TOP
|
特許
|
意匠
|
商標
特許ウォッチ
Twitter
他の特許を見る
10個以上の画像は省略されています。
公開番号
2025159844
公報種別
公開特許公報(A)
公開日
2025-10-22
出願番号
2024062647
出願日
2024-04-09
発明の名称
5-(2-ブチル-1,3-ジオキソラン-2-イル)-1-メチルペンチル=アセテート及びそれを用いた2,7-ジアセトキシウンデカンの製造方法
出願人
信越化学工業株式会社
代理人
個人
,
個人
主分類
C07D
317/24 20060101AFI20251015BHJP(有機化学)
要約
【課題】2,7-ジアセトキシウンデカンを効率良く製造するための合成中間体である新規な化合物を提供する。また、該新規な化合物の製造方法、及び該新規な化合物から2,7-ジアセトキシウンデカンを製造する方法を提供する。
【解決手段】下記式(1)で表される5-(2-ブチル-1,3-ジオキソラン-2-イル)-1-メチルペンチル=アセテートを提供する。また、前記化合物を、酸又は過酸化物の存在下、ケタールを脱保護することによる10-アセトキシ-5-ウンデカノンの製造方法、及び任意的に、10-アセトキシ-5-ウンデカノンの還元反応により、10-アセトキシ-5-ウンデカノールを得る工程、及び前記10-アセトキシ-5-ウンデカノールをアセチル化反応することによる、2,7-ジアセトキシウンデカンの製造方法を提供する。
<com:Image com:imageContentCategory="Drawing"> <com:ImageFormatCategory>JPEG</com:ImageFormatCategory> <com:FileName>2025159844000034.jpg</com:FileName> <com:HeightMeasure com:measureUnitCode="Mm">37</com:HeightMeasure> <com:WidthMeasure com:measureUnitCode="Mm">170</com:WidthMeasure> </com:Image>
【選択図】なし
特許請求の範囲
【請求項1】
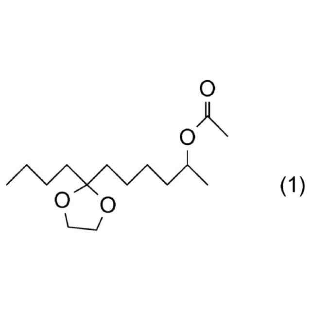
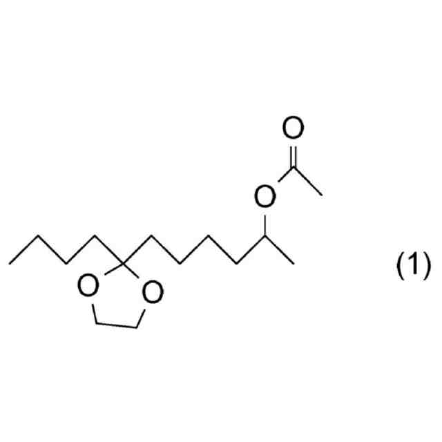
下記式(1):
JPEG
2025159844000025.jpg
37
170
で表される5-(2-ブチル-1,3-ジオキソラン-2-イル)-1-メチルペンチル=アセテート。
続きを表示(約 1,100 文字)
【請求項2】
下記一般式(2):
JPEG
2025159844000026.jpg
27
170
(式中、X
1
はハロゲン原子又は3-(2-ブチル-1,3-ジオキソラン-2-イル)プロピル基を表す。)
で表される有機マグネシウム化合物(2)を下記式(3):
JPEG
2025159844000027.jpg
21
170
で表されるプロピレン=オキシドへの求核付加反応に付し、その後、下記一般式(4):
JPEG
2025159844000028.jpg
28
170
(式中、X
2
は、ハロゲン原子又はアセトキシ基、メトキシ基又はエトキシ基を表す。)
で表されるアセチル化剤と反応させることにより、下記式(1):
JPEG
2025159844000029.jpg
35
170
で表される5-(2-ブチル-1,3-ジオキソラン-2-イル)-1-メチルペンチル=アセテート(1)を得る工程
を含む、5-(2-ブチル-1,3-ジオキソラン-2-イル)-1-メチルペンチル=アセテート(1)の製造方法。
【請求項3】
下記式(1):
JPEG
2025159844000030.jpg
41
170
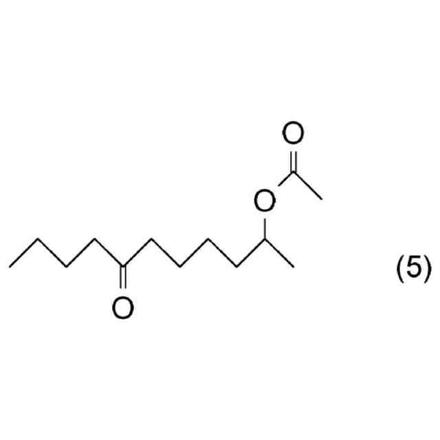
で表される5-(2-ブチル-1,3-ジオキソラン-2-イル)-1-メチルペンチル=アセテートを酸又は過酸化物の存在下、ケタールを脱保護することにより、下記式(5):
JPEG
2025159844000031.jpg
38
170
で表される10-アセトキシ-5-ウンデカノンを得る工程
を含む、10-アセトキシ-5-ウンデカノン(5)の製造方法。
【請求項4】
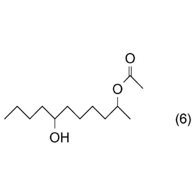
請求項3に記載の10-アセトキシ-5-ウンデカノン(5)の製造方法と、
前記10-アセトキシ-5-ウンデカノン(5)を還元反応により、下記式(6):
JPEG
2025159844000032.jpg
36
170
で表される10-アセトキシ-5-ウンデカノールを得る工程と、
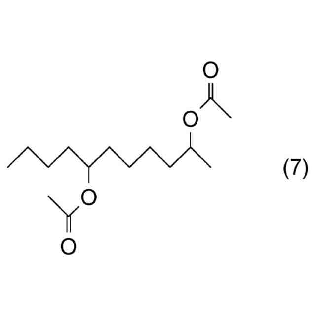
前記10-アセトキシ-5-ウンデカノール(6)をアセチル化反応することにより、下記式(7):
JPEG
2025159844000033.jpg
46
170
で表される2,7-ジアセトキシウンデカンを得る工程と
を含む、2,7-ジアセトキシウンデカン(7)の製造方法。
発明の詳細な説明
【技術分野】
【0001】
本発明は、5-(2-ブチル-1,3-ジオキソラン-2-イル)-1-メチルペンチル=アセテート及びそれを用いた2,7-ジアセトキシウンデカンの製造方法に関する。
続きを表示(約 2,400 文字)
【背景技術】
【0002】
Pear gall midge(学名:
Contarinia
pyrivora
)はヨーロッパの果樹害虫であり、ナシ(pear)を食害する。Pear gall midgeの幼虫は果実に侵入し食害する。Pear gall midgeに食害された果実は、黒ずみ、そして木から落ちてしまう。該幼虫は果実内に入り込むため、通常の農薬は接触不良により効果が低いことが多く、その防除は困難である。また、残留農薬の懸念により、生物学的防除方法が注目されつつあり、その一つとして性フェロモン物質の利用が期待されている(下記の非特許文献1)。
【0003】
Pear gall midgeの性フェロモン組成物は、2,7-ジアセトキシウンデカンと7-(アセトキシ)-2-ウンデカノンとの混合物であることが報告されている(下記の非特許文献2)。
【0004】
このうち、主成分である2,7-ジアセトキシウンデカンの製造方法としては、例えば、1,4-ジブロモブタン、1-ペンタナール及びアセトアルデヒドを、テトラヒドロフラン(THF)中でマグネシウムと反応させ、5,10-テトラデカンジオール、2,7-オクタンジオール及び2,7-ウンデカンジオールの3種類の混合物を合成する。次に、該得られた5,10-テトラデカンジオール、2,7-オクタンジオール及び2,7-ウンデカンジオールの混合物についてシリカゲルカラムクロマトグラフィーによる分離精製を行い、2,7-ウンデカンジオールを単離精製する。続いて、該得られた2,7-ウンデカンジオールをピリジンの存在下、無水酢酸でアセチル化することにより、製造する方法が報告されている(下記の非特許文献2)。
【先行技術文献】
【非特許文献】
【0005】
Elisabeth A. Hodgdon et al.,The Canadian Entomologist,2022,154,e37,1-17.
Lakmali Amarawardana et al.,Thesis Uni. Greenwich,2009,1-184.
【発明の概要】
【発明が解決しようとする課題】
【0006】
しかしながら、非特許文献2における2,7-ジアセトキシウンデカンの製造方法においては、第1工程において3種類のジオールが生成する上、目的物の中間体である2,7-ウンデカンジオールは水溶性が高いため収率が悪いと推測される。さらに、上記第1工程で使用しているアセトアルデヒドは発がん性がありシックハウス症候群の原因物質でもあるため、その取り扱いには専用の設備が必要となり厳密な廃水処理が必要となる等、工業的な製造に適していない。加えて、3種類のジオールを分離精製するためにシリカゲルカラムクロマトグラフィーによる精製を行っているが、シリカゲルカラムクロマトグラフィーによる精製は工業規模(100kg超)での実施は困難であることから工業的な製造に適していない。
【0007】
本発明は、上記事情に鑑みなされたものであり、2,7-ジアセトキシウンデカンを効率良く製造するための合成中間体である新規な化合物を提供することを目的とする。また、本発明は、該新規な化合物の製造方法、並びに該新規な化合物から、2,7-ジアセトキシウンデカンの製造方法を提供することを目的とする。
【課題を解決するための手段】
【0008】
本発明者らは、上記課題を解決するために鋭意検討を重ねた結果、新規な化合物である5-(2-ブチル-1,3-ジオキソラン-2-イル)-1-メチルペンチル=アセテートを見出した。本発明に従う該5-(2-ブチル-1,3-ジオキソラン-2-イル)-1-メチルペンチル=アセテートは、安価かつ大量に製造することができ、蒸留のみで精製することができる。また、本発明者らは、該5-(2-ブチル-1,3-ジオキソラン-2-イル)-1-メチルペンチル=アセテートを用いて、2,7-ジアセトキシウンデカンを効率良く製造することができることを見出した。
【0009】
本発明の第1の態様によれば、下記式(1):
JPEG
2025159844000001.jpg
38
170
で表される5-(2-ブチル-1,3-ジオキソラン-2-イル)-1-メチルペンチル=アセテートを提供できる。
【0010】
本発明の第2の態様によれば、下記一般式(2):
JPEG
2025159844000002.jpg
29
170
(式中、X
1
はハロゲン原子又は3-(2-ブチル-1,3-ジオキソラン-2-イル)プロピル基を表す。)
で表される有機マグネシウム化合物(2)を下記式(3):
JPEG
2025159844000003.jpg
26
170
で表されるプロピレン=オキシドへの求核付加反応に付し、その後、下記一般式(4):
JPEG
2025159844000004.jpg
27
170
(式中、X
2
は、ハロゲン原子又はアセトキシ基、メトキシ基又はエトキシ基を表す。)
で表されるアセチル化剤と反応させることにより、前記5-(2-ブチル-1,3-ジオキソラン-2-イル)-1-メチルペンチル=アセテート(1)を得る工程
を含む、5-(2-ブチル-1,3-ジオキソラン-2-イル)-1-メチルペンチル=アセテート(1)の製造方法を提供できる。
(【0011】以降は省略されています)
この特許をJ-PlatPat(特許庁公式サイト)で参照する
関連特許
信越化学工業株式会社
化粧料
12日前
信越化学工業株式会社
電磁波遮蔽部材
15日前
信越化学工業株式会社
光ファイバ母材の製造方法
9日前
信越化学工業株式会社
複合基板およびその製造方法
15日前
信越化学工業株式会社
非晶質固体分散体を含む複合物
12日前
信越化学工業株式会社
光ファイバ用多孔質母材の製造装置
9日前
信越化学工業株式会社
酸化物単結晶複合基板およびその製造方法
15日前
信越化学工業株式会社
熱伝導性シリコーン組成物及びその硬化物
9日前
信越化学工業株式会社
室温硬化性オルガノポリシロキサン組成物
11日前
信越化学工業株式会社
オルガノポリシロキサン及びこれを含有する化粧料
1日前
信越化学工業株式会社
キーパッド作製用シリコーンゴム組成物及びキーパッド
10日前
信越化学工業株式会社
環状アミノオルガノキシシラン化合物およびその製造方法
12日前
信越化学工業株式会社
オニウム塩、化学増幅レジスト組成物及びパターン形成方法
3日前
信越化学工業株式会社
反射型フォトマスクブランク、及び反射型フォトマスクの製造方法
10日前
信越化学工業株式会社
有機膜形成用組成物、有機膜形成方法、パターン形成方法、及び重合体
3日前
信越化学工業株式会社
ミラブル型フロロシリコーンゴム組成物及び輸送機のエンジン周辺用ゴム部品
1日前
信越化学工業株式会社
第四級アンモニウム修飾シリカ分散液及び第四級アンモニウム修飾シリカ分散液の製造方法
16日前
信越化学工業株式会社
ラジカル重合性基含有環状オルガノシロキサン、その製造方法およびそれを含む硬化性組成物
2日前
信越化学工業株式会社
ラジカル重合性基含有環状オルガノシロキサン誘導体、その製造方法およびそれを含む硬化性組成物
2日前
信越化学工業株式会社
多層構造型の感光性ドライフィルム、パターン形成方法、表示装置、及びマイクロLEDディスプレイ
9日前
信越化学工業株式会社
ネガ型感光性樹脂組成物、パターン形成方法、硬化被膜形成方法、層間絶縁膜、表面保護膜、及び電子部品
9日前
信越化学工業株式会社
ミラブル型シリコーンゴム原料混合物及びコンパウンド並びに、コンパウンドの製造方法及び組成物の製造方法
1日前
信越化学工業株式会社
重合体、ネガ型感光性樹脂組成物、パターン形成方法、硬化被膜形成方法、層間絶縁膜、表面保護膜、及び電子部品
9日前
信越化学工業株式会社
感光性樹脂組成物、感光性樹脂皮膜、感光性ドライフィルム、パターン形成方法、表示装置、及びマイクロLEDディスプレイ
9日前
信越化学工業株式会社
感光性樹脂組成物、感光性樹脂皮膜、感光性ドライフィルム、パターン形成方法、表示装置、及びマイクロLEDディスプレイ
9日前
クミアイ化学工業株式会社
多形
9日前
東ソー株式会社
タンパク質の発現方法
1か月前
東ソー株式会社
炭素-窒素結合形成方法
4か月前
株式会社トクヤマ
四塩化炭素の製造方法
4か月前
株式会社トクヤマ
シロキサン類の回収方法
4か月前
株式会社半導体エネルギー研究所
有機化合物
9日前
株式会社半導体エネルギー研究所
有機化合物
2か月前
株式会社トクヤマ
ビオチン誘導体の製造方法
3か月前
栗田工業株式会社
ギ酸の回収方法
1か月前
株式会社トクヤマ
チオラクトン誘導体の製造方法
1か月前
東ソー株式会社
イソシアネート化合物の製造方法
2か月前
続きを見る
他の特許を見る