TOP
|
特許
|
意匠
|
商標
特許ウォッチ
Twitter
他の特許を見る
10個以上の画像は省略されています。
公開番号
2025017011
公報種別
公開特許公報(A)
公開日
2025-02-05
出願番号
2023119876
出願日
2023-07-24
発明の名称
蛍光X線分析装置
出願人
公立大学法人大阪
代理人
個人
,
個人
主分類
G01N
23/223 20060101AFI20250129BHJP(測定;試験)
要約
【課題】本発明は、簡易な構成にして試料を精度良く分析することができる蛍光X線分析装置を提供することを目的とする。
【解決手段】試料Sを保持する試料保持部1と、試料Sの正面側に配置され、試料Sに対して正面側から1次X線を照射するX線照射部2と、試料Sから発生した蛍光X線K1、K2を検出する検出部4と、検出部4により検出された蛍光X線K1、K2に基づき試料を分析する分析部5とを備え、試料Sの背面側に二次ターゲット3が配置される。二次ターゲット3は、X線照射部2による試料Sを透過し、さらに試料Sの間を通過した1次X線X1が照射されると、試料Sに対して背面側から2次X線X2を照射する。
【選択図】図3
特許請求の範囲
【請求項1】
試料を保持する試料保持部と、
試料の正面側に配置され、試料に対して正面側から1次X線を照射するX線照射部と、
試料から発生した蛍光X線を検出する検出部と、
前記検出部により検出された蛍光X線に基づき試料を分析する分析部とを備える蛍光X線分析装置であって、
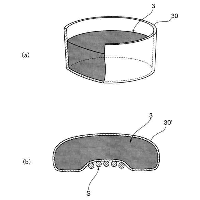
試料の背面側および/または側面側に二次ターゲットが配置され、
前記二次ターゲットは、前記X線照射部による試料を透過した1次X線が照射されると、試料に対して背面側および/または側面側から2次X線を照射することを特徴とする蛍光X線分析装置。
続きを表示(約 620 文字)
【請求項2】
前記二次ターゲットは、さらに前記X線照射部による試料の周囲を通過した1次X線が照射されると、試料に対して背面側および/または側面側から2次X線を照射する請求項1に記載の蛍光X線装置。
【請求項3】
前記二次ターゲットは、試料に含まれる分析対象の元素の吸収端エネルギーよりも高い励起エネルギーを有する2次蛍光線を発生する材料からなる請求項1または請求項2に記載の蛍光X線分析装置。
【請求項4】
前記二次ターゲットは、粉末状または粒状に形成され、剛性および/または可撓性の収容容器に収容されている請求項1または請求項2に記載の蛍光X線分析装置。
【請求項5】
前記試料保持部は、試料を前記二次ターゲットから5mm以下の位置で保持する請求項1または請求項2に記載の蛍光X線分析装置。
【請求項6】
前記試料保持部は、複数の試料を平面方向に間隔を空けて並んだ状態で保持し、
前記二次ターゲットは、各試料の間を通過した1次X線が照射されると、各試料に対して背面側および/または側面側から2次X線を照射する請求項2に記載の蛍光X線分析装置。
【請求項7】
前記試料保持部は、各試料が配置された分析対象領域の面積に対して、前記X線照射部による1次X線が通過する面積の割合が30%~80%となるように各試料を保持する請求項6に記載の蛍光X線分析装置。
発明の詳細な説明
【技術分野】
【0001】
本発明は、X線の照射により試料から発生した蛍光X線を検出することによって試料を分析する蛍光X線分析装置に関するものである。
続きを表示(約 2,100 文字)
【背景技術】
【0002】
近年、生体内に存在する多種多様なミネラルは、様々な生体機能の発現・調節に重要な役割を果たしており、健康を維持するためには、日々、多種類のミネラル摂取が不可欠である。ミネラルの必須元素が摂取の過不足、吸収・代謝・排泄異常などにより体内に過剰または欠乏すると様々な健康障害がおこる。例えば、カルシウムは、体重の1-2%(体重50kgの成人で約1kg)含まれ、生体内に最も多く存在するミネラルであり、その99%はリン酸と結合したリン酸カルシウム(ハイドロキシアパタイト)として骨や歯などの硬組織に存在し、残り1%は血液、筋肉、神経などの軟組織にイオンや種々の塩として存在しており、毛髪中のCa濃度は概ね800μg/gである。亜鉛は体内に約 2,000 mg 存在しており、60%が筋肉、20~30%が骨、8%が皮膚・毛髪、4~6%が肝臓、2.8%が消化管・膵臓、1.6%が脾臓に分布しており、平均的な毛髪の亜鉛濃度は170μg/g程度である。亜鉛欠乏の症状は、皮膚炎や味覚障害、慢性下痢、免疫機能障害、成長遅延、性腺発育障害などがある。
【0003】
従来、体内ミネラル量を評価する方法として、血液や尿が用いられてきた。しかし、これらの検体は日間変動の影響を受けやすく、採取時点から数日前までのミネラル量を反映するものであり、日常的な摂取量を手軽に把握するには有効性に欠ける。一方、毛髪は、血中ミネラルが血中濃度に応じて該毛髪に排泄されており、一度毛髪に排泄されたミネラルは固定され、血中や空気中に排泄されることはない。また、血液や尿の約10~50倍のミネラルを含んでいることからも、体内のミネラル蓄積量の推定には都合が良く、さらに月に1cm程度伸びるため、毛髪ミネラル濃度は血中ミネラル量の経時的変動を記録することが報告されている。しかも、毛髪は被検者に侵襲を与えることなく容易に採取でき、長期間保存しても変質しない。
【0004】
これまで毛髪のミネラル分析にはICP発光・質量分析が用いられてきた。しかし、これらの分析法では、100本以上の毛髪が必要となり、また毛髪を酸で溶解するため、試料の前処理も必要であり廃液処理の環境負荷がかかる。
【0005】
このような背景の下、発明者らは蛍光X線分析装置を用いて毛髪中の元素解析を行ってきた。具体的には、この蛍光X線分析装置は、試料を保持する試料保持部と、試料に1次X線を照射するX線照射部と、試料から発生した蛍光X線を検出する検出部と、検出部により検出された蛍光X線に基づき試料を分析する分析部とを備え、X線照射部から試料に1次X線を照射した際、試料から発生した蛍光X線を検出部により検出して、蛍光X線に基づき試料を分析部により分析する(例えば、特許文献1参照)
【0006】
ところで、微量元素の蛍光X線の強度の増強、高感度を目的とした二次ターゲット法による蛍光X線分析装置も知られている。この二次ターゲット法とは、X線照射部から発生した1次X線を試料に直接照射して、試料から発生した蛍光X線を検出部により検出する直射照射法に対して、1次X線を二次ターゲットに照射して、二次ターゲットから発生した2次X線を試料に照射する手法である(例えば、特許文献2参照)。これによれば、二次ターゲット固有の単色化された特有の2次X線を試料に照射するため、1次X線に含まれる連続X線の影響を低減して、微量元素の検出限界を向上させることができる。
【先行技術文献】
【特許文献】
【0007】
特開2022-133676公報
特開平7-229861号公報
【発明の概要】
【発明が解決しようとする課題】
【0008】
しかしながら、従来の二次ターゲット法による蛍光X線分析装置は、二次ターゲットから発生した2次X線のみを試料に照射するだけであり、しかも試料と二次ターゲットの間の距離のロスが大きいため、二次ターゲットから発生する2次X線が試料に届くまでに減衰するなどして、試料に含まれる所定の元素を検出しにくく、試料を精度良く分析できない場合があるという問題があった。
【0009】
本発明は、上述の問題に鑑みてなされたものであり、簡易な構成にして試料を精度良く分析することができる蛍光X線分析装置を提供することを目的とする。
【課題を解決するための手段】
【0010】
本発明は、上記目的を達成するために、試料を保持する試料保持部と、試料の正面側に配置され、試料に対して正面側から1次X線を照射するX線照射部と、試料から発生した蛍光X線を検出する検出部と、前記検出部により検出された蛍光X線に基づき試料を分析する分析部とを備える蛍光X線分析装置であって、試料の背面側および/または側面側に二次ターゲットが配置され、前記二次ターゲットは、前記X線照射部による試料を透過した1次X線が照射されると、試料に対して背面側および/または側面側から2次X線を照射することを特徴とする。
(【0011】以降は省略されています)
この特許をJ-PlatPat(特許庁公式サイト)で参照する
関連特許
個人
メジャー文具
3日前
個人
計量スプーン
1か月前
日本精機株式会社
位置検出装置
9日前
日本精機株式会社
位置検出装置
9日前
日本精機株式会社
位置検出装置
9日前
ユニパルス株式会社
ロードセル
2日前
大和製衡株式会社
組合せ秤
14日前
大和製衡株式会社
組合せ秤
14日前
アズビル株式会社
圧力センサ
8日前
トヨタ自動車株式会社
表示装置
23日前
アンリツ株式会社
分光器
1か月前
エイブリック株式会社
磁気センサ回路
8日前
株式会社チノー
放射光測温装置
2日前
トヨタ自動車株式会社
監視装置
1日前
アンリツ株式会社
分光器
1か月前
株式会社東芝
センサ
14日前
株式会社東芝
センサ
14日前
株式会社ヨコオ
ソケット
2日前
株式会社ユーシン
操作検出装置
11日前
ダイハツ工業株式会社
測定用具
1か月前
トヨタ自動車株式会社
検査装置
11日前
株式会社ヨコオ
ソケット
1日前
TDK株式会社
磁気センサ
1か月前
TDK株式会社
磁気センサ
1日前
株式会社ナリス化粧品
角層細胞採取用具
21日前
TDK株式会社
ガスセンサ
7日前
株式会社ヨコオ
コンタクタ
1か月前
個人
粘塑性を用いた有限要素法の定式化
23日前
株式会社東芝
重量測定装置
7日前
TDK株式会社
ガスセンサ
8日前
東レエンジニアリング株式会社
計量装置
11日前
TDK株式会社
ガスセンサ
2日前
三菱マテリアル株式会社
温度センサ
3日前
三恵技研工業株式会社
融雪レドーム
1日前
TDK株式会社
電磁波センサ
2日前
大同特殊鋼株式会社
超音波探傷方法
1か月前
続きを見る
他の特許を見る