TOP
|
特許
|
意匠
|
商標
特許ウォッチ
Twitter
他の特許を見る
10個以上の画像は省略されています。
公開番号
2025134093
公報種別
公開特許公報(A)
公開日
2025-09-17
出願番号
2022127442
出願日
2022-08-09
発明の名称
イミダゾリルアゾール化合物および有害生物防除剤
出願人
日本曹達株式会社
代理人
個人
主分類
C07D
403/14 20060101AFI20250909BHJP(有機化学)
要約
【課題】優れた殺虫活性および/または殺ダニ活性を有し、安全性に優れ、且つ工業的に有利に合成できるイミダゾリルアゾール化合物、ならびにこれを有効成分として含有する有害生物防除剤を提供する。
【解決手段】式(I-1a)などで表される化合物またはその塩。
<com:Image com:imageContentCategory="Drawing"> <com:ImageFormatCategory>TIFF</com:ImageFormatCategory> <com:FileName>2025134093000022.tif</com:FileName> <com:HeightMeasure com:measureUnitCode="Mm">52</com:HeightMeasure> <com:WidthMeasure com:measureUnitCode="Mm">150</com:WidthMeasure> </com:Image>
〔式中、R
1
は、置換もしくは無置換のC1~6アルキル基など、R
2
は、置換若しくは無置換のC1~6アルキル基、R
4
は、水素原子、置換若しくは無置換のC1~6アルキル基、置換若しくは無置換のC2~6アルケニル基などを表す。〕
【選択図】なし
特許請求の範囲
【請求項1】
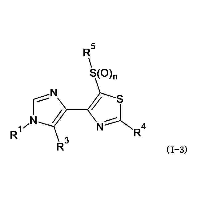
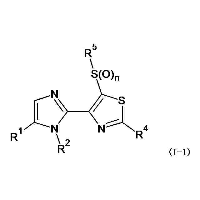
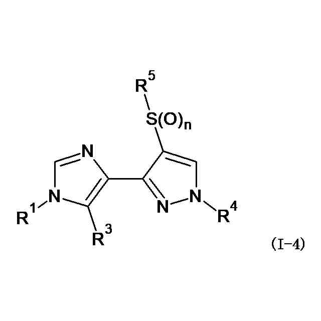
式(I)で表される化合物またはその塩。
A-B (I)
〔式(I)中、Aは、式(A1)で表される基、または式(A2)で表される基であり、
TIFF
2025134093000018.tif
29
150
TIFF
2025134093000019.tif
29
150
式(A1)および(A2)中、
*は、Bとの結合部位を示し、
R
1
は、置換もしくは無置換のC1~6アルキル基、置換もしくは無置換のC2~6アルケニル基、または置換若しくは無置換のフェニル基であり、
R
2
は、置換若しくは無置換のC1~6アルキル基であり、
R
3
は、水素原子、置換若しくは無置換のC1~6アルキル基、アミノ基、シアノ基、またはハロゲノ基であり、
式(I)中、Bは、式(B1)で表される基、または式(B2)で表される基であり、
TIFF
2025134093000020.tif
42
150
TIFF
2025134093000021.tif
42
150
式(B1)および(B2)中、
*は、Aとの結合部位を示し、
R
4
は、水素原子、置換若しくは無置換のC1~6アルキル基、置換若しくは無置換のC2~6アルケニル基、置換若しくは無置換のC2~6アルキニル基、置換若しくは無置換のC1~6アルキルカルボニル基、置換若しくは無置換のC1~6アルコキシカルボニル基、置換若しくは無置換のC3~6シクロアルキル基、置換若しくは無置換のフェニル基、置換若しくは無置換のナフチル基、置換若しくは無置換の5~10員ヘテロシクリル基、置換若しくは無置換のアミノ基、置換若しくは無置換のアミノカルボニル基、-C(=N-OR
a
)R
b
で表される基、ニトロ基、シアノ基、またはハロゲノ基であり、
R
a
は、水素原子、または置換若しくは無置換のC1~6アルキル基であり、
R
b
は、水素原子、または置換若しくは無置換のC1~6アルキル基であり、
R
5
は、置換若しくは無置換のC1~6アルキル基または置換若しくは無置換のC3~6シクロアルキル基であり、
nは、Oの数を表し、0、1または2である。〕
続きを表示(約 290 文字)
【請求項2】
請求項1に記載の化合物およびその塩からなる群から選ばれる少なくとも1つを有効成分として含有する有害生物防除剤。
【請求項3】
請求項1に記載の化合物およびその塩からなる群から選ばれる少なくとも1つを有効成分として含有する殺虫または殺ダニ剤。
【請求項4】
請求項1に記載の化合物およびその塩からなる群から選ばれる少なくとも1つを有効成分として含有する外部寄生虫防除剤。
【請求項5】
請求項1に記載の化合物およびその塩からなる群から選ばれる少なくとも1つを有効成分として含有する内部寄生虫防除若しくは駆除剤。
発明の詳細な説明
【技術分野】
【0001】
本発明はイミダゾリルアゾール化合物および有害生物防除剤に関する。より詳細に、本発明は、優れた殺虫活性および/または殺ダニ活性を有し、安全性に優れ、且つ工業的に有利に合成できるイミダゾリルアゾール化合物、ならびにこれを有効成分として含有する有害生物防除剤に関する。
続きを表示(約 2,300 文字)
【背景技術】
【0002】
殺虫・殺ダニ活性を有する化合物が種々提案されている。そのような化合物を農薬として実用するためには、効力が十分に高いだけでなく、薬剤抵抗性が生じ難いこと、植物に対する薬害や土壌汚染を生じさせないこと、家畜や魚類などに対する毒性が低いことなどが要求される。
【0003】
ところで、特許文献1には、式(A)、式(B)などで表される化合物が開示されている。
【0004】
TIFF
2025134093000001.tif
61
150
【0005】
TIFF
2025134093000002.tif
61
150
【先行技術文献】
【特許文献】
【0006】
WO2019/189731 A1
【発明の概要】
【発明が解決しようとする課題】
【0007】
本発明の課題は、有害生物防除活性、その中でも特に殺虫活性および/または殺ダニ活性に優れ、安全性に優れ、かつ工業的に有利に合成できるイミダゾリルアゾール化合物を提供することである。本発明の別の課題は、上記イミダゾリルアゾール化合物を有効成分として含有する有害生物防除剤、殺虫若しくは殺ダニ剤、外部寄生虫防除剤、または内部寄生虫防除若しくは駆除剤を提供することである。
【課題を解決するための手段】
【0008】
上記課題を解決すべく鋭意検討した結果、以下の形態を包含する本発明を完成するに至った。
〔1〕 式(I)で表される化合物またはその塩。
A-B (I)
〔式(I)中、Aは、式(A1)で表される基、または式(A2)で表される基であり、
TIFF
2025134093000003.tif
29
150
TIFF
2025134093000004.tif
29
150
式(A1)および(A2)中、
*は、Bとの結合部位を示し、
R
1
は、置換もしくは無置換のC1~6アルキル基、置換もしくは無置換のC2~6アルケニル基、または置換若しくは無置換のフェニル基であり、
R
2
は、置換若しくは無置換のC1~6アルキル基であり、
R
3
は、水素原子、置換若しくは無置換のC1~6アルキル基、アミノ基、シアノ基、またはハロゲノ基であり、
式(I)中、Bは、式(B1)で表される基、または式(B2)で表される基であり、
TIFF
2025134093000005.tif
42
150
TIFF
2025134093000006.tif
42
150
式(B1)および(B2)中、
*は、Aとの結合部位を示し、
R
4
は、水素原子、置換若しくは無置換のC1~6アルキル基、置換若しくは無置換のC2~6アルケニル基、置換若しくは無置換のC2~6アルキニル基、置換若しくは無置換のC1~6アルキルカルボニル基、置換若しくは無置換のC1~6アルコキシカルボニル基、置換若しくは無置換のC3~6シクロアルキル基、置換若しくは無置換のフェニル基、置換若しくは無置換のナフチル基、置換若しくは無置換の5~10員ヘテロシクリル基、置換若しくは無置換のアミノ基、置換若しくは無置換のアミノカルボニル基、-C(=N-OR
a
)R
b
で表される基、ニトロ基、シアノ基、またはハロゲノ基であり、
R
a
は、水素原子、または置換若しくは無置換のC1~6アルキル基であり、
R
b
は、水素原子、または置換若しくは無置換のC1~6アルキル基であり、
R
5
は、置換若しくは無置換のC1~6アルキル基または置換若しくは無置換のC3~6シクロアルキル基であり、
nは、Oの数を表し、0、1または2である。〕
【0009】
〔2〕 前記〔1〕に記載の化合物およびその塩からなる群から選ばれる少なくとも1つを有効成分として含有する有害生物防除剤。
〔3〕 前記〔1〕に記載の化合物およびその塩からなる群から選ばれる少なくとも1つを有効成分として含有する殺虫若しくは殺ダニ剤。
〔4〕 前記〔1〕に記載の化合物およびその塩からなる群から選ばれる少なくとも1つを有効成分として含有する外部寄生虫防除剤。
〔5〕 前記〔1〕に記載の化合物およびその塩からなる群から選ばれる少なくとも1つを有効成分として含有する内部寄生虫防除若しくは駆除剤。
【発明の効果】
【0010】
本発明のイミダゾリルアゾール化合物(式(I)で表される化合物またはその塩)は、農作物や衛生面で問題となる有害生物を防除することができる。本発明のイミダゾリルアゾール化合物は、特に農業害虫およびダニ類をより低濃度で効果的に防除することができる。本発明のイミダゾリルアゾール化合物は、さらに、人畜を害する外部寄生虫および内部寄生虫を効果的に防除することができる。
【発明を実施するための形態】
(【0011】以降は省略されています)
この特許をJ-PlatPat(特許庁公式サイト)で参照する
関連特許
日本曹達株式会社
イミダゾリルアゾール化合物および有害生物防除剤
28日前
東ソー株式会社
タンパク質の発現方法
26日前
東ソー株式会社
炭素-窒素結合形成方法
3か月前
株式会社トクヤマ
四塩化炭素の製造方法
3か月前
株式会社トクヤマ
シロキサン類の回収方法
3か月前
株式会社トクヤマ
ビオチン誘導体の製造方法
2か月前
株式会社半導体エネルギー研究所
有機化合物
2か月前
栗田工業株式会社
ギ酸の回収方法
8日前
東ソー株式会社
イソシアネート化合物の製造方法
1か月前
株式会社コスモス
液状炭化水素の増産方法
2か月前
株式会社トクヤマ
ホルムアミド化合物の製造方法
1か月前
株式会社トクヤマ
チオラクトン誘導体の製造方法
16日前
株式会社トクヤマ
ベンザゼピン化合物の製造方法
2か月前
株式会社コスモス
液状炭化水素の増産方法
2か月前
信越化学工業株式会社
新規化合物
3か月前
日産化学株式会社
ピラゾール化合物及び有害生物防除剤
2か月前
国立大学法人東京農工大学
深共晶溶媒
2か月前
三菱ケミカル株式会社
アルコールの製造方法
1か月前
本田技研工業株式会社
CO2変換方法
12日前
大阪瓦斯株式会社
メタン製造システム
12日前
JNC株式会社
有機ケイ素化合物およびこれを用いた重合体
2か月前
キヤノン株式会社
有機化合物及び有機発光素子
16日前
JNC株式会社
有機ケイ素化合物およびこれを用いた重合体
1か月前
東ソー株式会社
免疫グロブリン結合性タンパク質の製造方法
26日前
株式会社トクヤマ
アシル化ベンゼン誘導体の酸塩の製造方法
1か月前
キヤノン株式会社
有機金属錯体及び有機発光素子
12日前
株式会社半導体エネルギー研究所
有機金属錯体、発光デバイス
2か月前
個人
IL-17産生誘導能を有する化合物及びその用途
13日前
国立大学法人京都大学
抗がん剤
1か月前
デンカ株式会社
有機酸又はその塩の製造方法
1か月前
国立大学法人岩手大学
反応性付与化合物
2か月前
岐阜市
化合物、アジュバント組成物および医薬組成物
13日前
株式会社 MTG
ツバキ科ツバキ属の若葉からのエラグ酸製造方法
1か月前
日油株式会社
ペルフルオロアシル過酸化物の製造方法。
5日前
地方独立行政法人青森県産業技術センター
プロテオグリカンの分離法
1か月前
旭化成株式会社
ホルムアルデヒドガスの製造方法
1か月前
続きを見る
他の特許を見る