプレグ、硬化物、回路基板、半導体チップパッケージ、及び半導体装置、並びにマレイミド樹脂の製造方法を提供することができる。
【発明を実施するための形態】
【0010】
以下、実施形態及び例示物を示して、本発明について詳細に説明する。ただし、本発明は、以下に挙げる実施形態及び例示物に限定されるものではなく、特許請求の範囲及びその均等の範囲を逸脱しない範囲において任意に変更して実施し得る。
(【0011】以降は省略されています)
この特許をJ-PlatPat(特許庁公式サイト)で参照する
関連特許
味の素株式会社
樹脂組成物
1日前
味の素株式会社
樹脂組成物
15日前
味の素株式会社
樹脂組成物
15日前
味の素株式会社
樹脂シート
11日前
味の素株式会社
樹脂シート
11日前
味の素株式会社
樹脂組成物
1日前
味の素株式会社
エポキシ樹脂
1日前
味の素株式会社
基板の製造方法
今日
味の素株式会社
マレイミド樹脂
1日前
味の素株式会社
積層体の製造方法
21日前
味の素株式会社
感光性樹脂組成物
7日前
味の素株式会社
ミネラル強化食品
今日
味の素株式会社
感光性樹脂組成物
7日前
味の素株式会社
配線板の製造方法
今日
味の素株式会社
熱硬化性樹脂組成物
15日前
味の素株式会社
チャック付き包装袋
今日
味の素株式会社
ポリアミドイミド樹脂
1日前
味の素株式会社
高含水米飯食品の製造方法
今日
味の素株式会社
包餡麺帯食品及びその製造方法
今日
味の素株式会社
集電層に用いられる金属箔積層体
2日前
味の素株式会社
集電層に用いられる金属箔積層体
2日前
味の素株式会社
包餡麺帯食品の焼き目形成用組成物
1日前
味の素株式会社
コーヒー抽出液の香味を改善する方法
2日前
味の素株式会社
洋風調味料およびそれを含有する食品
今日
味の素株式会社
電子レンジ加熱調理用容器入り即席食品
1日前
東洋濾紙株式会社
アミノ酸定量用試験紙
3日前
味の素株式会社
クリーミングパウダー及びインスタント飲料用組成物
15日前
味の素株式会社
生地組成物及びそれから製造されるグルテンフリーの麺製品
21日前
味の素株式会社
食事評価装置、食事評価方法、および、食事評価プログラム
23日前
味の素株式会社
樹脂組成物
23日前
味の素株式会社
樹脂組成物
21日前
味の素株式会社
樹脂シート、回路基板及びその製造方法、並びに、半導体装置
11日前
味の素株式会社
ドライ加熱調理品の製造方法及びドライ加熱調理品製造用組成物
9日前
味の素株式会社
害虫情報提供装置、害虫情報提供方法および害虫情報提供プログラム
今日
味の素株式会社
麺帯製造装置、包餡食品製造システム、麺帯製造方法及び麺帯製造プログラム
9日前
味の素株式会社
樹脂組成物、樹脂シート及びその製造方法、回路基板及びその製造方法、並びに半導体装置
11日前
続きを見る
他の特許を見る