TOP
|
特許
|
意匠
|
商標
特許ウォッチ
Twitter
他の特許を見る
10個以上の画像は省略されています。
公開番号
2025158039
公報種別
公開特許公報(A)
公開日
2025-10-16
出願番号
2024060484
出願日
2024-04-03
発明の名称
生成プログラム、生成方法および情報処理装置
出願人
富士通株式会社
代理人
弁理士法人酒井国際特許事務所
主分類
G06N
10/60 20220101AFI20251008BHJP(計算;計数)
要約
【課題】QCNNをより効率的に実行することを課題とする。
【解決手段】情報処理装置は、量子ビットの集合を分岐させた複数の部分集合それぞれに対して任意の群操作を実行した場合に、複数の部分集合で構成される層全体において複数の部分集合の構成が不変あるいは互いに入れ替わるように分岐法を決定し、決定された分岐法により分岐された複数の部分集合それぞれに作用するユニタリー操作として、層全体において同じ変換則を満たすユニタリー操作を決定し、分岐法により分岐された複数の部分集合それぞれに対してユニタリー操作を作用させることにより量子回路を生成する。
【選択図】図3
特許請求の範囲
【請求項1】
コンピュータに、
量子ビットの集合を分岐させた複数の部分集合それぞれに対して任意の群操作を実行した場合に、前記複数の部分集合で構成される層全体において前記複数の部分集合の構成が不変あるいは互いに入れ替わるように分岐法を決定し、
決定された前記分岐法により分岐された前記複数の部分集合それぞれに作用するユニタリー操作として、前記層全体において同じ変換則を満たすユニタリー操作を決定し、
前記分岐法により分岐された前記複数の部分集合それぞれに対して前記ユニタリー操作を作用させることにより量子回路を生成する、
処理を実行させることを特徴とする生成プログラム。
続きを表示(約 1,400 文字)
【請求項2】
前記ユニタリー操作を決定する処理は、
複数の量子ビットそれぞれの量子状態が入力される1層目から分岐される2層目以降について、分岐後の部分集合の数を次元とする、前記複数の部分集合の入れ替えの変換則を表した行列である置換行列を用いて、前記ユニタリー操作を決定する、
ことを特徴とする請求項1に記載の生成プログラム。
【請求項3】
前記ユニタリー操作を決定する処理は、
第1の層に属する第1の部分集合と第2の部分集合それぞれに作用させる第1のユニタリー演算子および第2のユニタリー演算子を各基底とし、前記各基底に対する、前記第1の部分集合および前記第2の部分集合に属する量子ビットに対する各群操作を前記置換行列で抽出し、
抽出した前記置換行列を用いて表される前記各群操作に基づき、特定の対称性を満たす前記第1のユニタリー演算子を決定し、
決定された前記第1のユニタリー演算子と、前記置換行列を用いて表される前記各群操作とに基づき、前記第1のユニタリー演算子から前記第2のユニタリー演算子を決定する、
ことを特徴とする請求項2に記載の生成プログラム。
【請求項4】
前記ユニタリー操作を決定する処理は、
前記分岐法により分岐された前記複数の部分集合がブロック対角化されているか否かを判定し、
前記ブロック対角化されていない場合、前記複数の部分集合それぞれに作用させる各ユニタリー演算子を各基底とし、前記各基底を並び替えてブロック対角化された複数のブロック群を生成し、
前記複数のブロック群それぞれについて、ブロック群に属する複数の部分集合それぞれに作用するユニタリー操作として、前記ブロック群全体において同じ変換則を満たすユニタリー操作を決定する、
ことを特徴とする請求項2または3に記載の生成プログラム。
【請求項5】
コンピュータが、
量子ビットの集合を分岐させた複数の部分集合それぞれに対して任意の群操作を実行した場合に、前記複数の部分集合で構成される層全体において前記複数の部分集合の構成が不変あるいは互いに入れ替わるように分岐法を決定し、
決定された前記分岐法により分岐された前記複数の部分集合それぞれに作用するユニタリー操作として、前記層全体において同じ変換則を満たすユニタリー操作を決定し、
前記分岐法により分岐された前記複数の部分集合それぞれに対して前記ユニタリー操作を作用させることにより量子回路を生成する、
処理を実行することを特徴とする生成方法。
【請求項6】
量子ビットの集合を分岐させた複数の部分集合それぞれに対して任意の群操作を実行した場合に、前記複数の部分集合で構成される層全体において前記複数の部分集合の構成が不変あるいは互いに入れ替わるように分岐法を決定し、
決定された前記分岐法により分岐された前記複数の部分集合それぞれに作用するユニタリー操作として、前記層全体において同じ変換則を満たすユニタリー操作を決定し、
前記分岐法により分岐された前記複数の部分集合それぞれに対して前記ユニタリー操作を作用させることにより量子回路を生成する、
制御部を有することを特徴とする情報処理装置。
発明の詳細な説明
【技術分野】
【0001】
本発明は、生成プログラム、生成方法および情報処理装置に関する。
続きを表示(約 2,300 文字)
【背景技術】
【0002】
量子コンピュータを用いた機械学習手法は、現在普及している一般的なコンピュータである古典コンピュータでは扱えないような巨大なデータセットを処理できる手法として、量子物理学や金融など様々な分野への応用が期待されている。特に、量子回路を用いてニューラルネットワークを構築した量子ニューラルネットワークは、古典ニューラルネットワークを超え得る新たな技術として大きな期待を集めている。
【0003】
また、量子ニューラルネットワークの1つであり、量子状態の分類を行うことができる量子畳み込みニューラルネットワーク(Quantum Convolutional Neural Network:QCNN)がある。QCNNは、代表的な古典機械学習モデルである畳み込みニューラルネットワーク(CNN)を量子機械学習へ拡張したものであるが、古典CNNと比較して大規模なデータセットを処理できるとして期待されている。
【先行技術文献】
【特許文献】
【0004】
特開2019-096334号公報
特表2022-509841号公報
米国特許出願公開第2022/0101164号明細書
米国特許出願公開第2022/0253741号明細書
【発明の概要】
【発明が解決しようとする課題】
【0005】
しかしながら、QCNNでは、問題サイズが増加するにつれ計算コストが増大する問題点がある。例えば、QCNNの訓練では、多数の訓練データに対して大量の変分パラメータを何度も更新していくことが要求されるため、非常に長い時間を要する。また、古典CNNとは異なり、量子計算では1つの出力を得るために1つの量子回路を複数回実行してその測定値の平均を計算することが要求される。また、量子コンピュータは発展途上の技術であり、現在の限られた計算リソースの中で大規模な問題を解くためには、出来るだけ計算コストを削減することが要求される。
【0006】
1つの側面では、QCNNをより効率的に実行することを目的とする。
【課題を解決するための手段】
【0007】
第1の案では、生成プログラムは、コンピュータに、量子ビットの集合を分岐させた複数の部分集合それぞれに対して任意の群操作を実行した場合に、前記複数の部分集合で構成される層全体において前記複数の部分集合の構成が不変あるいは互いに入れ替わるように分岐法を決定し、決定された前記分岐法により分岐された前記複数の部分集合それぞれに作用するユニタリー操作として、前記層全体において同じ変換則を満たすユニタリー操作を決定し、前記分岐法により分岐された前記複数の部分集合それぞれに対して前記ユニタリー操作を作用させることにより量子回路を生成する、処理を実行させることを特徴とする。
【発明の効果】
【0008】
一実施形態によれば、QCNNをより効率的に実行することを目的とする。
【図面の簡単な説明】
【0009】
図1は、QCNNの量子回路について説明する図である。
図2は、QCNNの並進対称化と分岐について説明する図である。
図3は、実施例1にかかる情報処理装置を説明する図である。
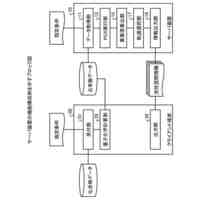
図4は、実施例1にかかる情報処理装置の構成を示す機能ブロック図である。
図5は、本実施形態で用いる用語や記法を説明する図である。
図6は、生成する分岐並列QCNNの条件を説明する図である。
図7は、条件1を満たす分岐法を具体的に説明する図である。
図8は、回路分岐の設定処理(条件1)の流れを示すフローチャートである。
図9は、条件2を具体的に説明する図である。
図10は、トワリング法の一例を説明する図である。
図11は、ユニタリー操作の設計処理(条件2)の流れを示すフローチャートである。
図12は、具体例となる量子回路の全体像を説明する図である。
図13は、回路分岐の正否を説明する図である。
図14は、1層目のユニタリー操作を説明する図である。
図15は、2層目のユニタリー操作を説明する図である。
図16は、2層目のユニタリー操作を説明する図である。
図17は、3層目のユニタリー操作を説明する図である。
図18は、3層目のユニタリー操作を説明する図である。
図19は、4層目のユニタリー操作を説明する図である。
図20は、4層目のユニタリー操作を説明する図である。
図21は、4層目のユニタリー操作を説明する図である。
図22は、4層目のユニタリー操作を説明する図である。
図23は、ブロック対角化の判定手法を説明する図である。
図24は、検証結果を説明する図である。
図25は、検証結果を説明する図である。
図26は、タスクの回転対称性を説明する図である。
図27は、ハードウェア構成例を説明する図である。
【発明を実施するための形態】
【0010】
以下に、本願の開示する生成プログラム、生成方法および情報処理装置の実施例を図面に基づいて詳細に説明する。なお、この実施例によりこの発明が限定されるものではない。
【実施例】
(【0011】以降は省略されています)
この特許をJ-PlatPat(特許庁公式サイト)で参照する
関連特許
富士通株式会社
半導体装置
14日前
富士通株式会社
周波数変換器
27日前
富士通株式会社
行列演算回路
24日前
富士通株式会社
画像処理モデル
2日前
富士通株式会社
半導体デバイス
14日前
富士通株式会社
メッシュ微細化
15日前
富士通株式会社
演算器及び演算方法
15日前
富士通株式会社
ポイントクラウド分類
9日前
富士通株式会社
冷却装置及び電子機器
24日前
富士通株式会社
電子機器筐体及び電子機器
13日前
富士通株式会社
アレイアンテナモジュール
16日前
富士通株式会社
光送信器及び光トランシーバ
13日前
富士通株式会社
通信制御装置及び移動中継装置
21日前
富士通株式会社
基板及びこれを備えた電子装置
16日前
富士通株式会社
テキスト案内される画像エディタ
9日前
富士通株式会社
動的多次元メディアコンテンツ投影
1か月前
富士通株式会社
メモリ管理装置及びメモリ管理方法
8日前
富士通株式会社
管理装置、管理方法、および管理プログラム
22日前
富士通株式会社
プログラム、情報処理方法および情報処理装置
20日前
富士通株式会社
生成プログラム、生成方法および情報処理装置
7日前
富士通株式会社
出張情報受付方法および出張情報受付プログラム
13日前
富士通株式会社
制御プログラム、制御方法、および情報処理装置
22日前
富士通株式会社
プログラム、データ処理装置及びデータ処理方法
14日前
富士通株式会社
探索プログラム、探索方法、および情報処理装置
13日前
富士通株式会社
キャッシュ装置およびキャッシュ装置の制御方法
14日前
富士通株式会社
並列コンピューティング・カテゴリー分けプロセス
9日前
富士通株式会社
プログラム、データ処理方法およびデータ処理装置
7日前
富士通株式会社
情報出力プログラム、情報出力方法及び情報処理装置
今日
富士通株式会社
凝縮グラフ分布(CGD)に基づいたグラフ連続学習
9日前
富士通株式会社
光ネットワーク管理装置及び光ネットワーク管理方法
14日前
富士通株式会社
情報出力プログラム、情報出力方法及び情報処理装置
13日前
富士通株式会社
チェックプログラム、チェック方法及び情報処理装置
13日前
富士通株式会社
勤怠管理プログラム、勤怠管理方法および情報処理装置
13日前
富士通株式会社
情報処理プログラム、情報処理方法および情報処理装置
13日前
富士通株式会社
情報処理プログラム、情報処理方法および情報処理装置
7日前
富士通株式会社
表示制御プログラム、表示制御方法および情報処理装置
16日前
続きを見る
他の特許を見る