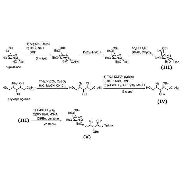
TOP
|
特許
|
意匠
|
商標
特許ウォッチ
Twitter
他の特許を見る
10個以上の画像は省略されています。
公開番号
2025144472
公報種別
公開特許公報(A)
公開日
2025-10-02
出願番号
2024044273
出願日
2024-03-19
発明の名称
IL-17産生誘導能を有する化合物及びその用途
出願人
個人
代理人
個人
主分類
C07H
15/04 20060101AFI20250925BHJP(有機化学)
要約
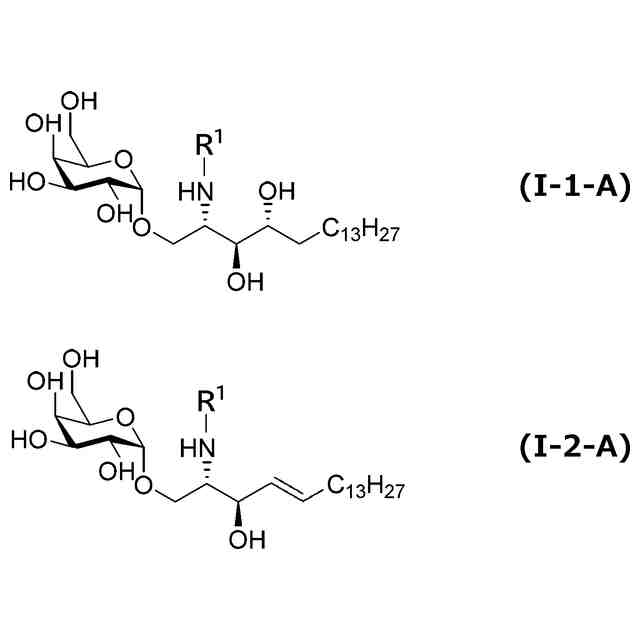
【課題】Th17選択的なサイトカイン産生を誘導するα-GalCer類縁体を提供すること。
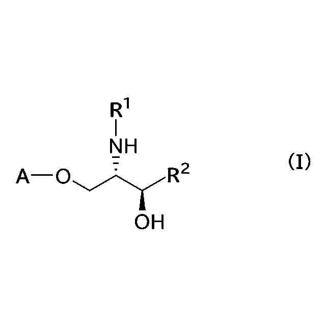
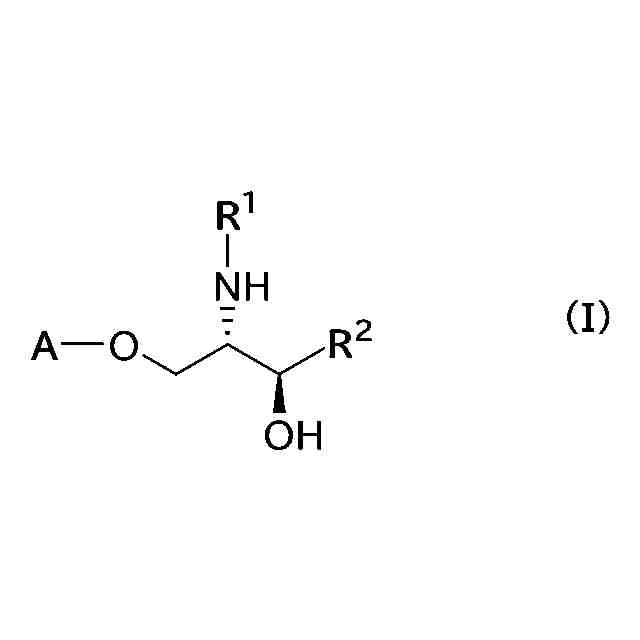
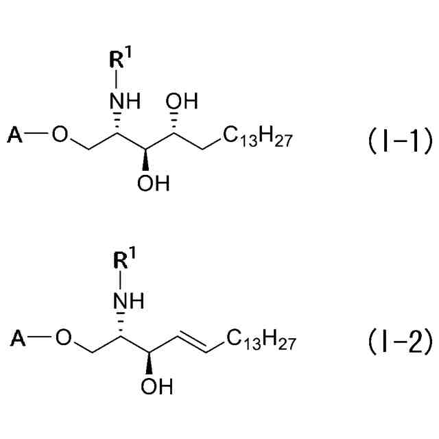
【解決手段】本発明は、以下の式(I)で表される化合物を提供する:
<com:Image com:imageContentCategory="Drawing"> <com:ImageFormatCategory>TIFF</com:ImageFormatCategory> <com:FileName>2025144472000106.tif</com:FileName> <com:HeightMeasure com:measureUnitCode="Mm">28</com:HeightMeasure> <com:WidthMeasure com:measureUnitCode="Mm">125</com:WidthMeasure> </com:Image> (式(I)中、
Aはα又はβ-D-グリコピラノシル基であり、
R
1
は、水酸基又はニトロ基でモノ置換された直鎖脂肪酸由来のアシル基であり、
R
2
は、水酸基でモノ置換されていてもよい直鎖状の脂肪族基である。)
【選択図】なし
特許請求の範囲
【請求項1】
以下の式(I)で表される化合物:
TIFF
2025144472000105.tif
28
125
(式(I)中、
Aはα又はβ-D-グリコピラノシル基であり、
R
1
は、水酸基又はニトロ基でモノ置換された直鎖脂肪酸由来のアシル基であり、
R
2
は、水酸基でモノ置換されていてもよい直鎖状の脂肪族基である。)
続きを表示(約 640 文字)
【請求項2】
R
1
は、水酸基でモノ置換された炭素数12~26の直鎖脂肪酸由来のアシル基である、請求項1記載の化合物。
【請求項3】
該脂肪酸の8位~17位のいずれか1つの炭素が水酸基で置換されている、請求項2記載の化合物。
【請求項4】
R
2
は、1位の炭素が水酸基で置換された直鎖アルキル基である、請求項2記載の化合物。
【請求項5】
R
2
は、1位と2位の炭素間に二重結合を含む直鎖アルケニル基である、請求項2記載の化合物。
【請求項6】
R
1
は、ニトロ基でモノ置換された炭素数12~26の直鎖脂肪酸由来のアシル基である、請求項1記載の化合物。
【請求項7】
該脂肪酸の9位~16位のいずれか1つの炭素が水酸基で置換されている、請求項6記載の化合物。
【請求項8】
R
2
は、1位の炭素が水酸基で置換された直鎖アルキル基である、請求項6記載の化合物。
【請求項9】
R
2
は、1位と2位の炭素間に二重結合を含む直鎖アルケニル基である、請求項6記載の化合物。
【請求項10】
Aはα又はβ-D-ガラクトピラノシル基或いはα又はβ-D-グルコピラノシル基である、請求項1記載の化合物。
(【請求項11】以降は省略されています)
発明の詳細な説明
【技術分野】
【0001】
本発明は、IL-17産生誘導能を有する化合物及びその用途に関する。
続きを表示(約 2,200 文字)
【背景技術】
【0002】
脂質抗原提示タンパク質CD1dは主に樹状細胞などの抗原提示細胞表面に発現するタンパク質の一種であり、糖脂質をリガンドとして認識することが知られている。CD1dと糖脂質の複合体はT細胞受容体(TCR)を介してナチュラルキラーT (NKT)細胞に認識され、CD1d-リガンド複合体を認識したNKT細胞は様々なサイトカインを誘導することで未分化なナイーブTh細胞を刺激する。リガンド認識によってIFN-γに代表されるTh1サイトカインが誘導されると、ナイーブTh細胞はTh1細胞へ分化し、これは腫瘍免疫などに関わる細胞性免疫に関与する。一方IL-4に代表されるTh2サイトカインが誘導された場合、ナイーブTh細胞はTh2細胞へ分化し、アレルギーなどに関わる液性免疫に関与する (非特許文献1)。また、糖脂質リガンドの構造の違いによってサイトカイン誘導のバランスが異なることも知られており、そのバランスの制御を可能とする新規CD1dリガンドの開発によって、抗腫瘍薬や自己免疫疾患治療薬への展開が可能となることが期待されている。
【0003】
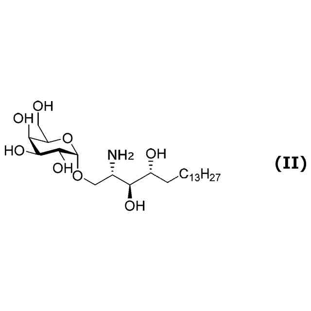
代表的なCD1dリガンドとしてはα-GalCer (KRN7000)があり、これはサイトカイン誘導のTh1/Th2選択性があまりないことが知られている (非特許文献2)。また、α-GalCerの2本の脂質鎖部分のうち脂肪酸部分がCD1dの疎水性A’ポケットに、スフィンゴシン部分が疎水性F’ポケットに結合していることが明らかとなっている。
【0004】
TIFF
2025144472000001.tif
27
169
【0005】
これまで、このα-GalCerの脂肪酸部位を改変することによってTh1ならびにTh2の選択性を出す試みがなされてきており、Wong、Tsujiら (非特許文献3)やPorcelliら (非特許文献4)によってそれぞれTh1あるいはTh2選択的にサイトカインを誘導するα-GalCer類縁体の合成が行われてきた。
【0006】
本発明者らは、タンパク質の疎水性ポケット内での水素結合が通常の水素結合よりも強いというKellyらによる報告 (非特許文献5)ならびに、結合ポケット深部での水素結合が通常の水素結合よりも強いというBarrilらによる報告 (非特許文献6)を基に、疎水性A’ポケット深部に存在する親水性アミノ酸残基に着目したα-GalCer類縁体の開発を行っている。特に、脂肪酸部位にアミド基 (α-GalCer-amide)やアミノ基 (α-GalCer-amine)を導入し、さらに脂肪酸部位の長さを変えることによってTh2選択的なサイトカイン誘導に成功している (非特許文献7及び8)。特にアミド基を有するα-GalCer類縁体については強いサイトカイン誘導活性が見られ、疎水性A’ポケット内に存在する親水性アミノ酸残基Ser28とアミド基が水素結合によって強く相互作用していることが分子動力学シミュレーションによって示唆された (非特許文献7)。
【0007】
IL-17は主に活性化T細胞より産生され、線維芽細胞、上皮細胞、血管内皮細胞、マクロファージなどに作用して、炎症性サイトカイン、ケモカイン、細胞接着因子など、種々の因子を誘導して炎症を誘導することが知られている (非特許文献9及び10)。最近、IL-17を産生するT細胞が従来知られていたTh1細胞、あるいはTh2細胞と呼ばれるT細胞サブセットではなく、新たなTh17細胞と呼ばれるサブセットから産生されることがわかり、炎症や感染防御に於けるこの細胞集団の役割が大きな注目を集めている。
【0008】
上述のように、Th1あるいはTh2選択的なサイトカイン産生を誘導するα-GalCer類縁体は開発されているが、Th17選択的なサイトカイン産生を誘導するα-GalCer類縁体は知られていない。
【先行技術文献】
【非特許文献】
【0009】
Nat. Rev. Immunol. 2007, 7, 505-518
J. Med. Chem. 1995, 38, 2176-2187
Proc. Natl. Acad. Sci. U.S.A. 2010, 107, 13010-13015
Immunity 2009, 30, 888-898
Nat. Struct. Mol. Biol. 2009, 16, 684-690
J. Am. Chem. Soc. 2011, 133, 18903-18910
ACS Chem. Biol. 2016, 11, 3132-3139
Angew. Chem. Int. Ed. 2018, 57, 9655-9659
J. Leukoc. Biol. 2002, 71, 1-8
Immunity 2004 ; 21 : 467-76
【発明の概要】
【発明が解決しようとする課題】
【0010】
本発明は、Th17選択的なサイトカイン産生を誘導するα-GalCer類縁体を提供することを目的とする。
【課題を解決するための手段】
(【0011】以降は省略されています)
この特許をJ-PlatPat(特許庁公式サイト)で参照する
関連特許
東ソー株式会社
タンパク質の発現方法
14日前
東ソー株式会社
炭素-窒素結合形成方法
2か月前
株式会社トクヤマ
四塩化炭素の製造方法
2か月前
株式会社トクヤマ
シロキサン類の回収方法
2か月前
株式会社トクヤマ
ビオチン誘導体の製造方法
2か月前
株式会社半導体エネルギー研究所
有機化合物
1か月前
株式会社トクヤマ
チオラクトン誘導体の製造方法
4日前
株式会社コスモス
液状炭化水素の増産方法
1か月前
株式会社トクヤマ
ホルムアミド化合物の製造方法
1か月前
株式会社コスモス
液状炭化水素の増産方法
1か月前
株式会社トクヤマ
ベンザゼピン化合物の製造方法
1か月前
東ソー株式会社
イソシアネート化合物の製造方法
1か月前
日本特殊陶業株式会社
メタン製造装置
3か月前
信越化学工業株式会社
新規化合物
2か月前
artience株式会社
四塩基酸無水物の製造方法
3か月前
ユニチカ株式会社
ビスマレイミドおよびその製造方法
4か月前
金剛化学株式会社
ボルチオキセチンの製造方法
4か月前
日産化学株式会社
ピラゾール化合物及び有害生物防除剤
3か月前
日産化学株式会社
ピラゾール化合物及び有害生物防除剤
2か月前
三菱ケミカル株式会社
アルコールの製造方法
22日前
国立大学法人東京農工大学
深共晶溶媒
1か月前
大阪瓦斯株式会社
メタン製造システム
今日
株式会社トクヤマ
サフィナミド若しくはその塩の製造方法
3か月前
本田技研工業株式会社
CO2変換方法
今日
旭化成株式会社
トリオキサンの製造方法
3か月前
キヤノン株式会社
有機化合物及び有機発光素子
4日前
JNC株式会社
有機ケイ素化合物およびこれを用いた重合体
1か月前
キヤノン株式会社
有機化合物及び有機発光素子
3か月前
東ソー株式会社
免疫グロブリン結合性タンパク質の保存溶液
3か月前
JNC株式会社
有機ケイ素化合物およびこれを用いた重合体
1か月前
東ソー株式会社
免疫グロブリン結合性タンパク質の製造方法
14日前
キヤノン株式会社
有機化合物及び有機発光素子
4か月前
キヤノン株式会社
有機化合物及び有機発光素子
4か月前
株式会社トクヤマ
アシル化ベンゼン誘導体の酸塩の製造方法
1か月前
株式会社カネカ
プロピレンオキサイド(PO)製造システム
4か月前
株式会社半導体エネルギー研究所
有機金属錯体、発光デバイス
1か月前
続きを見る
他の特許を見る