TOP
|
特許
|
意匠
|
商標
特許ウォッチ
Twitter
他の特許を見る
公開番号
2025040713
公報種別
公開特許公報(A)
公開日
2025-03-25
出願番号
2023147679
出願日
2023-09-12
発明の名称
有機性廃棄物のメタン発酵処理方法
出願人
国立大学法人神戸大学
代理人
個人
,
個人
,
個人
主分類
B09B
3/65 20220101AFI20250317BHJP(固体廃棄物の処理;汚染土壌の再生)
要約
【課題】発酵槽温度を一定に保つための加熱エネルギーに依存することなく小型の発酵槽内でのメタン発酵を可能にする技術を提供する。
【解決手段】容量が300m3以下の発酵槽内で、有機性廃棄物をメタン発酵する処理方法であって、前記有機性廃棄物を発酵槽に供給しメタン発酵する工程1と、前記発酵槽内の処理液の温度Tをモニターする工程2と、前記温度Tが所定範囲を下回る温度Tdとなる場合、前記温度Tdから算出した水理学的滞留時間HRTAに基づいて前記有機性廃棄物の供給量を導出する工程3と、前記有機性廃棄物の供給量を、前記導出された量に制御する工程4と、を含む、処理方法。
【選択図】なし
特許請求の範囲
【請求項1】
容量が300m
3
以下の発酵槽内で、有機性廃棄物をメタン発酵する処理方法であって、
前記有機性廃棄物を発酵槽に供給しメタン発酵する工程1と、
前記発酵槽内の処理液の温度Tをモニターする工程2と、
前記温度Tが所定範囲を下回る温度Tdとなる場合、前記温度Tdから算出した水理学的滞留時間HRT
A
に基づいて前記有機性廃棄物の供給量を導出する工程3と、
前記有機性廃棄物の供給量を、前記導出された量に制御する工程4と、を含む、処理方法。
続きを表示(約 1,100 文字)
【請求項2】
容量が300m
3
以下の発酵槽内で、有機性廃棄物をメタン発酵する処理方法であって、
前記有機性廃棄物を発酵槽に供給しメタン発酵する工程1と、
前記発酵槽内の処理液から生成するメタン又はバイオガスの生成速度Rをモニターする工程2と、
生成速度Rが所定範囲を下回る生成速度Rdとなる場合、前記生成速度Rdから算出した水理学的滞留時間HRT
B
に基づいて前記有機性廃棄物の供給量を導出する工程3と、
前記有機性廃棄物の供給量を、前記導出された量に制御する工程4と、を含む、処理方法。
【請求項3】
前記所定範囲以上である場合の前記温度Tが、15℃~35℃である、請求項1又は2に記載の処理方法。
【請求項4】
前記工程4において、有機物負荷を1.8kg VS/m
3
/day未満に制御する、請求項1又は2に記載の処理方法。
【請求項5】
前記有機性廃棄物が、動物糞尿の搾汁及び食物残渣を含む、請求項1又は2に記載の処理方法。
【請求項6】
有機性廃棄物のリザーバと、
前記有機廃棄物をメタン発酵する発酵槽と、
前記リザーバから前記有機性廃棄物の前記発酵槽への供給量を調節するポンプと、
前記発酵槽内の処理液の温度を測定する第1の温度計、及び/又は、前記リザーバ中の前記有機廃棄物の温度を測定する第2の温度計と、
前記第1の温度計により示される又は前記第2の温度計から換算される前記処理液の温度Tが所定範囲を下回る温度Tdとなる場合、前記温度Tdから算出した水理学的滞留時間HRT
A
に基づいて前記有機性廃棄物の供給量を導出し、前記有機性廃棄物の供給量が前記導出された量となるように前記ポンプを制御する制御部と、
を含む、メタン発酵装置。
【請求項7】
有機性廃棄物のリザーバと、
前記有機廃棄物をメタン発酵する発酵槽と、
前記リザーバから前記有機性廃棄物の前記発酵槽への供給量を調節するポンプと、
前記発酵槽において生成したバイオガスの流量を測定する圧力計と、
前記圧力計により示される生成速度Rが所定範囲を下回る生成速度Rdとなる場合、前記生成速度Rdから算出した水理学的滞留時間HRT
B
に基づいて前記有機性廃棄物の供給量を導出し、前記有機性廃棄物の供給量が前記導出された量となるように前記ポンプを制御する制御部と、
を含む、メタン発酵装置。
発明の詳細な説明
【技術分野】
【0001】
本発明は、小型の発酵槽内で有機性廃棄物をメタン発酵する処理方法に関する。
続きを表示(約 3,100 文字)
【背景技術】
【0002】
メタン発酵は、バイオマス資源からエネルギーを生成する方法の1つである。メタン発酵は、廃棄物系バイオマスを原料とする微生物による分解反応であり、微生物の至適温度(具体的には、中温で37℃、高温で55℃)に維持することで反応を維持する。それにより発生するメタンガスは電気又は熱の生成に利用することができ、副産物である発酵後の液状物は液肥又は乾燥肥料に利用することができる。
【0003】
メタン発酵の技術においては、エネルギー生成効率の向上のための工夫が提案されている。例えば特許文献1には、消化槽本体と、当該消化槽本体に投入された有機性廃棄物を攪拌する攪拌装置と、前記有機性廃棄物を加温する加温装置とを備える消化槽の運転方法であって、前記消化槽本体に投入した有機性廃棄物の量に対する前記消化槽本体で発生した消化ガスの量の比率が所定値よりも低くなり、且つ、前記消化槽本体内の有機性廃棄物の温度差が所定値以上であったら、前記攪拌装置を操作して有機性廃棄物の攪拌強度を上げることを特徴とする、消化槽の運転方法が開示されている。また、特許文献2には、メタン発酵処理温度より高温の有機性排水を処理対象原水とするメタン発酵処理方法であって、処理対象原水の一部を冷却工程を経てメタン発酵槽に供給し、処理対象原水の残部を冷却工程を経ずにメタン発酵槽に供給し、メタン発酵槽内の消化汚泥の温度を所定温度に保持することを特徴とするメタン発酵処理方法が開示されている。
【先行技術文献】
【特許文献】
【0004】
特開2015-171669号公報
特開2018-1102号公報
【発明の概要】
【発明が解決しようとする課題】
【0005】
特許文献1,2に記載されるような従来のメタン発酵装置は、基本構成として大型の発酵槽を備える。大型の発酵槽はその大きさゆえに本来的に温度維持性に優れているため、発酵槽を微生物の至適温度に維持するためのエネルギーは、発酵によって得られるエネルギーに対して十分に賄うことができる。
【0006】
一方で、メタン発酵装置のより一層の普及を図るには、例えば小規模酪農場での処理も可能となるような、小型の(具体的には容量が300m
3
以下の)発酵槽を備えるものが望まれる。しかしながら、メタン発酵装置の発酵槽が小型になると、その温度維持性が顕著に悪化する。このため、小型の発酵槽を備えるメタン発酵装置において、発酵槽温度を一定に保つことを前提とする制御手段を取り入れれば、従来の大型の発酵槽を備えるメタン発酵装置と同様の温度現象を再現できると考えられる。しかしながら、仮にそのような制御手段を取り入れると、小型の発酵槽のスケールに対して得られるエネルギーに見合わないほどの大きな加熱エネルギーを要することとなり、エネルギー転換システムであるメタン発酵装置の本質が破綻する問題が生じる。
【0007】
そこで、本発明は、発酵槽温度を一定に保つための加熱エネルギーに依存することなく小型の発酵槽内でのメタン発酵を可能にする技術を提供することを目的とする。
【課題を解決するための手段】
【0008】
本発明者は鋭意検討の結果、小型の発酵槽内で有機性廃棄物をメタン発酵する処理方法において、処理液温度及びガス生成速度の少なくともいずれかをモニターし、モニター値が所定の範囲を下回る場合に、モニター値から算出した水理学的滞留時間に基づいて有機性廃棄物の供給量を制御することにより、発酵槽温度を一定に保つための加熱エネルギーに依存しなくとも、メタン発酵微生物の至適温度より低温で発酵を進行させることができることを見出した。本発明は、この知見に基づいて、更に検討を重ねることにより完成したものである。
【0009】
即ち、本発明は、下記に掲げる態様の発明を提供する。
項1. 容量が300m
3
以下の発酵槽内で、有機性廃棄物をメタン発酵する処理方法であって、
前記有機性廃棄物を発酵槽に供給しメタン発酵する工程1と、
前記発酵槽内の処理液の温度Tをモニターする工程2と、
前記温度Tが所定範囲を下回る温度Tdとなる場合、前記温度Tdから算出した水理学的滞留時間HRT
A
に基づいて前記有機性廃棄物の供給量を導出する工程3と、
前記有機性廃棄物の供給量を、前記導出された量に制御する工程4と、を含む、処理方法。
項2. 容量が300m
3
以下の発酵槽内で、有機性廃棄物をメタン発酵する処理方法であって、
前記有機性廃棄物を発酵槽に供給しメタン発酵する工程1と、
前記発酵槽内の処理液から生成するメタン又はバイオガスの生成速度Rをモニターする工程2と、
生成速度Rが所定範囲を下回る生成速度Rdとなる場合、前記生成速度Rdから算出した水理学的滞留時間HRT
B
に基づいて前記有機性廃棄物の供給量を導出する工程3と、
前記有機性廃棄物の供給量を、前記導出された量に制御する工程4と、を含む、処理方法。
項3. 前記所定範囲以上である場合の前記温度Tが、15℃~35℃である、項1~4のいずれかに記載の処理方法。
項4. 前記工程4において、有機物負荷を1.8kg VS/m
3
/day未満に制御する、項1~5のいずれかに記載の処理方法。
項5. 前記有機性廃棄物が、動物糞尿の搾汁及び食物残渣を含む、項1~6のいずれかに記載の処理方法。
項6. 有機性廃棄物のリザーバと、
前記有機廃棄物をメタン発酵する発酵槽と、
前記リザーバから前記有機性廃棄物の前記発酵槽への供給量を調節するポンプと、
前記発酵槽内の処理液の温度を測定する第1の温度計、及び/又は、前記リザーバ中の前記有機廃棄物の温度を測定する第2の温度計と、
前記第1の温度計により示される又は前記第2の温度計から換算される前記処理液の温度Tが所定範囲を下回る温度Tdとなる場合、前記温度Tdから算出した水理学的滞留時間HRT
A
に基づいて前記有機性廃棄物の供給量を導出し、前記有機性廃棄物の供給量が前記導出された量となるように前記ポンプを制御する制御部と、
を含む、メタン発酵装置。
項7. 有機性廃棄物のリザーバと、
前記有機廃棄物をメタン発酵する発酵槽と、
前記リザーバから前記有機性廃棄物の前記発酵槽への供給量を調節するポンプと、
前記発酵槽において生成したバイオガスの流量を測定する圧力計と、
前記圧力計により示される生成速度Rが所定範囲を下回る生成速度Rdとなる場合、前記生成速度Rdから算出した水理学的滞留時間HRT
B
に基づいて前記有機性廃棄物の供給量を導出し、前記有機性廃棄物の供給量が前記導出された量となるように前記ポンプを制御する制御部と、
を含む、メタン発酵装置。
【発明の効果】
【0010】
本発明によれば、発酵槽温度を一定に保つための加熱エネルギーに依存することなく小型の発酵槽内でのメタン発酵が可能となる。
【図面の簡単な説明】
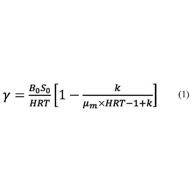
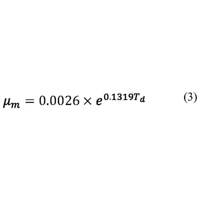
(【0011】以降は省略されています)
この特許をJ-PlatPat(特許庁公式サイト)で参照する
関連特許
国立大学法人神戸大学
コンバイン
6日前
国立大学法人神戸大学
抗アレルギー用経口組成物
28日前
国立大学法人神戸大学
空調システム、及び制御方法
1か月前
国立大学法人神戸大学
空調システム、及び制御方法
1か月前
国立大学法人神戸大学
サーマルサーキットシステム
29日前
国立大学法人神戸大学
イオン液体中の着色成分の除去
28日前
国立大学法人神戸大学
微細藻類培養方法及び油脂製造方法
1か月前
国立大学法人神戸大学
イオン液体中のセルロース由来不純物の除去
28日前
国立大学法人神戸大学
カルボン酸誘導体およびポリマーの製造方法
1か月前
株式会社NTTドコモ
通信装置及び通信方法
6日前
国立大学法人神戸大学
化合物又はその塩、毛髪処理用組成物、及び、方法。
今日
株式会社Preferred Networks
演算装置
1か月前
国立大学法人神戸大学
解析システム、コンピュータ実装方法、及びコンピュータプログラム
1か月前
国立大学法人神戸大学
二本鎖DNA合成方法
1か月前
日本新薬株式会社
腎毒性軽減剤
9日前
三菱重工業株式会社
フォークリフトの制御装置および方法並びにフォークリフト
6日前
国立大学法人神戸大学
塩分除去工法及び塗装塗替え工法
6日前
国立大学法人神戸大学
浸透圧補助型逆浸透膜装置、有機溶媒を含む水溶液の濃縮装置、及び、水溶液濃縮方法
1か月前
エム・エーライフマテリアルズ株式会社
生分解性樹脂組成物、並びにその繊維、及び不織布
10日前
東京電力ホールディングス株式会社
流量計測手法、プログラム、情報処理装置及び誤差計測手法
1か月前
国立大学法人神戸大学
安定で副作用の少ないゲノム編集用複合体及びそれをコードする核酸
2日前
シーシーアイホールディングス株式会社
エチレングリコール産生遺伝子組換え微生物、およびエチレングリコールの製造方法
7日前
トヨタ自動車株式会社
空箱処理装置
2か月前
ダイハツ工業株式会社
発酵システム
2か月前
トヨタ自動車株式会社
空箱処理装置
2か月前
株式会社クボタ
嫌気性処理方法
3か月前
花王株式会社
焼却灰の処理方法
20日前
花王株式会社
焼却灰の処理方法
20日前
トヨタ自動車株式会社
バイオ炭製造方法
28日前
テクニカ合同株式会社
廃棄鶏の処理方法
20日前
三菱マテリアル株式会社
被処理物の解体装置
3か月前
株式会社トクヤマ
石膏粒体のか焼方法
1か月前
株式会社シーパーツ
自動車解体破砕方法
2日前
清水建設株式会社
汚染拡散防止構造
1か月前
株式会社マクニカ
乾熱減容処理装置
1か月前
学校法人東京農業大学
メタンガスの製造方法
2か月前
続きを見る
他の特許を見る