TOP
|
特許
|
意匠
|
商標
特許ウォッチ
Twitter
他の特許を見る
10個以上の画像は省略されています。
公開番号
2025139802
公報種別
公開特許公報(A)
公開日
2025-09-29
出願番号
2024038839
出願日
2024-03-13
発明の名称
支持構造の異常検知方法
出願人
国立大学法人群馬大学
,
中日本高速道路株式会社
,
能美防災株式会社
代理人
個人
,
個人
,
個人
,
個人
,
個人
主分類
G01M
99/00 20110101AFI20250919BHJP(測定;試験)
要約
【課題】供用中の道路構造物に含まれる支持構造に関して、重大な事故を未然に防ぐための低コストでリアルタイム性に優れた、支持構造の異常検知方法を得る。
【解決手段】支持構造に対して配置されたセンサにより物理量を計測する計測ステップと、計測結果に基づいて支持構造の劣化に伴う異常を検知する異常診断ステップとを備え、異常診断ステップは、計測結果として取得した物理量を計測情報として記憶部に記憶させる第1ステップと、正常時における基準応答曲面を算出する第2ステップと、監視時における診断応答曲面を算出する第3ステップと、2つの応答曲面についてF検定により統計的同等性を検定し,支持構造の異常検知を実行する第4ステップとを有する。
【選択図】図1
特許請求の範囲
【請求項1】
供用中の道路構造物に含まれる支持構造に対して配置された1軸あるいは複数軸の計測軸を持つセンサにより、前記支持構造の異常を検知するための指標値となる物理量を計測する計測ステップと、
前記センサによる計測結果に基づいて、前記支持構造の劣化に伴う異常を検知する異常診断ステップと
を備えた支持構造の異常検知方法であって、
前記異常診断ステップは、
前記センサから継続的または定期的に前記計測結果として取得した前記物理量を計測情報として記憶部に記憶させる第1ステップと、
前記支持構造が正常時における前記計測情報に対する1軸あるいは複数軸の演算処理結果から応答曲面法を適用して基準応答曲面を算出する第2ステップと、
監視時における前記計測情報に対する1軸あるいは複数軸の演算処理結果から前記応答曲面法を適用して診断応答曲面を算出する第3ステップと、
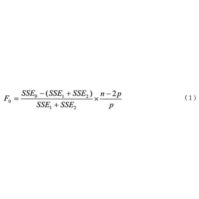
前記基準応答曲面および前記診断応答曲面による2つの応答曲面について、F検定により統計的同等性を検定し,検定結果として同等性が採択された場合には前記支持構造が正常であると判定し、前記同等性が棄却された場合には前記支持構造に異常があると判定することで、前記支持構造の異常検知を実行する第4ステップと
を有する、支持構造の異常検知方法。
続きを表示(約 3,100 文字)
【請求項2】
前記計測ステップは、前記物理量を計測するとともに、前記支持構造の環境温度である温度情報をさらに計測し、
前記異常診断ステップは、
前記第1ステップにおいて、前記物理量とともに前記温度情報を取得し、前記物理量と前記温度情報とを関連付けたデータを前記計測情報として前記記憶部に記憶させ、
前記第2ステップにおいて、前記基準応答曲面を算出する際に、前記計測情報に含まれている前記温度情報を参照することで、環境温度ごとに温度別の基準応答曲面を算出し、前記温度別の基準応答曲面を前記記憶部に記憶させ、
前記第3ステップにおいて、前記計測情報に含まれている前記温度情報を参照することで、算出した前記診断応答曲面に対応する環境温度を監視時温度として特定し、
前記第4ステップにおいて、前記記憶部に記憶された前記温度別の基準応答曲面の中から前記監視時温度に最も近い環境温度で算出されたものを診断用基準応答曲面として抽出し、前記診断用基準応答曲面および前記診断応答曲面による2つの応答曲面について、前記F検定により前記統計的同等性を検定することで、前記環境温度を考慮した上で前記支持構造の異常検知を実行する
請求項1に記載の支持構造の異常検知方法。
【請求項3】
前記異常診断ステップは、前記第2ステップにおいて前記温度別の基準応答曲面を算出する際に、前記センサにより前記物理量を計測する際の環境温度の範囲を所定の温度間隔で等分割した複数の環境温度範囲をあらかじめ設定しておき、前記計測情報に含まれている前記温度情報を参照することで前記温度情報と関連付けられた前記物理量を前記複数の環境温度範囲の中の該当する環境温度範囲のデータとして分類し、前記複数の環境温度範囲のそれぞれに分類された前記物理量から、前記環境温度ごとに前記温度別の基準応答曲面を算出する
請求項2に記載の支持構造の異常検知方法。
【請求項4】
前記記憶部に記憶されている前記計測情報は、時系列情報として構成される
請求項1から3のいずれか1項に記載の支持構造の異常検知方法。
【請求項5】
前記異常診断ステップは、
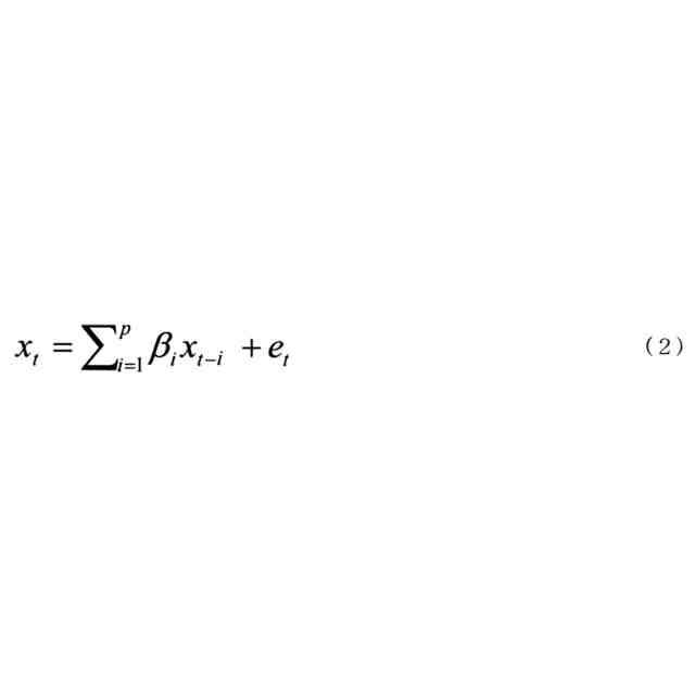
前記第2ステップにおいて、前記正常時における前記計測情報に関する前記時系列情報、あるいは前記正常時における複数軸または異なるセンサ間の計測情報に関する時系列情報の相関分布に基づく自己回帰により前記基準応答曲面を算出し、
前記第3ステップにおいて、前記監視時における前記計測情報に関する前記時系列情報、あるいは前記監視時における複数軸または異なるセンサ間の計測情報に関する時系列情報の相関分布に基づく自己回帰により前記診断応答曲面を算出する
請求項4に記載の支持構造の異常検知方法。
【請求項6】
前記センサは、前記道路構造物において構造的に対称な位置に配置された第1のセンサおよび第2のセンサを含む複数のセンサとして構成され、
前記異常診断ステップは、
前記第2ステップにおいて、前記基準応答曲面を算出する際に、前記複数のセンサによるそれぞれの計測情報に対応してセンサ別に基準応答曲面を算出し、
前記第3ステップにおいて、前記診断応答曲面を算出する際に、前記複数のセンサによるそれぞれの計測情報に対応してセンサ別に診断応答曲面を算出し、
前記第4ステップにおいて、前記第1のセンサおよび前記第2のセンサの2つを用いて前記支持構造の異常検知を実行するにあたり、前記第1のセンサに対応して算出された基準応答曲面と前記第2のセンサに対応して算出された診断応答曲面を用いて、および、前記第2のセンサに対応して算出された基準応答曲面と前記第1のセンサに対応して算出された診断応答曲面を用いて、前記F検定により前記統計的同等性を検定する
請求項1から3のいずれか1項に記載の支持構造の異常検知方法。
【請求項7】
前記センサは、前記支持構造の応力が集中する部位あるいは前記支持構造の共振周波数の極に相当する位置に設置される
請求項1から3のいずれか1項に記載の支持構造の異常検知方法。
【請求項8】
前記センサは、複数のセンサとして構成され、前記支持構造の応力が集中する部位あるいは前記支持構造の共振周波数の極に相当する位置を含むように設置されるとともに、互いに等間隔で設置される
請求項1から3のいずれか1項に記載の支持構造の異常検知方法。
【請求項9】
供用中の道路構造物に含まれる支持構造に対して配置されたセンサにより、前記支持構造の異常を検知するための指標値となる物理量を計測する計測ステップと、
前記センサによる計測結果に基づいて、前記支持構造の劣化に伴う異常を検知する異常診断ステップと
を備えた支持構造の異常検知方法であって、
前記異常診断ステップは、
複数の計測軸を持つ前記センサから継続的または定期的に前記計測結果として取得した前記物理量を計測情報として記憶部に記憶させる第1ステップと、
前記複数の計測軸に含まれる計測情報から合成ベクトルを算出し、前記合成ベクトルに対する演算処理結果から応答曲面法を適用して基準応答曲面を算出する第2ステップと、
前記複数の計測軸の計測情報のうちのいずれか一つの軸の計測情報に対する演算処理結果から前記応答曲面法を適用して診断応答曲面を算出する第3ステップと、
前記基準応答曲面および前記診断応答曲面による2つの応答曲面について、F検定により統計的同等性を検定し,検定結果として同等性が採択された場合には前記支持構造が正常であると判定し、前記同等性が棄却された場合には前記支持構造に異常があると判定することで、前記支持構造の異常検知を実行する第4ステップと
を有する、支持構造の異常検知方法。
【請求項10】
前記計測ステップは、前記物理量を計測するとともに、前記支持構造の環境温度である温度情報をさらに計測し、
前記異常診断ステップは、
前記第1ステップにおいて、前記物理量とともに前記温度情報を取得し、前記物理量と前記温度情報とを関連付けたデータを前記計測情報として前記記憶部に記憶させ、
前記第2ステップにおいて、前記基準応答曲面を算出する際に、前記計測情報に含まれている前記温度情報を参照することで、環境温度ごとに温度別の基準応答曲面を算出し、前記温度別の基準応答曲面を前記記憶部に記憶させ、
前記第3ステップにおいて、前記計測情報に含まれている前記温度情報を参照することで、算出した前記診断応答曲面に対応する環境温度を監視時温度として特定し、
前記第4ステップにおいて、前記記憶部に記憶された前記温度別の基準応答曲面の中から前記監視時温度に最も近い環境温度で算出されたものを診断用基準応答曲面として抽出し、前記診断用基準応答曲面および前記診断応答曲面による2つの応答曲面について、前記F検定により前記統計的同等性を検定することで、前記環境温度を考慮した上で前記支持構造の異常検知を実行する
請求項9に記載の支持構造の異常検知方法。
(【請求項11】以降は省略されています)
発明の詳細な説明
【技術分野】
【0001】
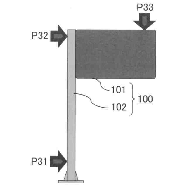
本開示は、供用中の道路構造物の支持構造に取り付けられたセンサにより検知された物理量に対して統計的処理を施すことで、支持構造の劣化に伴う異常を検知する支持構造の異常検知方法に関する。
続きを表示(約 1,100 文字)
【背景技術】
【0002】
例えば、車両が通過する橋梁、あるいは車両が通過する道路の周辺に設置された道路情報板は、車両の通過に伴う経年変化によって次第に劣化する。なお、本開示では、使用中の橋梁、道路情報板などの構造物を、供用中の道路構造物と称することとする。
【0003】
供用中の道路構造物の中には、高度経済成長期の急激な道路交通需要の拡大に応じて大量に建設されたものも多く含まれている。供用中の道路構造物が老朽化することによって引き起こされる事故は、被害が甚大となるものが多く、壊れてしまう前に劣化状態を検知することが非常に重要となる。
【0004】
しかしながら、供用中の道路構造物の劣化状態を検査する方法としては、検査員による定期検査により、目視あるいは何らかの計器を用いて行われることが、まだまだ主流である。
【0005】
このような現状において、劣化状態の診断対象であるトンネル内の構造物について、経年的に発生する亀裂に関して、定量的な検査を、簡単かつ迅速に行う従来技術が開示されている(例えば、特許文献1参照)。
【0006】
この特許文献1では、紫外線または青色系可視光などの励起光によって発光する蛍光色素を、劣化状態の診断対象であるトンネル内の構造物にあらかじめ混入させている。そして、この構造物に紫外線または青色系可視光などを発光する光源を照射し、目視あるいはCCDカメラ等による撮像画像の解析処理により、亀裂の発生を定量的に判断し、劣化状態の診断を行っている。
【先行技術文献】
【特許文献】
【0007】
特開2013-83493号公報
【発明の概要】
【発明が解決しようとする課題】
【0008】
特許文献1では、劣化状態の診断を定量的に行うことを可能にしてはいるものの、あくまでも、検査員による定期検査を基本としている。さらに、特許文献1は、劣化状態の診断対象である構造物に対して、蛍光色素をあらかじめ混入させておく必要があった。従って、供用中である既存の道路構造物に関する劣化状態の診断に対しては、特許文献1に係る技術を適用することは困難である。
【0009】
近年では、供用中の道路構造物の異常検知を、定期検査よりも短い周期で、検査員を介さずに無人で行うことのできる手法が望まれている。
【0010】
特に、車両が通過する橋梁、あるいは車両が通過する道路の周辺に設置された道路情報板で用いられる支持構造は、劣化に伴う甚大な被害の発生を未然に防止することが重要であるが、全国至る所に存在している。
(【0011】以降は省略されています)
この特許をJ-PlatPat(特許庁公式サイト)で参照する
関連特許
国立大学法人群馬大学
支持構造の異常検知方法
2日前
国立大学法人群馬大学
支持構造の異常検知方法
2日前
国立大学法人群馬大学
炭素触媒、電極及び電池
4か月前
国立大学法人群馬大学
塩応答性材料およびその使用
2か月前
国立大学法人群馬大学
磁気浮上装置の制御システム
2か月前
国立大学法人群馬大学
運動機能検査における評価システム
23日前
日清紡ホールディングス株式会社
触媒
1か月前
国立大学法人群馬大学
生分解性樹脂の海洋生分解速度制御方法
2か月前
群馬県
三面型振動試験用治具
1か月前
株式会社SUBARU
評価方法、情報処理装置及び評価システム
2か月前
福助工業株式会社
複合粉末の製造方法及び生分解性樹脂組成物の製造方法
1か月前
国立大学法人群馬大学
生体組織硬さ測定用の加振器付きアタッチメント及びこれを備えた生体組織の硬さ測定装置
23日前
株式会社Laboko
微細構造体デバイス製造システム及び微細構造体デバイス製造方法
4か月前
国立大学法人群馬大学
せん断波伝播速度推定による靭帯ないし腱の状態表示方法、及びこれを備えた靭帯ないし腱の状態表示システム
23日前
個人
計量スプーン
22日前
個人
微小振動検出装置
1か月前
株式会社イシダ
X線検査装置
1か月前
日本精機株式会社
位置検出装置
今日
日本精機株式会社
位置検出装置
今日
日本精機株式会社
位置検出装置
今日
大和製衡株式会社
組合せ秤
5日前
大和製衡株式会社
組合せ秤
5日前
トヨタ自動車株式会社
検査装置
2日前
株式会社ユーシン
操作検出装置
2日前
トヨタ自動車株式会社
表示装置
14日前
株式会社東芝
センサ
1か月前
株式会社東芝
センサ
5日前
ダイハツ工業株式会社
測定用具
26日前
アンリツ株式会社
分光器
28日前
株式会社東芝
センサ
5日前
アンリツ株式会社
分光器
28日前
株式会社カワタ
サンプリング装置
1か月前
株式会社精工技研
光電圧プローブ
1か月前
個人
粘塑性を用いた有限要素法の定式化
14日前
株式会社ヨコオ
コンタクタ
26日前
TDK株式会社
磁気センサ
22日前
続きを見る
他の特許を見る