TOP
|
特許
|
意匠
|
商標
特許ウォッチ
Twitter
他の特許を見る
公開番号
2025155226
公報種別
公開特許公報(A)
公開日
2025-10-14
出願番号
2024058915
出願日
2024-04-01
発明の名称
情報処理装置、情報処理方法、及びコンピュータプログラム
出願人
キヤノン株式会社
代理人
個人
,
個人
,
個人
主分類
G06V
20/50 20220101AFI20251006BHJP(計算;計数)
要約
【課題】
異常を検知するための条件設定にかかる手間を省くことが可能な情報処理装置を提供する。
【解決手段】
情報処理装置において、物体の種別を表す種別情報、前記物体の位置情報と、前記物体が同じ位置に留まる滞留時間情報と、を含む物体特性情報を、少なくとも2以上の物体について含む物体特性群情報を入力する物体特性群情報入力手段と、前記種別情報と、前記位置情報と、前記滞留時間情報とを関連づけて保持する物体配置特性データベースと、前記物体特性群情報と前記物体配置特性データベースとに基づき、前記物体特性群情報に含まれる前記位置情報及び前記滞留時間情報から異常度を決定する異常度決定手段と、を有することを特徴とする。
【選択図】 図4
特許請求の範囲
【請求項1】
物体の種別を表す種別情報、前記物体の位置情報と、前記物体が同じ位置に留まる滞留時間情報と、を含む物体特性情報を、少なくとも2以上の前記物体について含む物体特性群情報を入力する物体特性群情報入力手段と、
前記種別情報と、前記位置情報と、前記滞留時間情報とを関連づけて保持する物体配置特性データベースと、
前記物体特性群情報と前記物体配置特性データベースとに基づき、前記物体特性群情報に含まれる前記位置情報及び前記滞留時間情報から異常度を決定する異常度決定手段と、
を有することを特徴とする情報処理装置。
続きを表示(約 1,000 文字)
【請求項2】
前記位置情報は、前記物体の空間中の位置、前記物体間の空間中の相対位置、前記物体の空間中の位置を表すラベル、及び前記物体間の空間中の前記相対位置を表すラベルの少なくともいずれか1つを含むことを特徴とする請求項1に記載の情報処理装置。
【請求項3】
前記滞留時間情報は、前記物体が所定の位置範囲内に留まる時間情報であることを特徴とする請求項1に記載の情報処理装置。
【請求項4】
前記異常度決定手段は、前記物体の前記種別情報、前記位置情報、前記滞留時間情報の少なくとも1つの前記異常度を、周囲の物体との配置関係に基づいて決定することを特徴とする請求項1に記載の情報処理装置。
【請求項5】
前記異常度決定手段は、前記物体特性群情報入力手段により入力された前記物体特性群情報と、前記物体配置特性データベースが出力する物体特性群情報と、の差分に基づき前記異常度を決定することを特徴とする請求項1に記載の情報処理装置。
【請求項6】
画像を入力する画像入力手段と、
前記画像に基づき前記物体を認識する物体認識手段と、を有することを特徴とする請求項1に記載の情報処理装置。
【請求項7】
前記物体配置特性データベースを生成する物体配置特性データベース生成手段を有することを特徴とする請求項1に記載の情報処理装置。
【請求項8】
前記異常度決定手段が決定した前記異常度を利用者に提示する表示手段を有することを特徴とする請求項1に記載の情報処理装置。
【請求項9】
物体の種別を表す種別情報、前記物体の位置情報と、前記物体が同じ位置に留まる滞留時間情報と、を含む物体特性情報を、少なくとも2以上の前記物体について含む物体特性群情報を入力する物体特性群情報入力ステップと、
前記種別情報と、前記位置情報と、前記滞留時間情報とを関連づけて保持する物体配置特性データベースに前記物体特性群情報を入力することにより、前記物体特性群情報に含まれる前記位置情報及び前記滞留時間情報から異常度を決定する異常度決定ステップと、
を有することを特徴とする情報処理方法。
【請求項10】
請求項1~8のいずれか1項に記載の各手段をコンピュータにより制御するためのコンピュータプログラム。
発明の詳細な説明
【技術分野】
【0001】
本発明は、情報処理装置、情報処理方法、及びコンピュータプログラムに関する。
続きを表示(約 1,700 文字)
【背景技術】
【0002】
画像認識によって、画像から物体の種別や位置といった物体特性を認識することができる。特許文献1では、画像認識により、物体を取り囲むバウンディングボックスを生成すると共に、物体種別を出力してデータベースを更新している。又、物体認識技術を用いて、例えば、侵入禁止エリアに人が入室したことを検知し、管理者にアラートを出力するといった、異常検知システムが挙げられる。
【先行技術文献】
【特許文献】
【0003】
特表2019-517701号公報
Jacob.et.al, BERT: Pre-training of Deep Bidirectional Transformers for Language Understanding, arXiv 2018
Wald.et.al, Learning 3D Semantic Scene Graphs from 3D Indoor Reconstructions, CVPR2020
【発明の概要】
【発明が解決しようとする課題】
【0004】
しかしながら、従来の画像認識技術においては、異常を検知する場合、異常を検知するための条件を設定する必要があり、手間が発生する。
【0005】
そこで本発明は、異常を検知するための条件設定にかかる手間を省くことが可能な情報処理装置を提供することを目的の1つとする。
【課題を解決するための手段】
【0006】
本発明の1側面の情報処理装置は、
物体の種別を表す種別情報、前記物体の位置情報と、前記物体が同じ位置に留まる滞留時間情報と、を含む物体特性情報を、少なくとも2以上の物体について含む物体特性群情報を入力する物体特性群情報入力手段と、
前記種別情報と、前記位置情報と、前記滞留時間情報とを関連づけて保持する物体配置特性データベースと、
前記物体特性群情報と前記物体配置特性データベースとに基づき、前記物体特性群情報に含まれる前記位置情報及び前記滞留時間情報から異常度を決定する異常度決定手段と、
を有することを特徴とする。
【発明の効果】
【0007】
本発明によれば、異常を検知するための条件設定にかかる手間を省くことが可能な情報処理装置を実現できる。
【図面の簡単な説明】
【0008】
本発明の実施形態1に係る情報処理装置を利用する状況を示す模式図である。
実施形態1の情報処理装置の機能構成を示す機能ブロック図である。
実施形態1の情報処理装置1のハードウェア構成例を示す図である。
実施形態1の情報処理装置による情報処理方法の流れを示すフローチャートである。
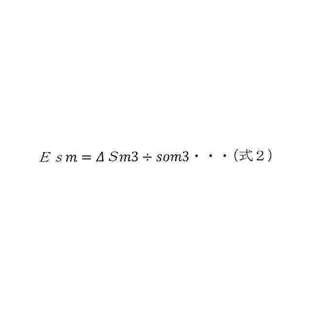
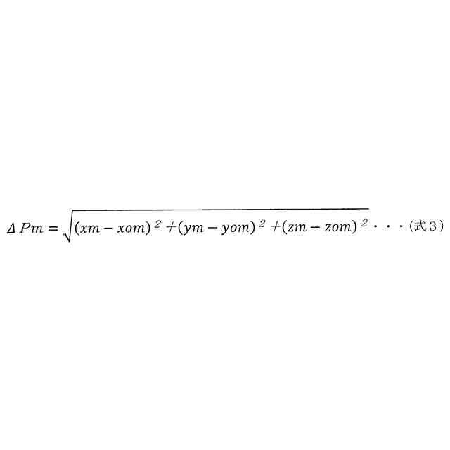
実施形態1において、異常度を算出するための概念を示す模式図である。
実施形態1の異常度決定部103によるステップS403の処理手順の例を示すフローチャートである。
実施形態1の変形例1-3の情報処理装置の機能構成例を示す機能ブロック図である。
実施形態2の情報処理装置80の機能構成を示す機能ブロック図である。
実施形態2の情報処理装置による情報処理方法の流れを示すフローチャートである。
実施形態3の情報処理装置の処理結果であるUI画面の例を示す模式図である。
【発明を実施するための形態】
【0009】
以下、図面を参照して本発明の実施形態を説明する。ただし、本発明は以下の実施形態に限定されるものではない。なお、各図において、同一の部材または要素については同一の参照番号を付し、重複する説明は省略または簡略化する。
【0010】
<実施形態1>
図1は、本発明の実施形態1に係る情報処理装置を利用する状況を示す模式図である。図1では、情報処理装置1、表示部36、利用者U、環境10、を示している。表示部36には、情報処理装置1の処理結果として、例えば環境10の状態を表示する。
(【0011】以降は省略されています)
この特許をJ-PlatPat(特許庁公式サイト)で参照する
関連特許
キヤノン株式会社
容器
1日前
キヤノン株式会社
トナー
4日前
キヤノン株式会社
トナー
22日前
キヤノン株式会社
トナー
17日前
キヤノン株式会社
トナー
17日前
キヤノン株式会社
トナー
17日前
キヤノン株式会社
記録装置
1日前
キヤノン株式会社
測距装置
10日前
キヤノン株式会社
撮像装置
22日前
キヤノン株式会社
現像装置
8日前
キヤノン株式会社
現像容器
15日前
キヤノン株式会社
現像装置
15日前
キヤノン株式会社
定着装置
16日前
キヤノン株式会社
撮影装置
15日前
キヤノン株式会社
現像容器
15日前
キヤノン株式会社
撮像装置
1日前
キヤノン株式会社
撮像装置
1日前
キヤノン株式会社
撮像装置
1日前
キヤノン株式会社
撮像装置
18日前
キヤノン株式会社
現像装置
15日前
キヤノン株式会社
記録装置
22日前
キヤノン株式会社
電子機器
24日前
キヤノン株式会社
記録装置
15日前
キヤノン株式会社
モジュール
17日前
キヤノン株式会社
光学センサ
17日前
キヤノン株式会社
半導体装置
24日前
キヤノン株式会社
現像剤容器
23日前
キヤノン株式会社
画像形成装置
23日前
キヤノン株式会社
画像形成装置
8日前
キヤノン株式会社
画像形成装置
23日前
キヤノン株式会社
画像形成装置
9日前
キヤノン株式会社
画像形成装置
15日前
キヤノン株式会社
画像形成装置
23日前
キヤノン株式会社
画像形成装置
15日前
キヤノン株式会社
画像形成装置
15日前
キヤノン株式会社
画像形成装置
15日前
続きを見る
他の特許を見る